高中数学 选修1 1.4.2 用空间向量研究距离、夹角问题(1) -B提高练(解析版).docx本文件免费下载 【共12页】

高中数学 选修1 1.4.2 用空间向量研究距离、夹角问题(1)  -B提高练(解析版).docx
高中数学 选修1 1.4.2 用空间向量研究距离、夹角问题(1)  -B提高练(解析版).docx
高中数学 选修1 1.4.2 用空间向量研究距离、夹角问题(1)  -B提高练(解析版).docx
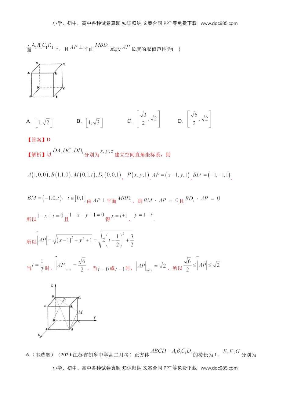
小学、初中、高中各种试卷真题知识归纳文案合同PPT等免费下载www.doc985.com小学、初中、高中各种试卷真题知识归纳文案合同PPT等免费下载www.doc985.com1.4.2用空间向量研究距离、夹角问题(1)-B提高练一、选择题1.(2020安徽安庆高二期中)若点A(2,3,2)关于xoz平面的对称点为A',点B(﹣2,1,4)关于y轴对称点为B',点M为线段A'B'的中点,则|MA|=()A.B.C.5D.【答案】C【解析】 点A(2,3,2)关于xoz平面的对称点为A',∴A′(2,﹣3,2), 点B(﹣2,1,4)关于y轴对称点为B',∴B′(2,1,﹣4), 点M为线段A'B'的中点,∴M(2,﹣1,﹣1),∴|MA|==5.2.(2020四川广安高二校级月考)已知直线l的方向向量为=(﹣1,0,1),点A(1,2,﹣1)在l上,则点P(2,﹣1,2)到l的距离为()A.B.4C.D.3【答案】C【解析】根据题意,得=(﹣1,3,﹣3),=(﹣1,0,1),∴cos<,>==﹣,∴sin<,>=;又 ||=,∴点P(2,﹣1,2)到直线l的距离为||sin<,>=×=.3.如图,已知正方形ABCD的边长为4,E,F分别是AB,AD的中点,GC⊥平面ABCD,且GC=2,则点B到平面EFG的距离为()A.❑√1010B.2❑√1111C.35D.1【答案】B【解析】以C为坐标原点,⃗CD所在直线为x轴,⃗CB所在直线为y轴,⃗CG所在直线为z轴,建立空间直角坐标小学、初中、高中各种试卷真题知识归纳文案合同PPT等免费下载www.doc985.com小学、初中、高中各种试卷真题知识归纳文案合同PPT等免费下载www.doc985.com系,则F(4,2,0),E(2,4,0),G(0,0,2),B(0,4,0),∴⃗BE=(2,0,0),⃗FE=(-2,2,0),⃗EG=(-2,-4,2).设平面EFG的法向量为m=(x,y,z),则{m·⃗FE=0,m·⃗EG=0,即{-2x+2y=0,-2x-4y+2z=0.令x=1,则y=1,z=3,则m=(1,1,3),∴点B到平面EFG的距离d=|⃗BE·m||m|=2❑√1111.4.(2020山东菏泽三中高二期末)在棱长为a的正方体ABCD﹣A1B1C1D1中,M是AA1的中点,则点A到平面MBD的距离是()A.aB.aC.aD.a【答案】D【解析】以D为原点建立如图所示的空间直角坐标系D﹣xyz,A(a,0,0),B(a,a,0),D(0,0,0),M(a,0,),则=(a,a,0),=(a,0,),设平面BDM的法向量为,则,取x=1,得=(1,﹣1,﹣2), =(0,a,0),∴点A到平面MBD的距离d===.故选:D.5.(2020·湖南高二(理))正方体的棱长为1,动点在线段上,动点在平小学、初中、高中各种试卷真题知识归纳文案合同PPT等免费下载www.doc985.com小学、初中、高中各种试卷真题知识归纳文案合同PPT等免费下载www.doc985.com面A1B1C1D1上,且平面.线段长度的取值范围为()A.B.C.D.【答案】D【解析】以分别为建立空间直角坐标系,则,.,,由平面,则且所以且得,.所以当时,,当或时,,所以6.(多选题)(2020·江苏省如皋中学高二月考)正方体的棱长为1,分别为小学、初中、高中各种试卷真题知识归纳文案合同PPT等免费下载www.doc985.com小学、初中、高中各种试卷真题知识归纳文案合同PPT等免费下载www.doc985.com的中点.则()A.直线与直线垂直B.直线与平面平行C.平面截正方体所得的截面面积为D.点和点到平面的距离相等【答案】BC【解析】对选项A:(方法一)以点为坐标原点,、、所在的直线分别为、、轴,建立空间直角坐标系,则、、、、、.从而,,从而,所以与直线不垂直,选项A错误;(方法二)取的中点,连接,则为直线在平面内的射影,与不垂直,从而与也不垂直,选项A错误;小学、初中、高中各种试卷真题知识归纳文案合同PPT等免费下载www.doc985.com小学、初中、高中各种试卷真题知识归纳文案合同PPT等免费下载www.doc985.com取的中点为,连接、,则,,易证,从而,选项B正确;对于选项C,连接,,易知四边形为平面截正方体所得的截面四边形(如图所示),且,,所以,而,从而选项C正确;对于选项D:(方法一)由于,而,而,,所以,即,点到平面的距离为点到平面的距离的二倍.从而D错误.小学、初中、高中各种试卷真题知识归纳文案合同PPT等免费下载www.doc985.com小学、初中、高中各种试卷真题知识归纳文案合同PPT等免费下载www.doc985.com(方法二)假设点与点到平面的距离相等,即平面将平分,则平面必过...

