1994考研真题答案数学一解析.pdf本文件免费下载 【共6页】

1994考研真题答案数学一解析.pdf
1994考研真题答案数学一解析.pdf
1994考研真题答案数学一解析.pdf
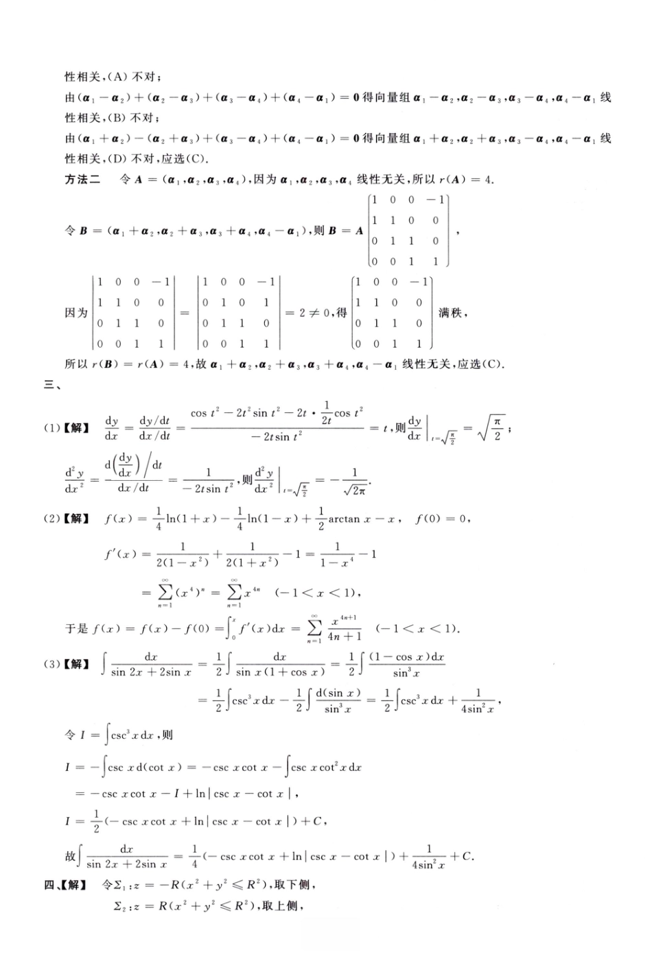
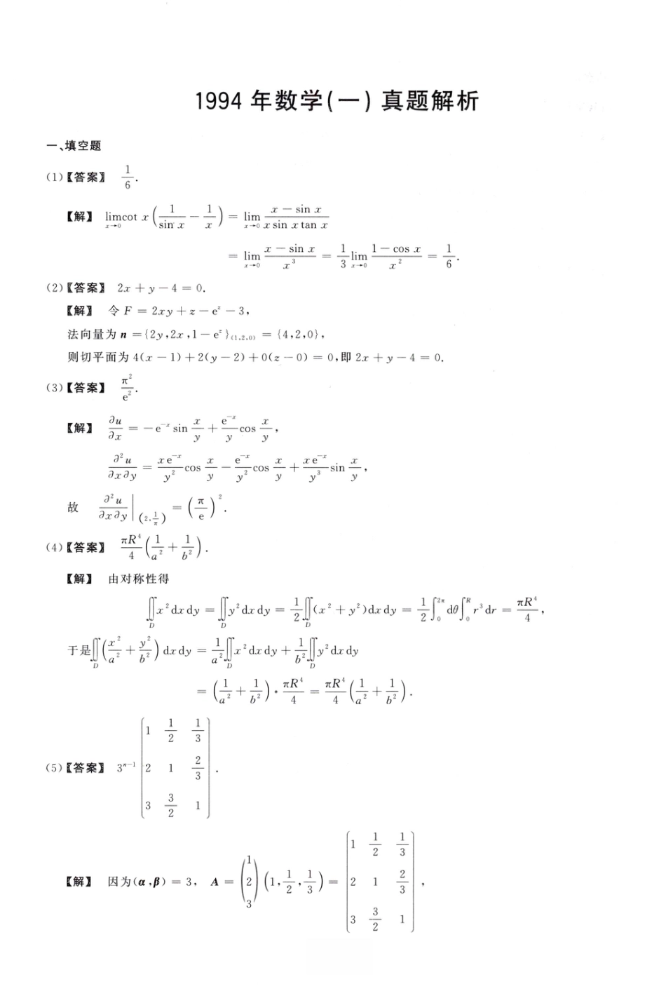
1994年数学(一)真题解析一、填空题(1)【答案另丄【解】[./11\工一sin工limcotxI-------------I=lim—:--------------X—o\sin\zjcfx-*oxsinxtanxjc—sinjc11一cosx1=hm-------3-----=vlim-------i-----=Tx-»0JQox-*0X0(2)【答案》2工+y—4=0.『解鬥令F=2xy+n—e2"—3,法向量为m={2y,2h,1—e*}(1,2,0〉={4,2,0},则切平面为4(工一l)+2(y—2)+0(n—0)=C)9即2jc+y—4=0.兀2(3)【答案】尹・du0JC—x•_亠I—esin-----y-—cosyJCy带uxe°xe"xjcex.jc-—=—cos----------cos--------1------sin—,yyyyyy故d2u^JC【解】由对称性得yj(x2+y2)dzdy=+J"町九=DTtR~T1丄I(5)E答案》3”t21丄I£712~23~21~2I2_y11丄I所以An=3n-1A=3”t213_3I1_72_1二、选择题(1)【答案1(D).【解】M=[2S^n-^~cos4jcAx=0,J_今1+HN=J;(sin3+cos4z)dz=2J2cos4xdx〉0,~~2P=[2(j;2sin3j:—cos&#039;)dr=—2[2cos4jcdj?V0,J——Jo2则PVMVN,应选(D)・(2)【答案】(D).(D)H(0,0),【解】取f(D)=工+»&#039;0,(工,夕)=(0,0).由lim/(-r>0)-/(0,0)=o得斤(0卫)二。,同理£(o,o)=0,即f{x,y)在(0,0)处可偏导.工f0X—0因为,jy)=£Hlim/(x,j/)=,所litlim/(工,歹)不存在,故f(jc,y)在(0,0)处不连续;j--*0ux-*0Zx-*0y=工y=一工y-0令产(z,y)=I|+Iy|&#039;显然芦(工,夕)在(0,0)处连续&#039;因为lim/(宀0)—W?曰曲4不存在,所以/(x)在(0,0)处对x不可偏导,同理fG,y)在x-*0JC-r-*0JC(0,0)处对y也不可偏导.故f(x,y)在Q。,%)处可偏导既非在(工。,九)处连续的充分条件也非必要条件,应选(D).(3)【答案】(C).+2\>n十入因为及工-^―都收敛,由正项级数的比较审敛法得工n=\n=1X十入”=1i"音收敛,8II即£(—1)”/仝"丄-绝对收敛,应选(C).”=1\/z22+入(4)【答案](D).【解】匸c..atanjc+6(1—cosx)由2=lim------------------------------------—cln(l—2h)+/(1—已卞)•r-*0atanjc十b(1—cosx)xx=lim2L0cln(l—2h)+/(l—)Xa得<2=—4c,应选(D).(5)l答案】(C)・『解』方法一由(<X1+么2)—(化+庄3)+(。3十S)—(仅4+(X1)=0得向量组«1+«2,«2+^3^3+«4^4+®!线性相关,(A)不对;由(。1—</2)+(。2—03)+(么3—。4)+(。4—。1)=0得向量组—么2,。2—。3,。3—。4,。