2005-2013考研数二答案解析.pdf本文件免费下载 【共128页】

2005-2013考研数二答案解析.pdf
2005-2013考研数二答案解析.pdf
2005-2013考研数二答案解析.pdf
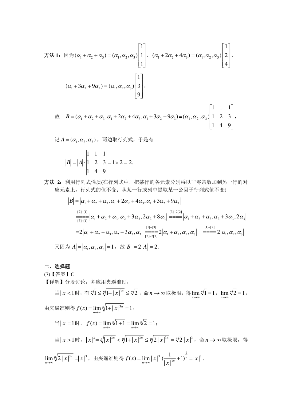
2005年全国硕士研究生入学统一考试数学二试题解析一、填空题(1)【详解】先求出函数的导数,再求函数在某点的微分.方法1:利用恒等变形得xxy)sin1(+==)sin1ln(xxe+,于是]sin1cos)sin1[ln()sin1ln(xxxxeyxx+⋅++⋅=′+,从而π=xdy=.)(dxdxyππ−=′方法2:两边取对数,)sin1ln(lnxxy+=,对x求导,得1cosln(1sin)1sinxxyxyx′=+++,于是]sin1cos)sin1[ln()sin1(xxxxxyx+⋅++⋅+=′,故π=xdy=.)(dxdxyππ−=′(2)曲线xxy23)1(+=的斜渐近线方程为___________.【详解】由求斜渐近线公式yaxb=+(其中()limxfxax→∞=,lim[()]xbfxax→∞=−),得:32()(1)limlim1,xxfxxaxxx→+∞→+∞+===[]23)1(lim)(lim2323=−+=−=+∞→+∞→xxxaxxfbxx,于是所求斜渐近线方程为.23+=xy(3)【详解】通过还原变换求定积分方法1:令txsin=(0)2tπ<<,则=−−∫10221)2(xxxdx∫−202cos)sin2(cossinπdttttt220sin2sintdttπ=−∫更多考研资料分享+qq810958634更多考研资料分享+qq81095863422200cosarctan(cos)1cos4dtttπππ=−=−=+∫方法2:令21xt−=,有221,xt=−所以有xdxtdt=−,其中01t<<.11222001arctan014(2)1xdxdtttxxπ−===+−−∫∫(4)【答案】.91ln31xxxy−=【详解】求方程()()dyPxyQxdx+=的解,有公式()()()PxdxPxdxyeQxedxC−∫∫=+∫(其中C是常数).将原方程等价化为xyxyln2=+′,于是利用公式得方程的通解22[ln]dxdxxxyexedxC−∫∫=⋅+∫221[ln]xxdxCx=⋅+∫=211ln39Cxxxx−+,(其中C是常数)由91)1(−=y得0C=,故所求解为.91ln31xxxy−=(5)【详解】由题设,200()1arcsincoslimlim()xxxxxxxkxβα→→+−==)cosarcsin1(cos1arcsinlim20xxxkxxxxx++−+→201arcsin1coslim2xxxxkx→+−=2001arcsin1coslimlim2xxxxkxx→→−=+,又因为201cos1lim2xxx→−=,00arcsinlimarcsinlim1sinxuxuxuxu→→==所以0()11lim(1)()22xxxkβα→=+34k=由题设0→x时()~()xxαβ,所以314k=,得.43=k(6)【答案】2【详解】更多考研资料分享+qq810958634更多考研资料分享+qq810958634方法1:因为1231231()(,,)11αααααα++=,1231231(24)(,,)24αααααα++=,1231231(39)(,,)39αααααα++=,故123123123(,24,39)Bααααααααα=++++++=941321111),,(321ααα,记123(,,)Aααα=,两边取行列式,于是有.221941321111=×=⋅=AB方法2:利用行列式性质(在行列式中,把某行的各元素分别乘以非零常数加到另一行的对应元素上,行列式的值不变;从某一行或列中提取某一公因子行列式值不变)123123123,24,39Bααααααααα=++++++[2][1]1232323[3][1],3,28ααααααα−−====++++[3]2[2]123233====,3,2αααααα−+++123233=2,3,αααααα+++[1][3]1223[2]3[3]====2,,αααα−−+[1][2]123====2,,ααα−又因为123,,1Aααα==,故B2A=2=.二、选择题(7)【答案】C【详解】分段讨论,并应用夹逼准则,当||1x<时,有311||2nnnnx≤+≤,命n→∞取极限,得lim11nn→∞=,lim21nn→∞=,由夹逼准则得3()lim1||1nnnfxx→∞=+=;当||1x=时,()lim11lim21nnnnfx→∞→∞=+==;当||1x>时,33333||||1||2||2||nnnnnnnxxxxx=<+≤=,命n→∞取极限,得33lim2||||nnnxx→∞=,由夹逼准则得13331()lim||(1)||.||nnnfxxxx→∞=+=更多考研资料分享+qq810958634更多考研资料分享+qq810958634所以31,||1(),||1xfxxx<=≥再讨论()fx的不可导点.按导数定义,易知1x=±处()fx不可导,故应选(C).(8)【答案】A【详解】方法1:应用函数奇偶性的定义判定,函数()fx的任一原函数可表示为∫+=xCdttfxF0)()(,且).()(xfxF=′当()Fx为偶函数时,有)()(xFxF=−,于是)()1()(xFxF′=−⋅−′,即)()(xfxf=−−,亦即)()(xfxf−=−,可见()fx为奇函数;反过来,若()fx为奇函数,则0()()xFxftdtC−−=+∫,令tk=−,则有dtdk=−,所以000()()()()()xxxFxftdtCfkdkCfkdkCFx−−=+=−−+=+=∫∫∫,从而∫+=xCdttfxF0)()(为偶函数,可见(A)为正确选项.方法2:排除法,令()1fx=,则取()1Fxx=+,排除(B...

1、当您付费下载文档后,您只拥有了使用权限,并不意味着购买了版权,文档只能用于自身使用,不得用于其他商业用途(如 [转卖]进行直接盈利或[编辑后售卖]进行间接盈利)。
2、本站所有内容均由合作方或网友上传,本站不对文档的完整性、权威性及其观点立场正确性做任何保证或承诺!文档内容仅供研究参考,付费前请自行鉴别。
3、如文档内容存在违规,或者侵犯商业秘密、侵犯著作权等,请点击“违规举报”。

碎片内容

我的小文库
实名认证
内容提供者

提供高质量免费文档试卷下载,如果满意请告诉您身边的人,如果不满意请告诉我们,您的意见对于我们很重要,是我们不断进步的动力

阅读排行

确认删除?
回到顶部
客服号
  • 客服QQ点击这里给我发消息
QQ群
  • QQ群点击这里加入QQ群
提交所需资料详情,我们来帮找资料