1、当您付费下载文档后,您只拥有了使用权限,并不意味着购买了版权,文档只能用于自身使用,不得用于其他商业用途(如 [转卖]进行直接盈利或[编辑后售卖]进行间接盈利)。
2、本站所有内容均由合作方或网友上传,本站不对文档的完整性、权威性及其观点立场正确性做任何保证或承诺!文档内容仅供研究参考,付费前请自行鉴别。
3、如文档内容存在违规,或者侵犯商业秘密、侵犯著作权等,请点击“违规举报”。

碎片内容

与本文档类似文档
新高二数学暑假衔接第2部分-暑假预习-第06讲 用空间向量研究距离、夹角问题(教师版)-(人教A版).docx
新高二数学暑假衔接第2部分-暑假预习-第06讲 用空间向量研究距离、夹角问题(教师版)-(人教A版).docx
免费
0下载
高中数学 选修2 第5章 数列章末检测(解析版)(作业)-【上好课】高二数学同步备课系列(人教A版2019选择性必修第二册).docx
高中数学 选修2 第5章 数列章末检测(解析版)(作业)-【上好课】高二数学同步备课系列(人教A版2019选择性必修第二册).docx
免费
0下载
新高二数学暑假衔接第2部分-暑假预习-第10讲 直线的两点式方程(教师版)-(人教A版).docx
新高二数学暑假衔接第2部分-暑假预习-第10讲 直线的两点式方程(教师版)-(人教A版).docx
免费
0下载
第九章 统计(B能力卷)(原卷版)-新教材2022-2023学年高一数学尖子生培优AB卷(人教A版2019必修第二册).docx
第九章 统计(B能力卷)(原卷版)-新教材2022-2023学年高一数学尖子生培优AB卷(人教A版2019必修第二册).docx
免费
0下载
高一上册数学期末模拟卷Ⅲ-(人教A版2019必修第一册)(原卷版).docx
高一上册数学期末模拟卷Ⅲ-(人教A版2019必修第一册)(原卷版).docx
免费
0下载
河北省“五个一”名校联盟2022-2023学年高二下学期期末联考数学试题(学生版).docx
河北省“五个一”名校联盟2022-2023学年高二下学期期末联考数学试题(学生版).docx
免费
0下载
2.5.2圆与圆的位置关系 同步练习-2022-2023学年高二上学期数学人教A版(2019)选择性必修第一册(Word含答案).docx
2.5.2圆与圆的位置关系 同步练习-2022-2023学年高二上学期数学人教A版(2019)选择性必修第一册(Word含答案).docx
免费
0下载
高中数学 选修1 1.1 空间向量及其运算 --提高练(学生版).docx
高中数学 选修1 1.1 空间向量及其运算 --提高练(学生版).docx
免费
0下载
新高二数学暑假衔接第1部分-暑假复习-专题01 平面向量及其应用(学生版)-(人教A版).docx
新高二数学暑假衔接第1部分-暑假复习-专题01 平面向量及其应用(学生版)-(人教A版).docx
免费
0下载
新高二数学暑假衔接第2部分-预习-第10讲 椭圆(学生版)-新高二数学暑假讲义(人教A版).docx