4一线性相关,(B)不对;由(5+a2)—(a2+a3)+(a3—a4)+(«4~«i)=0得向量组a}+a2ta2+a3,a3—«i线性相关,(D)不对,应选(C).方法二令A=(aj,a2,a3,a4),因为ax,a2,a3,a4线性无关,所以r(A)=4.-10001101令B=(«1+a29a2+a33+9a4--ai),则〃=A011001100--1100_1100_1、1100()1011100因为0110=0110=2H0,得01100011()011<0011,01满秩,所以r(B),(X4_°1==厂(A)==4,苗C(X1+a29(X2+a3,a3+a41线性无关,应选(C).(1)【解】dy/didx/AtcostI2—2z2sint2—2t•—cost2I=一JCSCXd(cotH)=—CSCXcotX——cscxcotx—I+In|cscx—cotx*(—cscjccotj;+InIcscx—cotx|)+C,..=丄(—cscxcotj;+InIcscx—cot|)------\-----\-C・sinlx+2sinx44sinx四、【解】令纭:N=—R(工$+y2£R2),取下侧,S2:z=RCx2+y2WR2),取上侧,—2^sint22t(2)【解】ddx/Atd2=—Jin甘则葺L君1J2x/(.)=-1-10(1+.)-yln(l-.)+1—arctanx—xdj;f(0)=0,")=莎±5+丽£一1=吕一i=刀(,)"=刀h"(—1<;xm=1n=l<1),于是于(工)=f(jc)~■/(0)=/&#039;(•r)dz=Y0n=l4”+lX4n+1(-1<x<1).(3)【解】dxsin2x+2sinx=丄f______空_______2Jsinjr(1+cosx)1f(1—cosx)djr=TJ—sin3j;令/=csc3xdr,则3jtdjr----sin3xd(sinx)H-----—4sin\zCSCXcot2J;dj;故2:N显然』S3:x2+y2=R2(—RWzWR),取外侧,t严逻旳2=o,J工2+夕+之&#039;3因为2广2,d为Z的偶函数,所以x+y+z于是I=再由』xdj/dz弋工十夕十Nzdydz_2—7~2I__2—U&#039;x+y~rz•f亍聘」o,故工十J/十N・r十勺=rrz心血Pl”无2+』2+才”引2:申J?+『2+乙2Z2rrz2AxAyI]x2+y2+z2=■JH十3/十N&#039;2&CPjcdydz£H2+y2+N工3Txd;ydzJjc2+y2+z2‘32・令羽Jd+b=R2Q$0),取前侧,因为2|:;飞为工的奇函数,jc+y+z所以I=Z3xdydz十;/+/=2CPjcdydz:JJx2+y2+z2T(l)丿32■Rdy-R■「R-R血2p2血=8「&#039;<R2_『2曲&#039;RR2+z20RdzoR2+z2=8X^X...

1、当您付费下载文档后,您只拥有了使用权限,并不意味着购买了版权,文档只能用于自身使用,不得用于其他商业用途(如 [转卖]进行直接盈利或[编辑后售卖]进行间接盈利)。
2、本站所有内容均由合作方或网友上传,本站不对文档的完整性、权威性及其观点立场正确性做任何保证或承诺!文档内容仅供研究参考,付费前请自行鉴别。
3、如文档内容存在违规,或者侵犯商业秘密、侵犯著作权等,请点击“违规举报”。

碎片内容

我的小文库
实名认证
内容提供者

提供高质量免费文档试卷下载,如果满意请告诉您身边的人,如果不满意请告诉我们,您的意见对于我们很重要,是我们不断进步的动力

阅读排行

确认删除?
回到顶部
客服号
  • 客服QQ点击这里给我发消息
QQ群
  • QQ群点击这里加入QQ群
提交所需资料详情,我们来帮找资料