1998考研真题答案数学一解析.pdf本文件免费下载 【共7页】

1998考研真题答案数学一解析.pdf
1998考研真题答案数学一解析.pdf
1998考研真题答案数学一解析.pdf
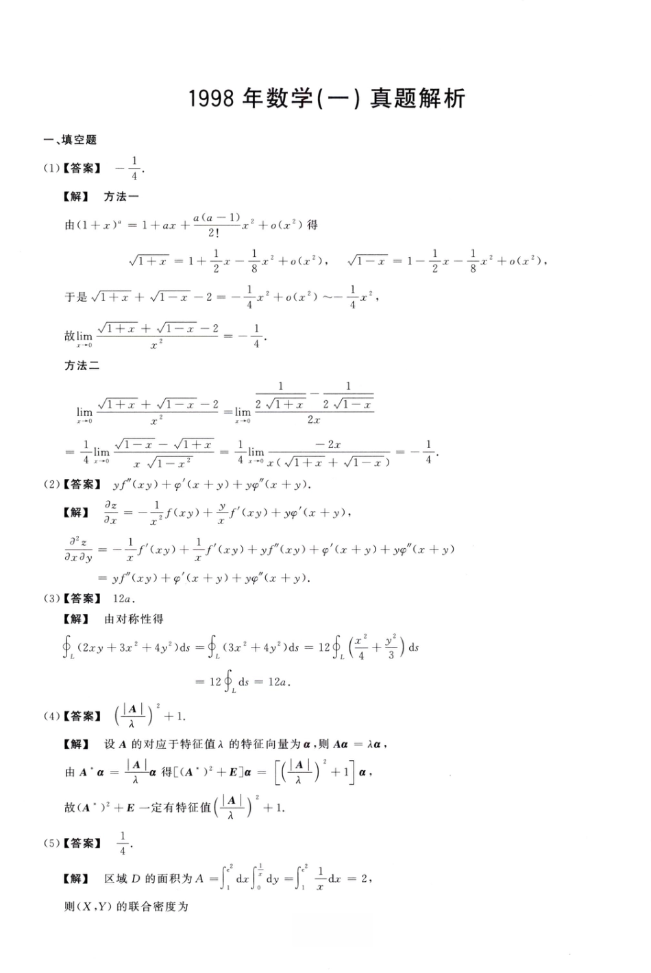
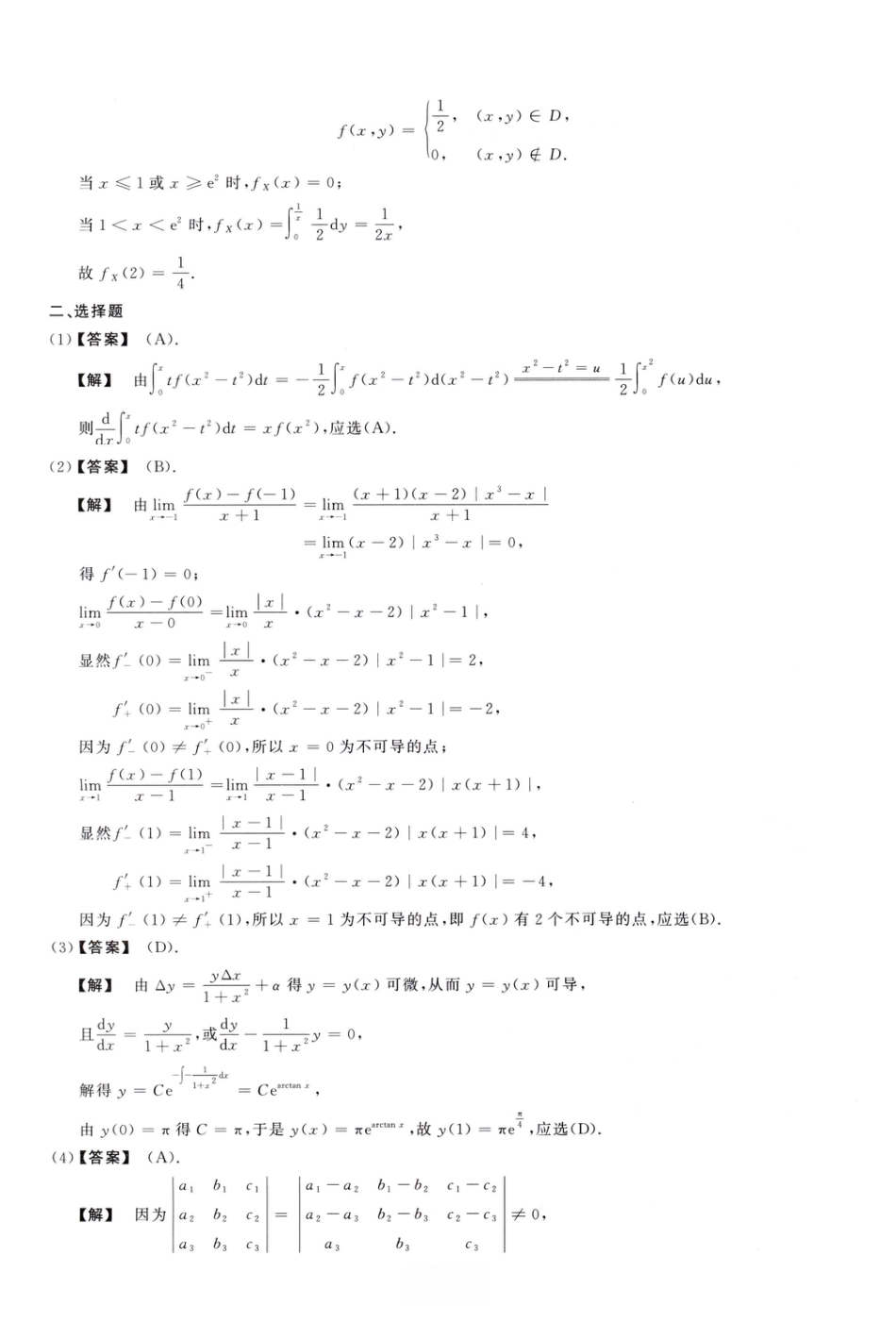
1998年数学(一)真题解析—、填空题(1)【答案】丄7【解】方法一由(]jcY=1+aj:+a5~~x2+o(j;2)得Z!\/1+J:=1+-T-JC----X2+0(工2),Lo\j\—X—1----X-------X2+0(工2),28于是\/1+工+\/1——2=—+。2)_±24z故1口小^+厂^_2x-*-0Ix2方法二11a/1+x+J\—工—2limx-*02vT+T2lim--------------------------------—o2xX2一2jc==±Hm__________4LO丁」、—J4x->0x(Jl+z+工)X\/1—x2(2)【答案】yf(xj/)+(p\x+y)++y).----fGy)+—f&#039;Cxy)+y<p&#039;(.x+y),X工【解】d2zdj:dy=yf"Gy)++y)+*"(工+y)・(3)【答案】12a.【解】由对称性得>C2xy+3z彳+4j/)ds=)(3j;2+4)2)ds=122、+牙)ds=12)ds=12a.(4)【答案】1A12+1.3工丄+1a,【解】设A的对应于特征值入的特征向量为a,则Aa=Aa由A*a=■1a得[(A*)2+E~]aA故(A*)2+E2+1.⑸【答案】4【解】区域D的面积为A=’丄d’=2,1Xdz则(X,Y)的联合密度为b,(z,夕)@D当乂£1或无e2时,fxO=0;f—•11当1<z<e?时,/x(z)=J;丁dy=—,故fx(2)=二、选择题⑴【答案】(A).fX]「工x—==U1C【解】由£/(工2—八)曲=----/(J72—t2)d(j;2—t2}--------—/(u)dzz,•/o2Jozu*oIT—1I显然f&#039;-(1)=lim-------------•(j:2—x—2)|乂(乂+1)|=4,―厂乂_1Ir—1|f&#039;+(1)=lim-------------•(x2—x—2)|jr(x+1)|=—4,一+乂―1因为f&#039;_(1)丰f+(1),所以乂=1为不可导的点,即/Q)有2个不可导的点,应选(B).