高中数学 选修2 5.3.2 函数的极值与最大(小)值 (1) -A基础练(解析版).docx本文件免费下载 【共9页】

高中数学 选修2 5.3.2 函数的极值与最大(小)值 (1)  -A基础练(解析版).docx
高中数学 选修2 5.3.2 函数的极值与最大(小)值 (1)  -A基础练(解析版).docx
高中数学 选修2 5.3.2 函数的极值与最大(小)值 (1)  -A基础练(解析版).docx
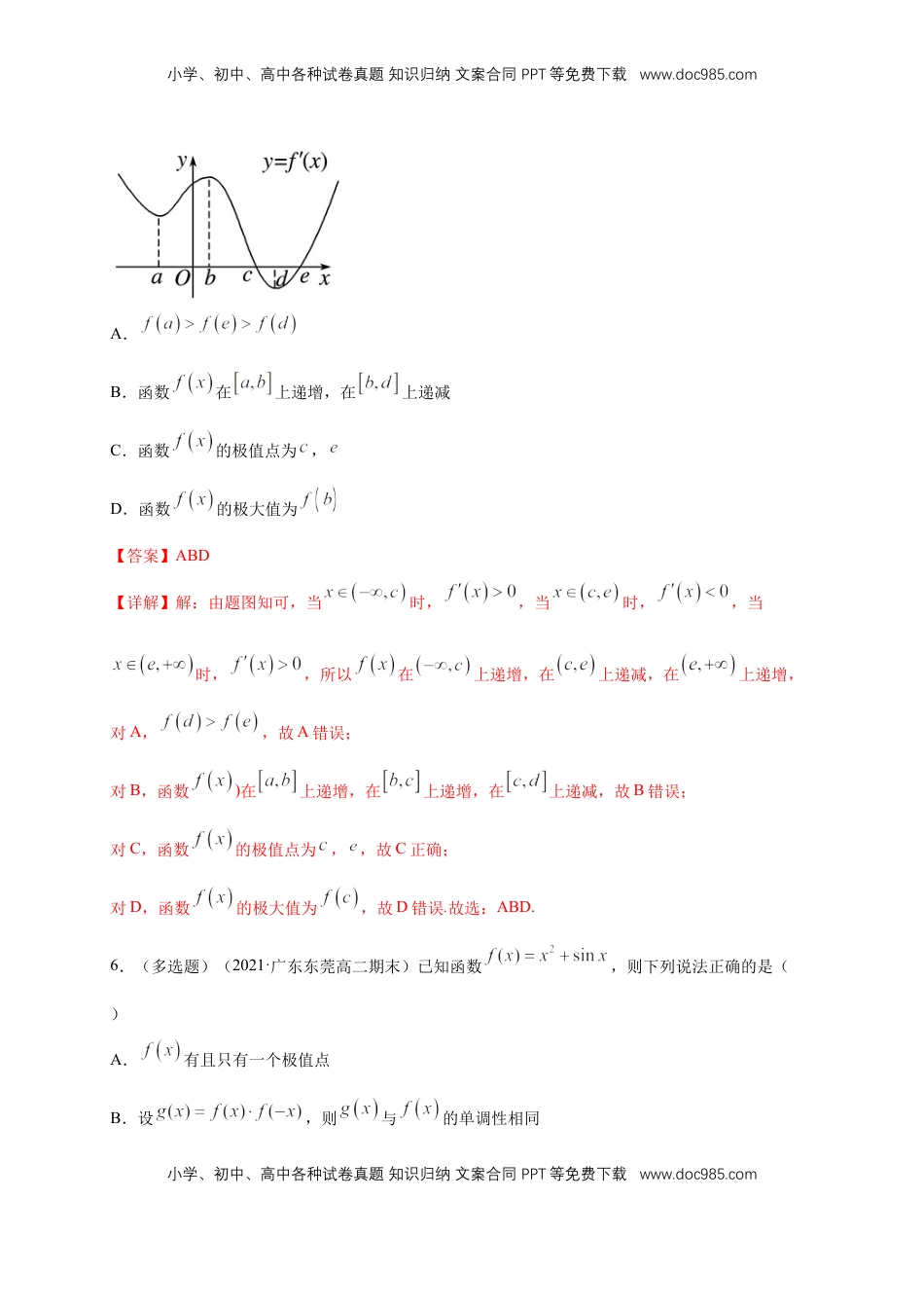
小学、初中、高中各种试卷真题知识归纳文案合同PPT等免费下载www.doc985.com小学、初中、高中各种试卷真题知识归纳文案合同PPT等免费下载www.doc985.com5.3.2函数的极值与最大(小)值(1)-A基础练一、选择题1.(2021·全国高二课时练)如图是函数y=f(x)的导数y=f'(x)的图象,则下面判断正确的是()A.在(﹣3,1)内f(x)是增函数B.在x=1时,f(x)取得极大值C.在(4,5)内f(x)是增函数D.在x=2时,f(x)取得极小值【答案】C【详解】解:根据题意,依次分析选项:对于A,在(﹣3,)上,f′(x)<0,f(x)为减函数,A错误;对于B,在(,2)上,f′(x)>0,f(x)为增函数,x=1不是f(x)的极大值点,B错误;对于C,在(4,5)上,f′(x)>0,f(x)为增函数,C正确;对于D,在(,2)上,f′(x)>0,f(x)为增函数,在(2,4)上,f′(x)<0,f(x)为减函数,则在x=2时f(x)取得极大值,D错误;故选:C.2.(2021·全国高二课时练)若函数可导,则“有实根”是“有极值”的().A.必要不充分条件B.充分不必要条件C.充要条件D.既不充分也不必要条件【答案】A小学、初中、高中各种试卷真题知识归纳文案合同PPT等免费下载www.doc985.com小学、初中、高中各种试卷真题知识归纳文案合同PPT等免费下载www.doc985.com【详解】,但在零点左侧和右侧都同时大于零或者小于零时在零点处无极值,但有极值则在极值处一定等于.所以“有实根”是“有极值”的必要不充分条件.故选:A3.(2021·山东菏泽高二期末)当函数取极小值时,的值为()A.B.C.D.【答案】B【解析】即故选B.4.(2021·福州屏东中学高二期末)若函数有小于零的极值点,则实数m的取值范围是()A.B.C.D.【答案】B【详解】由,得.