2005考研真题答案数学一解析.pdf本文件免费下载 【共10页】

2005考研真题答案数学一解析.pdf
2005考研真题答案数学一解析.pdf
2005考研真题答案数学一解析.pdf
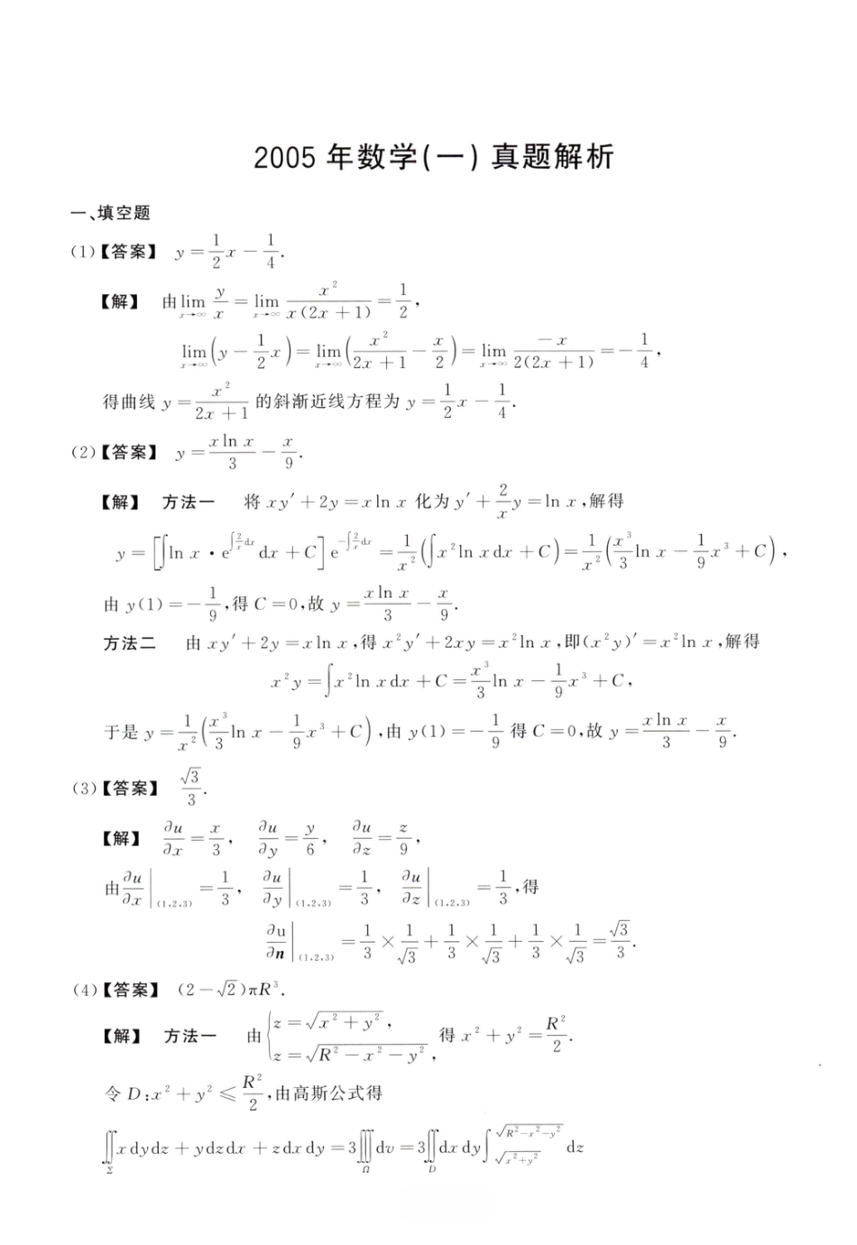
2005年数学(一)真题解析一、填空题(1)【答案】11y=—j?------"24【解】由lim—j--*00JC得曲线夕工21!旦工(2工+1)=可,x2x\_2工+1-丿二的斜渐近线方程为=lim工一>8.—工!史2(2工+1)丄一才.丄limx2=2工+1x\nxx(2)【答案】夕=——-【解】方法一2将xyf+2j/=jtInjr化为3/-----y=Inx9解得JCIn工•e*"山+Ce伽2Indr+C_存3+c),由夕⑴方法二诗,得c=o,故汁警—耆.由xy&#039;+2j=j:Inj?,得工5&#039;+2xy=jc2Inx,即(工彳歹)&#039;=x-r31jr2Injcdjr+C=—Inxx3+C,22夕=于是歹X33X+c),由y(l)=—得c=o,故》2Inx9解得x\nxx3?(3)【答案】由狂【解】3uXduy0U_N3x~3,dy6,az9&#039;111(1,2,3)3,(1,2,3)3,3z(1,2,3)3,得du3n(1,2,3)4x丄+丄X丄+丄><丄=遁箱3V33733(4)【答案】(2-V2)ttR3.【解】方法一由,z02,2R2,_____________侍工+$=〒•z=JR2—jc2—y29D2令D:^2+jz2由高斯公式得jTjrdydzydzdx-zdxdy=sjjdv=sjjdjrdy工QDVR2-x2-y2t____dz=3fd(9r(JR2—r2—厂)d厂=6兀F厂一/dr—兀尺JoJoJo=—3兀FVR2-r2d(R2—/)—理=(2-V2)kK3.JoV2方法二由高斯公式得JJjcdj/d^ydzdx+ndrdyn=3「J0J0J0r2sin9)d厂=6tc&#039;fsin0严2(pd(pr2drJo=2nR3(1一乡)=(2-^2)nR3.(5)【答案】2.【解】方法一因为B—(ai+a2+a3,ai+2a2+4a3.aj+3a2+9a:3)/I1=A123,&#039;14J111所以|B|=|A|•123=(3—1)(3—2)(2—1)=2.14!)2|cti+a29ct29a3|2|tti9Ct2*ct3|2.方法二|B|=|©+a2十a3,ai+2a2+4a39a】+3a2+9a3|=1ai+a2+ct32+3ct3,a2+5a3|=la.十a2+a39a2+3a3,2a3|2|a1+a2+a39a?+3a39a3方法点评:本题注意范德蒙德行列式的使用.13(6)【答案】毎48【解】令4={X=汀(亍=1,2,3,4),B={Y=2},则P(A,)=3(,=1,2,3,4),4PCB|AJ=0,P(B|A2)=-^,卩(_8|比)=+,P(B|A4)=^,乙J4由全概率公式得P{Y=2}-P(B)=2p(Ai)F(B丨A,)=£(£+£+,=]4&#039;234,48二、选择题(7)【答案】(C).【解】当&IW1时,1w71+I3n<72,由夹逼定理得lim71+|汀”=1;M-*OO当ixi>i时,&13<7i+1十wmu=72i^p,由夹逼定理得lim71+I3"=|^|3,ii,|jc|c1,即心)=」fl(—1)=limn—/(—1)H+1limx-*-r/+(—1)=lim/(工)一/(—1)•Z+1—x3一1j?