(3)【答案】(D).则tf^x20—t2)dt=xfQx2),应选(A).(2)【答案】(B).【解】由lim工f—1心)一4—1)j:+1(无+1)(乂一2)|x3—jclim!-►—1lim(z—2)r-*—1z+1x3—x1=0,0得/(-l)/(x)-/(0)lim------------------•rf0X—0-11,显然f&#039;-(0)=limlim——•(工彳一工一2)工-*0JC—1|=2,—x一2)|x2x—O&#039;X4.2JC—jc—2)|x2f&#039;+(0)=limx-*0+因为jC(o)壬化(o),所以工=o为不可导的点—1|=—2,lim心)—[⑴=limI工_J•Q2—乂一2)|工Q十1)|,Zf1X—1x-*lX—1—3-=°,JC【解】由△,=1+,且字=,或学1dr1+H2dz1+解得夕:二Cearc由y(0)=兀得C=兀,于是【答案】(A).得y=y(z)可微,从而y=y(z)可导,,故y(l)=xe4,应选(D)./、arctanxy\jc)=7teH0,5b\Ciax—a26i—b2cx—c2【解】因为a2b2c2=a2—a3b2—b3c2—c3a3b3C3a3b3C3(4)所以两条直线的方向向量不平行,(B)与(C)不对令Si={a{—s4—力,"—c2}s2={a2—S』2--^3»c2—c3},](Q3b,。3),./Vf2(a19b、5)分别为两条直线上的点,M}M2={<2i一a3一b,C]—C3},—a3庆一63c1—C3因为M,M2•(SiXs2)=—a2bx—b2c1—5==0,所以两直线共面且不平行,即两直线交于一a2—a3h2—bic2—°3点,应选(A).(5)【答案】(C).一pfAD)【解】由P(B|A)=P(B|A)得=P(AB)P(A)亠ipp■卄八口*血*砧八卡怕P(AB)P(B)—P(AB)由减法公式及补概率的公式得p(A)=—T_m石一,整理得P(AB)=P(A)P(B),应选(C).卜=1+t,三、【解】方法一L的参数方程为lX=t,代入兀得L与7T的交点为M|(2,l,0);[z=1-t,Mo(1,0,1)EL,过Mo且与re垂直的直线为L&#039;:—-—==—-—,1—1Z(x=1+r,L‘的参数方程为Lzy=—t,代入tt得垂足坐标为M2(#,*,*),=1+2t,MN:={#&#039;#,-*},故L。