新高二数学暑假衔接第2部分-预习-第10讲 椭圆(学生版)-新高二数学暑假讲义(人教A版).docx
免费
0下载
高中数学 选修1 2.5 直线与圆、圆与圆的位置关系(精讲)(原卷版).docx
高中数学 选修1 2.5 直线与圆、圆与圆的位置关系(精讲)(原卷版).docx
免费
0下载
高中数学 选修1 【新教材精创】2.3.4 两条平行线间的距离 A基础练(原卷版).docx
高中数学 选修1 【新教材精创】2.3.4 两条平行线间的距离 A基础练(原卷版).docx
免费
0下载
高中数学 选修37.2 离散型随机变量及其分布列 (2)   -B提高练(原卷版).docx
高中数学 选修37.2 离散型随机变量及其分布列 (2) -B提高练(原卷版).docx
免费
0下载
高中数学 选修2 5.2.1 基本初等函数的导数(原卷版)(作业)-【上好课】高二数学同步备课系列(人教A版2019选择性必修第二册).docx
高中数学 选修2 5.2.1 基本初等函数的导数(原卷版)(作业)-【上好课】高二数学同步备课系列(人教A版2019选择性必修第二册).docx
免费
0下载
高中数学 选修3【格致课堂】8.1 成对数据的相关关系   -A基础练(解析版).docx
高中数学 选修3【格致课堂】8.1 成对数据的相关关系 -A基础练(解析版).docx
免费
0下载
高中数学 选修2 5.2.3 导数的运算法则与简单复合函数求导公式(基础练)-高二数学十分钟同步课堂专练(人教A版选择性必修第二册).docx
高中数学 选修2 5.2.3 导数的运算法则与简单复合函数求导公式(基础练)-高二数学十分钟同步课堂专练(人教A版选择性必修第二册).docx
免费
0下载
2023高二数学同步讲义(A版选必三)拓展三:近五年计数原理高考真题分类汇编(原卷版).docx
2023高二数学同步讲义(A版选必三)拓展三:近五年计数原理高考真题分类汇编(原卷版).docx
免费
26下载
高中数学 选修3第六章 计数原理--复习与小结    -B提高练(解析版).docx
高中数学 选修3第六章 计数原理--复习与小结 -B提高练(解析版).docx
免费
0下载
高中数学 选修2 第四章 数列复习与小结   -B提高练(学生版).docx
高中数学 选修2 第四章 数列复习与小结 -B提高练(学生版).docx
免费
0下载
高中数学 选修1 2.1 直线的斜率与倾斜角(精练)(原卷版).docx
高中数学 选修1 2.1 直线的斜率与倾斜角(精练)(原卷版).docx
免费
0下载
我的小文库
实名认证
内容提供者

提供高质量免费文档试卷下载,如果满意请告诉您身边的人,如果不满意请告诉我们,您的意见对于我们很重要,是我们不断进步的动力

相关文档

阅读排行

确认删除?
回到顶部
客服号
  • 客服QQ点击这里给我发消息
QQ群
  • QQ群点击这里加入QQ群
提交所需资料详情,我们来帮找资料