高中数学 选修1 1.4.2 空间向量的应用(二)(精练)(解析版).docx本文件免费下载 【共39页】

高中数学 选修1 1.4.2 空间向量的应用(二)(精练)(解析版).docx
高中数学 选修1 1.4.2 空间向量的应用(二)(精练)(解析版).docx
高中数学 选修1 1.4.2 空间向量的应用(二)(精练)(解析版).docx
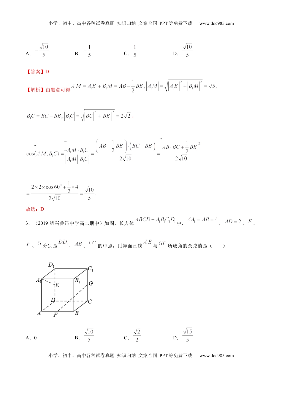
小学、初中、高中各种试卷真题知识归纳文案合同PPT等免费下载www.doc985.com小学、初中、高中各种试卷真题知识归纳文案合同PPT等免费下载www.doc985.com1.4.2空间向量应用(二)【题组一空间向量求线线角】1.(2020·宜昌天问教育集团高二期末)如图,将两个全等等腰直角三角形拼成一个平行四边形,将平行四边形沿对角线折起,使平面平面,则直线与所成角余弦值为()A.B.C.D.【答案】C【解析】由平面平面,平面平面,平面所以平面,又平面所以,又所以作轴//,建立空间直角坐标系如图小学、初中、高中各种试卷真题知识归纳文案合同PPT等免费下载www.doc985.com小学、初中、高中各种试卷真题知识归纳文案合同PPT等免费下载www.doc985.com设,所以则所以所以故选:C2.(2020·湖北武汉。月考)如图,直四棱柱的底面是菱形,,,M是的中点,则异面直线与所成角的余弦值为()小学、初中、高中各种试卷真题知识归纳文案合同PPT等免费下载www.doc985.com小学、初中、高中各种试卷真题知识归纳文案合同PPT等免费下载www.doc985.comA.B.C.D.【答案】D【解析】由题意可得,故选:D3.(2019·绍兴鲁迅中学高二期中)如图,长方体中,,,、、分别是、、的中点,则异面直线与所成角的余弦值是()A.0B.C.D.小学、初中、高中各种试卷真题知识归纳文案合同PPT等免费下载www.doc985.com小学、初中、高中各种试卷真题知识归纳文案合同PPT等免费下载www.doc985.com【答案】A【解析】如图所以所以异面直线与所成角的余弦值故选:A4.(2019·浙江湖州.高二期中)在正方体中,异面直线与所成的角为()A.B.C.D.【答案】D【解析】以D为原点,DA为x轴,DC为y轴,DD1为z轴,建立空间直角坐标系,设正方体ABCD﹣A1B1C1D1中棱长为1,则A(1,0,0),C(0,1,0),D(0,0,0),B1(1,1,1),=(﹣1,1,0),=(﹣1,﹣1,﹣1),小学、初中、高中各种试卷真题知识归纳文案合同PPT等免费下载www.doc985.com小学、初中、高中各种试卷真题知识归纳文案合同PPT等免费下载www.doc985.com设异面直线AC与B1D所成的角为θ,则cosθ==0,∴θ=.∴异面直线AC与B1D所成的角为.故选:D.5.(2020·武汉外国语学校高一月考)如图,正三棱锥的侧棱长为3,底面边长为2,则与所成角的余弦值为______.【答案】【解析】设与的夹角为,则与的夹角也是小学、初中、高中各种试卷真题知识归纳文案合同PPT等免费下载www.doc985.com小学、初中、高中各种试卷真题知识归纳文案合同PPT等免费下载www.doc985.com则与所成角的余弦值为故答案为:【题组二空间向量求线面角】1.(2020·江苏高二)如图,在三棱锥P-ABC中,AC⊥BC,且,AC=BC=2,D,E分别为AB,PB中点,PD⊥平面ABC,PD=3.(1)求直线CE与直线PA夹角的余弦值;(2)求直线PC与平面DEC夹角的正弦值.【答案】(1);(2).【解析】建立如图所示的空间直角坐标系,易知C(0,0,0),A(2,0,0),D(1,1,0),E(,,),P(1,1,3),设直线CE与直线PA夹角为,则小学、初中、高中各种试卷真题知识归纳文案合同PPT等免费下载www.doc985.com小学、初中、高中各种试卷真题知识归纳文案合同PPT等免费下载www.doc985.com整理得;直线CE与直线PA夹角的余弦值;(2)设直线PC与平面DEC夹角为,设平面DEC的法向量为,因为,所以有取,解得,,即面DEC的一个法向量为,,.直线PC与平面DEC夹角的正弦值为.小学、初中、高中各种试卷真题知识归纳文案合同PPT等免费下载www.doc985.com小学、初中、高中各种试卷真题知识归纳文案合同PPT等免费下载www.doc985.com2.(2020·沙坪坝.重庆八中)如图,四棱台中,底面是菱形,底面,且60°,,是棱的中点.(1)求证:;(2)求直线与平面所成线面角的正弦值.【答案】(1)证明见解析;(2).【解析】(1)因为底面,所以因为底面是菱形,所以又,所以平面又由四棱台知,,,,四点共面小学、初中、高中各种试卷真题知识归纳文案合同PPT等免费下载www.doc985.com小学、初中、高中各种试卷真题知识归纳文案合同PPT等免费下载www.doc985.com所以(2)如图,设交于点,依题意,且,,且,又由已知底面,得底面.以为原点,、、所在...