因为函数有小于零的极值点,所以有小于零的实根,即有小于零的实根, ,∴,∴.故选:B5.(多选题)(2021·冷水江市第一中学高二期末)已知定义在上的函数,其导函数的大致图象如图所示,则下列叙述不正确的是()小学、初中、高中各种试卷真题知识归纳文案合同PPT等免费下载www.doc985.com小学、初中、高中各种试卷真题知识归纳文案合同PPT等免费下载www.doc985.comA.B.函数在上递增,在上递减C.函数的极值点为,D.函数的极大值为【答案】ABD【详解】解:由题图知可,当时,,当时,,当时,,所以在上递增,在上递减,在上递增,对A,,故A错误;对B,函数)在上递增,在上递增,在上递减,故B错误;对C,函数的极值点为,,故C正确;对D,函数的极大值为,故D错误.故选:ABD.6.(多选题)(2021·广东东莞高二期末)已知函数,则下列说法正确的是()A.有且只有一个极值点B.设,则与的单调性相同小学、初中、高中各种试卷真题知识归纳文案合同PPT等免费下载www.doc985.com小学、初中、高中各种试卷真题知识归纳文案合同PPT等免费下载www.doc985.comC.有且只有两个零点D.在上单调递增【答案】ACD【详解】解:由题知,,,所以在上单调递增,当时,;当时,,所以存在,使得,所以函数在上单调递减,在上单调递增,所以有且只有一个极值点,故A正确;因为,所以,所以所以,故的一个极值点为,所以与的单调性不相同,故B错误;因为有且只有一个极值点,,且,所以在和上各有一个零点,所以有且只有两个零点,故C正确;因为与在上都是单调递增,所以在上单调递增,D正确.故选:ACD.二、填空题小学、初中、高中各种试卷真题知识归纳文案合同PPT等免费下载www.doc985.com小学、初中、高中各种试卷真题知识归纳文案合同PPT等免费下载www.doc985.com7.(2021·全国高二课时练)若函数在处取得极值,则________.【答案】【详解】由题意,函数,可得,因为是函数的极值点,可得,所以,解得.8.(2021·河北正定高二期末)已知函数,当时函数的极值为,则__________.【答案】【解析】f′(x)=x2+2ax+a.由题意知f′(-1)=0,f(-1)=-,即解得所以f(x)=x3+x2+x-.所以f(2)=.9.(2021·海林市高二期末)设函数,若是的极大值点,则a取值范围为_______________.【答案】【解析】的定义域为,由,得,所以小学、初中、高中各种试卷真题知识归纳文...