jc一2y一1z~T~=丁==T设L。绕y轴旋转一周所得的旋转曲面为工,任取P(x,y,z)6X,其所在的圆周对应的L。上的点为卩0(工0,夕,No),圆心为7(0,3/,0),由IPTI=\PqT\^x2+z2=Xq+Zq9再由_?0(工0,歹,之0)WLo得---=T—=—9解得Ho=2y,No=——,4Z—1c故工的方程为心?—17j/2+4z2+2y—1=0.方法二[工一1=y_T—1vZ—111lx—y—1=0.直线L:—丄=斗=T的一般形式为L」L:11-1y_Z-1U+n_]=O,[T=—19过直线L的平面束为7r0:(j:—3/—1)+A(j/+^—1)=0,即兀0:工+(入一1)歹+入N—1—A=09由{1,—1,2}・{1,入一1,入}=0得入=一2,[x—3V—2n+1=0,则投影直线为\jc—y2z—1=0.显然Mo(2,l,O)eL0,L0的方向向量为s={1,—3,—2}X{1,—1,2}={—8,—4,2},直线Lq的点向式方程为Lq:—-—=―-—=―・4Z—1设L。绕,轴旋转一周所得的旋转曲面为工,任取e工,其所在的圆周对应的Lo上的点为卩0(工0,』,之0)9圆心为T(O,j/,O),由IPT|=\PqT\得Z2+小=无舟+云,再由Po(2o,No)GLq得工942=»21=解得无0=2』,之0=~^~2~9故工的方程为心?—17j/2+4z2+2夕一1=0.四、【解】PQQ)=2jcy(d+y2)A,Q(x9y)=—/(工°+y2)A,...

1、当您付费下载文档后,您只拥有了使用权限,并不意味着购买了版权,文档只能用于自身使用,不得用于其他商业用途(如 [转卖]进行直接盈利或[编辑后售卖]进行间接盈利)。
2、本站所有内容均由合作方或网友上传,本站不对文档的完整性、权威性及其观点立场正确性做任何保证或承诺!文档内容仅供研究参考,付费前请自行鉴别。
3、如文档内容存在违规,或者侵犯商业秘密、侵犯著作权等,请点击“违规举报”。

碎片内容

发表评论取消回复

参与评论可获取积分奖励  
我的小文库
实名认证
内容提供者

提供高质量免费文档试卷下载,如果满意请告诉您身边的人,如果不满意请告诉我们,您的意见对于我们很重要,是我们不断进步的动力

阅读排行

确认删除?
回到顶部
客服号
  • 客服QQ点击这里给我发消息
QQ群
  • QQ群点击这里加入QQ群
提交所需资料详情,我们来帮找资料