1、当您付费下载文档后,您只拥有了使用权限,并不意味着购买了版权,文档只能用于自身使用,不得用于其他商业用途(如 [转卖]进行直接盈利或[编辑后售卖]进行间接盈利)。
2、本站所有内容均由合作方或网友上传,本站不对文档的完整性、权威性及其观点立场正确性做任何保证或承诺!文档内容仅供研究参考,付费前请自行鉴别。
3、如文档内容存在违规,或者侵犯商业秘密、侵犯著作权等,请点击“违规举报”。

碎片内容

与本文档类似文档
高中数学 选修1 期中测试卷02(人教A版2019)(选择性必修第一册第一章、第二章)(原卷版).doc
高中数学 选修1 期中测试卷02(人教A版2019)(选择性必修第一册第一章、第二章)(原卷版).doc
免费
1下载
高中数学 选修1 第三章 圆锥曲线的方程(B卷·能力提升练)(解析版).docx
高中数学 选修1 第三章 圆锥曲线的方程(B卷·能力提升练)(解析版).docx
免费
1下载
高中数学 选修1 【新教材精创】3.2.2 双曲线的简单几何性质(2)-A基础练(学生版).docx
高中数学 选修1 【新教材精创】3.2.2 双曲线的简单几何性质(2)-A基础练(学生版).docx
免费
2下载
河北省唐山市2022-2023学年高二期末考试数学试题(学生版).docx
河北省唐山市2022-2023学年高二期末考试数学试题(学生版).docx
免费
1下载
高中数学 选修3专题6.3 二项式定理(原卷版).docx
高中数学 选修3专题6.3 二项式定理(原卷版).docx
免费
1下载
高中数学 选修1 1.4.2 用空间向量研究距离、夹角问题(1)  -B提高练(解析版).docx
高中数学 选修1 1.4.2 用空间向量研究距离、夹角问题(1) -B提高练(解析版).docx
免费
1下载
2019-2020学年陕西省西安市铁一中学高二(上)期末数学试卷(理科).pdf
2019-2020学年陕西省西安市铁一中学高二(上)期末数学试卷(理科).pdf
免费
6下载
高中数学 选修2 4.3.2 第一课时 等比数列的前n项和(作业)(解析版)-【上好数学课】高二同步备课系列(人教A版2019选择性必修一) .docx
高中数学 选修2 4.3.2 第一课时 等比数列的前n项和(作业)(解析版)-【上好数学课】高二同步备课系列(人教A版2019选择性必修一) .docx
免费
1下载
高中数学 选修2 期末模块检测(提升卷)(解析版).docx
高中数学 选修2 期末模块检测(提升卷)(解析版).docx
免费
1下载
新高二数学暑假衔接第2部分-暑假预习-第21讲 抛物线及其标准方程(教师版)-(人教A版).docx
新高二数学暑假衔接第2部分-暑假预习-第21讲 抛物线及其标准方程(教师版)-(人教A版).docx
免费
1下载
高中数学 选修3第07章 随机变量及其分布(B卷提高卷)(解析版).doc
高中数学 选修3第07章 随机变量及其分布(B卷提高卷)(解析版).doc
免费
1下载
江苏省南京师范大学附属中学2022-2023学年高二下学期期中数学试题(教师版含解析).docx
江苏省南京师范大学附属中学2022-2023学年高二下学期期中数学试题(教师版含解析).docx
免费
2下载
高中数学 选修2 5.3.2 第一课时 函数的极值(作业)(原卷版)-【上好课】高二数学同步备课系列(人教A版2019选择性必修第二册) .docx
高中数学 选修2 5.3.2 第一课时 函数的极值(作业)(原卷版)-【上好课】高二数学同步备课系列(人教A版2019选择性必修第二册) .docx
免费
1下载
高中数学 选修36.3.1 二项式定理  -A基础练- (人教A版  选择性必修第三册)(解析版).docx
高中数学 选修36.3.1 二项式定理 -A基础练- (人教A版 选择性必修第三册)(解析版).docx
免费
1下载
高中数学 选修3第八章 章末测试(解析版) (1).docx
高中数学 选修3第八章 章末测试(解析版) (1).docx
免费
2下载
高中数学 选修2 5.1.1~5.1.2 变化率问题和导数的概念(人教A版选择性必修第二册)(原卷版).docx
高中数学 选修2 5.1.1~5.1.2 变化率问题和导数的概念(人教A版选择性必修第二册)(原卷版).docx
免费
1下载
2023高二数学同步讲义(A版选必一)2.1.1倾斜角与斜率 2022-2023学年高二数学同步精品讲义(人教A版2019选择性必修第一册)(原卷版).docx
2023高二数学同步讲义(A版选必一)2.1.1倾斜角与斜率 2022-2023学年高二数学同步精品讲义(人教A版2019选择性必修第一册)(原卷版).docx
免费
18下载
高中数学 选修1 期中押题模拟卷03(测试范围:选择性必修第一册)(原卷版).docx
高中数学 选修1 期中押题模拟卷03(测试范围:选择性必修第一册)(原卷版).docx
免费
1下载
新高二数学暑假衔接第2部分-暑假预习-第17讲 椭圆及其标准方程(教师版)-(人教A版).docx
新高二数学暑假衔接第2部分-暑假预习-第17讲 椭圆及其标准方程(教师版)-(人教A版).docx
免费
1下载
高中数学 选修3第八章 章末测试(解析版).docx
高中数学 选修3第八章 章末测试(解析版).docx
免费
1下载
我的小文库
实名认证
内容提供者

提供高质量免费文档试卷下载,如果满意请告诉您身边的人,如果不满意请告诉我们,您的意见对于我们很重要,是我们不断进步的动力

相关文档

阅读排行

确认删除?
回到顶部
客服号
  • 客服QQ点击这里给我发消息
QQ群
  • QQ群点击这里加入QQ群
提交所需资料详情,我们来帮找资料