高中数学 选修1 1.4.2 用空间向量研究距离、夹角问题(2) -A基础练(解析版).docx本文件免费下载 【共11页】

高中数学 选修1 1.4.2 用空间向量研究距离、夹角问题(2)  -A基础练(解析版).docx
高中数学 选修1 1.4.2 用空间向量研究距离、夹角问题(2)  -A基础练(解析版).docx
高中数学 选修1 1.4.2 用空间向量研究距离、夹角问题(2)  -A基础练(解析版).docx
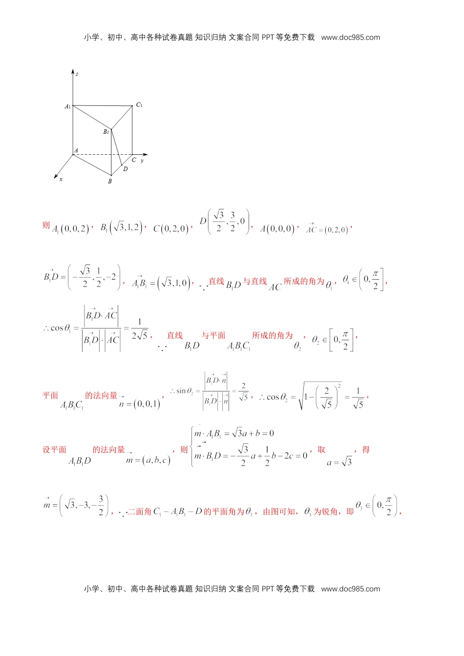
小学、初中、高中各种试卷真题知识归纳文案合同PPT等免费下载www.doc985.com小学、初中、高中各种试卷真题知识归纳文案合同PPT等免费下载www.doc985.com1.4.2用空间向量研究距离、夹角问题(2)-A基础练一、选择题1.若平面α的一个法向量为n1=(1,0,1),平面β的一个法向量是n2=(-3,1,3),则平面α与β所成的角等于()A.30°B.45°C.60°D.90°【答案】D【解析】因为n1·n2=(1,0,1)·(-3,1,3)=0,所以α⊥β,即平面α与β所成的角等于90°.2.已知A(0,1,1),B(2,-1,0),C(3,5,7),D(1,2,4),则直线AB和直线CD所成角的余弦值为()A.5❑√2266B.-5❑√2266C.5❑√2222D.-5❑√2222【答案】A【解析】⃗AB=(2,-2,-1),⃗CD=(-2,-3,-3),而cos􀎮⃗AB,⃗CD􀎮=⃗AB·⃗CD|⃗AB||⃗CD|=53×❑√22=5❑√2266,故直线AB和CD所成角的余弦值为5❑√2266.3.如图,在三棱柱ABC-A1B1C1中,AA1⊥底面ABC,AA1=3,AB=AC=BC=2,则AA1与平面AB1C1所成角的大小为()A.30°B.45°C.60°D.90°【答案】A【解析】取AB的中点D,连接CD,分别以DA,DC,DE所在直线为x轴,y轴,z轴建立空间直角坐标系,小学、初中、高中各种试卷真题知识归纳文案合同PPT等免费下载www.doc985.com小学、初中、高中各种试卷真题知识归纳文案合同PPT等免费下载www.doc985.com可得A(1,0,0),A1(1,0,3),故⃗AA1=(0,0,3),而B1(-1,0,3),C1(0,❑√3,3),设平面AB1C1的法向量为m=(a,b,c),根据m·⃗AB1=0,m·⃗AC1=0,解得m=(3,-❑√3,2),cos<m,⃗AA1>=m·⃗AA1|m||⃗AA1|=12.故AA1与平面AB1C1所成角的大小为30°,故选A.4.