+1=一39=lim-—=0,工—1+x+\因为/C(-i)#i),所以/(工)在工=—1处不可导;fl(1)=lim心)一/⑴x一1=lim-------=09li-工一1/+(1)=lim一+心)一/⑴x一1X—1lim--------=3,工一1+x—1因为/1(1)工所以/■&)在工=1处不可导,即/(工)在(―°°,+°°)内连续,但有两个不可导点,应选(C).方法点评:讨论由极限形式表示的函数的连续性与可导性时,先计算极限,求出函数的表达式,再讨论函数的有关特性.(8)【答案】(A).【解】方法一f⑺=3芒为偶函数,但尸(工)=工3+C不一定是奇函数,(E)不对;/(j?)=cosx一1为周期函数,F(h)=sinx一x+C不是周期函数,(C)不对;于(工)=2工为单调增函数,FQ)=工2+C不是单调函数,(D)不对,应选(A).方法二设/(—)=—fCjc),令尸(工)=[/(/)山,Ja则F(—J7)=[f(t)dt-[/(—iz)(―dw)=[f(u)duJaJ—aJ—a=If(u)du+[f(u)du=If(u)du=F(jc),J—aJaJa于是FQ)为偶函数;反之,设F(—_z)=F(z),两边求导得一F&#039;(—工)=尸&#039;(2),或7"(—_z)=—/"(z),即于(工)为奇函数,应选(A).方法点评:设FQ)为yQ)的原函数,则/(^)与F(x)的奇偶性、周期性如下:(1)fQ)是奇函数的充要条件是F&)为偶函数;(2)产(工)是偶函数时,FQ)不一定是奇函数,/(x)的所有原函数中只有F(^)=J,/(z)dz为奇函数,但当FQ)是奇函数时,/(^)一定是偶函数;(3)若于(工)为周期函数,FQ)不一定是周期函数,但当FQ)为周期函数时JQ)—定为周期函数.(9)【答案】(E).【解】由ZT—=卩&#039;(2+)+卩&#039;(乂—y)+。(工+夕)一。(工一』)9—=(p(xy)—(p(工一夕)+0(工+y)+0(z—jy)9dyg2得一冷=cp"(jc+j/)+申"(z—y)+0(^*+丿)一—jy)9u(P〃(王+y)+卩〃(工一丿)+/(久+夕)一0‘(无一y)9显然a:=q―F,应选(B).oxoy(10)【答案】(D).【解】令F(j?,y,z)=xy一zlny+e,2一1,(x,y,z)=y+ze!I,F^,(x,z)=x----,F&#039;z(j?,y,z)=—lny+ze",$因为F;(0,1,1)=2H0,F:(0,l,l)=—1H0,F:(0,1,1)=0,所以工夕一zln_y+e"=1在点(0,1,1)确定两个具有连续偏导数的函数工=j:(y,z)及y=y(j:,z),应选(D).方法点评:本题需要掌握多元隐函数的存在定理.设F(x,y,z)连续...

1、当您付费下载文档后,您只拥有了使用权限,并不意味着购买了版权,文档只能用于自身使用,不得用于其他商业用途(如 [转卖]进行直接盈利或[编辑后售卖]进行间接盈利)。
2、本站所有内容均由合作方或网友上传,本站不对文档的完整性、权威性及其观点立场正确性做任何保证或承诺!文档内容仅供研究参考,付费前请自行鉴别。
3、如文档内容存在违规,或者侵犯商业秘密、侵犯著作权等,请点击“违规举报”。

碎片内容

我的小文库
实名认证
内容提供者

提供高质量免费文档试卷下载,如果满意请告诉您身边的人,如果不满意请告诉我们,您的意见对于我们很重要,是我们不断进步的动力

阅读排行

确认删除?
回到顶部
客服号
  • 客服QQ点击这里给我发消息
QQ群
  • QQ群点击这里加入QQ群
提交所需资料详情,我们来帮找资料