(2020·浙江省高二期末)在底面为锐角三角形的直三棱柱中,是棱的中点,记直线与直线所成角为,直线与平面所成角为,二面角的平面角为,则()A.B.C.D.【答案】A【解析】由题可知,直三棱柱的底面为锐角三角形,是棱的中点,设三棱柱是棱长为的正三棱柱,以为原点,在平面中,过作的垂线为轴,为轴,为轴,建立空间直角坐标系,小学、初中、高中各种试卷真题知识归纳文案合同PPT等免费下载www.doc985.com小学、初中、高中各种试卷真题知识归纳文案合同PPT等免费下载www.doc985.com则,,,,,,,,直线与直线所成的角为,,,直线与平面所成的角为,,平面的法向量,,,设平面的法向量,则,取,得,二面角的平面角为,由图可知,为锐角,即,小学、初中、高中各种试卷真题知识归纳文案合同PPT等免费下载www.doc985.com小学、初中、高中各种试卷真题知识归纳文案合同PPT等免费下载www.doc985.com,,由于在区间上单调递减,,则.故选:A.5.(多选题)(2020江西宜春二中高二月考)正三棱柱中,,则()A.与底面的成角的正弦值为B.与底面的成角的正弦值为C.与侧面的成角的正弦值为D.与侧面的成角的正弦值为【答案】BC【解析】如图,取中点,中点,并连接,则,,三条直线两两垂直,则分别以这三条直线为轴,轴,轴建立如图所示空间直角坐标系;设;则;,,,,1,,,,,,1,;,0,,.底面的其中一个法向量为:,与底面的成角的正弦值为,;错对.小学、初中、高中各种试卷真题知识归纳文案合同PPT等免费下载www.doc985.com小学、初中、高中各种试卷真题知识归纳文案合同PPT等免费下载www.doc985.com的中点的坐标为,,;侧面的其中一个法向量为:;与侧面的成角的正弦值为:,;故对错;故选:.6.(多选题)(2020·江苏镇江二中高二期末)如图,已知四棱锥中,平面,底面为矩形,,.若在直线上存在两个不同点,使得直线与平面所成角都为.则实数的值为()A.B.C.D.【答案】ABC【解析】假设在直线BC上有一点Q,使得直线PQ与平面ABCD所成角为,此时,易得,在中,由于,可得.所以,在直线BC上存在两个不同点Q,使得直线PQ与小学、初中、高中各种试卷真题知识归纳文案合同PPT等免费下载www.doc985.com小学、初中、高中各种试卷真题知识归纳文案合同PPT等免费下载www.doc985.com平面ABCD所成角都为,等价于在直线BC上有两个点到点A的距离为,由此可得.故选:ABC二、填空题7.(2020全国高二课时练)在直三棱柱中,若,则异面直线与所成的角等于_________.【答案】【解析】三棱柱为直三棱柱,且以点为坐标原点,分别以,,为轴建...

1、当您付费下载文档后,您只拥有了使用权限,并不意味着购买了版权,文档只能用于自身使用,不得用于其他商业用途(如 [转卖]进行直接盈利或[编辑后售卖]进行间接盈利)。
2、本站所有内容均由合作方或网友上传,本站不对文档的完整性、权威性及其观点立场正确性做任何保证或承诺!文档内容仅供研究参考,付费前请自行鉴别。
3、如文档内容存在违规,或者侵犯商业秘密、侵犯著作权等,请点击“违规举报”。

碎片内容

与本文档类似文档
新高二数学暑假衔接第2部分-暑假预习-第06讲 用空间向量研究距离、夹角问题(教师版)-(人教A版).docx
新高二数学暑假衔接第2部分-暑假预习-第06讲 用空间向量研究距离、夹角问题(教师版)-(人教A版).docx
免费
0下载
高中数学 选修2 第5章 数列章末检测(解析版)(作业)-【上好课】高二数学同步备课系列(人教A版2019选择性必修第二册).docx
高中数学 选修2 第5章 数列章末检测(解析版)(作业)-【上好课】高二数学同步备课系列(人教A版2019选择性必修第二册).docx
免费
0下载
新高二数学暑假衔接第2部分-暑假预习-第10讲 直线的两点式方程(教师版)-(人教A版).docx
新高二数学暑假衔接第2部分-暑假预习-第10讲 直线的两点式方程(教师版)-(人教A版).docx
免费
0下载
第九章 统计(B能力卷)(原卷版)-新教材2022-2023学年高一数学尖子生培优AB卷(人教A版2019必修第二册).docx
第九章 统计(B能力卷)(原卷版)-新教材2022-2023学年高一数学尖子生培优AB卷(人教A版2019必修第二册).docx
免费
0下载
高一上册数学期末模拟卷Ⅲ-(人教A版2019必修第一册)(原卷版).docx
高一上册数学期末模拟卷Ⅲ-(人教A版2019必修第一册)(原卷版).docx
免费
0下载
河北省“五个一”名校联盟2022-2023学年高二下学期期末联考数学试题(学生版).docx
河北省“五个一”名校联盟2022-2023学年高二下学期期末联考数学试题(学生版).docx
免费
0下载
2.5.2圆与圆的位置关系 同步练习-2022-2023学年高二上学期数学人教A版(2019)选择性必修第一册(Word含答案).docx
2.5.2圆与圆的位置关系 同步练习-2022-2023学年高二上学期数学人教A版(2019)选择性必修第一册(Word含答案).docx
免费
0下载
高中数学 选修1 1.1 空间向量及其运算 --提高练(学生版).docx
高中数学 选修1 1.1 空间向量及其运算 --提高练(学生版).docx
免费
0下载
新高二数学暑假衔接第1部分-暑假复习-专题01 平面向量及其应用(学生版)-(人教A版).docx
新高二数学暑假衔接第1部分-暑假复习-专题01 平面向量及其应用(学生版)-(人教A版).docx
免费
0下载
新高二数学暑假衔接第2部分-预习-第10讲 椭圆(学生版)-新高二数学暑假讲义(人教A版).docx
新高二数学暑假衔接第2部分-预习-第10讲 椭圆(学生版)-新高二数学暑假讲义(人教A版).docx
免费
0下载
高中数学 选修1 2.5 直线与圆、圆与圆的位置关系(精讲)(原卷版).docx
高中数学 选修1 2.5 直线与圆、圆与圆的位置关系(精讲)(原卷版).docx
免费
0下载
高中数学 选修1 【新教材精创】2.3.4 两条平行线间的距离 A基础练(原卷版).docx
高中数学 选修1 【新教材精创】2.3.4 两条平行线间的距离 A基础练(原卷版).docx
免费
0下载
高中数学 选修37.2 离散型随机变量及其分布列 (2)   -B提高练(原卷版).docx
高中数学 选修37.2 离散型随机变量及其分布列 (2) -B提高练(原卷版).docx
免费
0下载
高中数学 选修2 5.2.1 基本初等函数的导数(原卷版)(作业)-【上好课】高二数学同步备课系列(人教A版2019选择性必修第二册).docx
高中数学 选修2 5.2.1 基本初等函数的导数(原卷版)(作业)-【上好课】高二数学同步备课系列(人教A版2019选择性必修第二册).docx
免费
0下载
高中数学 选修3【格致课堂】8.1 成对数据的相关关系   -A基础练(解析版).docx
高中数学 选修3【格致课堂】8.1 成对数据的相关关系 -A基础练(解析版).docx
免费
0下载
高中数学 选修2 5.2.3 导数的运算法则与简单复合函数求导公式(基础练)-高二数学十分钟同步课堂专练(人教A版选择性必修第二册).docx
高中数学 选修2 5.2.3 导数的运算法则与简单复合函数求导公式(基础练)-高二数学十分钟同步课堂专练(人教A版选择性必修第二册).docx
免费
0下载
2023高二数学同步讲义(A版选必三)拓展三:近五年计数原理高考真题分类汇编(原卷版).docx
2023高二数学同步讲义(A版选必三)拓展三:近五年计数原理高考真题分类汇编(原卷版).docx
免费
26下载
高中数学 选修3第六章 计数原理--复习与小结    -B提高练(解析版).docx
高中数学 选修3第六章 计数原理--复习与小结 -B提高练(解析版).docx
免费
0下载
高中数学 选修2 第四章 数列复习与小结   -B提高练(学生版).docx
高中数学 选修2 第四章 数列复习与小结 -B提高练(学生版).docx
免费
0下载
高中数学 选修1 2.1 直线的斜率与倾斜角(精练)(原卷版).docx
高中数学 选修1 2.1 直线的斜率与倾斜角(精练)(原卷版).docx
免费
0下载
我的小文库
实名认证
内容提供者

提供高质量免费文档试卷下载,如果满意请告诉您身边的人,如果不满意请告诉我们,您的意见对于我们很重要,是我们不断进步的动力

相关文档

阅读排行

确认删除?
回到顶部
客服号
  • 客服QQ点击这里给我发消息
QQ群
  • QQ群点击这里加入QQ群
提交所需资料详情,我们来帮找资料