1、当您付费下载文档后,您只拥有了使用权限,并不意味着购买了版权,文档只能用于自身使用,不得用于其他商业用途(如 [转卖]进行直接盈利或[编辑后售卖]进行间接盈利)。
2、本站所有内容均由合作方或网友上传,本站不对文档的完整性、权威性及其观点立场正确性做任何保证或承诺!文档内容仅供研究参考,付费前请自行鉴别。
3、如文档内容存在违规,或者侵犯商业秘密、侵犯著作权等,请点击“违规举报”。

碎片内容

与本文档类似文档
高中数学 选修1 期中测试卷02(人教A版2019)(选择性必修第一册第一章、第二章)(原卷版).doc
高中数学 选修1 期中测试卷02(人教A版2019)(选择性必修第一册第一章、第二章)(原卷版).doc
免费
1下载
高中数学 选修1 第三章 圆锥曲线的方程(B卷·能力提升练)(解析版).docx
高中数学 选修1 第三章 圆锥曲线的方程(B卷·能力提升练)(解析版).docx
免费
1下载
高中数学 选修1 【新教材精创】3.2.2 双曲线的简单几何性质(2)-A基础练(学生版).docx
高中数学 选修1 【新教材精创】3.2.2 双曲线的简单几何性质(2)-A基础练(学生版).docx
免费
2下载
河北省唐山市2022-2023学年高二期末考试数学试题(学生版).docx
河北省唐山市2022-2023学年高二期末考试数学试题(学生版).docx
免费
1下载
高中数学 选修3专题6.3 二项式定理(原卷版).docx
高中数学 选修3专题6.3 二项式定理(原卷版).docx
免费
1下载
高中数学 选修1 1.4.2 用空间向量研究距离、夹角问题(1)  -B提高练(解析版).docx
高中数学 选修1 1.4.2 用空间向量研究距离、夹角问题(1) -B提高练(解析版).docx
免费
1下载
2019-2020学年陕西省西安市铁一中学高二(上)期末数学试卷(理科).pdf
2019-2020学年陕西省西安市铁一中学高二(上)期末数学试卷(理科).pdf
免费
6下载
高中数学 选修2 4.3.2 第一课时 等比数列的前n项和(作业)(解析版)-【上好数学课】高二同步备课系列(人教A版2019选择性必修一) .docx
高中数学 选修2 4.3.2 第一课时 等比数列的前n项和(作业)(解析版)-【上好数学课】高二同步备课系列(人教A版2019选择性必修一) .docx
免费
1下载
高中数学 选修2 期末模块检测(提升卷)(解析版).docx
高中数学 选修2 期末模块检测(提升卷)(解析版).docx
免费
1下载
新高二数学暑假衔接第2部分-暑假预习-第21讲 抛物线及其标准方程(教师版)-(人教A版).docx
新高二数学暑假衔接第2部分-暑假预习-第21讲 抛物线及其标准方程(教师版)-(人教A版).docx
免费
1下载
高中数学 选修3第07章 随机变量及其分布(B卷提高卷)(解析版).doc
高中数学 选修3第07章 随机变量及其分布(B卷提高卷)(解析版).doc
免费
1下载
江苏省南京师范大学附属中学2022-2023学年高二下学期期中数学试题(教师版含解析).docx
江苏省南京师范大学附属中学2022-2023学年高二下学期期中数学试题(教师版含解析).docx
免费
2下载
高中数学 选修2 5.3.2 第一课时 函数的极值(作业)(原卷版)-【上好课】高二数学同步备课系列(人教A版2019选择性必修第二册) .docx
高中数学 选修2 5.3.2 第一课时 函数的极值(作业)(原卷版)-【上好课】高二数学同步备课系列(人教A版2019选择性必修第二册) .docx
免费
1下载
高中数学 选修36.3.1 二项式定理  -A基础练- (人教A版  选择性必修第三册)(解析版).docx
高中数学 选修36.3.1 二项式定理 -A基础练- (人教A版 选择性必修第三册)(解析版).docx
免费
1下载
高中数学 选修3第八章 章末测试(解析版) (1).docx
高中数学 选修3第八章 章末测试(解析版) (1).docx
免费
2下载
高中数学 选修2 5.1.1~5.1.2 变化率问题和导数的概念(人教A版选择性必修第二册)(原卷版).docx
高中数学 选修2 5.1.1~5.1.2 变化率问题和导数的概念(人教A版选择性必修第二册)(原卷版).docx
免费
1下载
2023高二数学同步讲义(A版选必一)2.1.1倾斜角与斜率 2022-2023学年高二数学同步精品讲义(人教A版2019选择性必修第一册)(原卷版).docx
2023高二数学同步讲义(A版选必一)2.1.1倾斜角与斜率 2022-2023学年高二数学同步精品讲义(人教A版2019选择性必修第一册)(原卷版).docx
免费
18下载
高中数学 选修1 期中押题模拟卷03(测试范围:选择性必修第一册)(原卷版).docx
高中数学 选修1 期中押题模拟卷03(测试范围:选择性必修第一册)(原卷版).docx
免费
1下载
新高二数学暑假衔接第2部分-暑假预习-第17讲 椭圆及其标准方程(教师版)-(人教A版).docx
新高二数学暑假衔接第2部分-暑假预习-第17讲 椭圆及其标准方程(教师版)-(人教A版).docx
免费
1下载
高中数学 选修3第八章 章末测试(解析版).docx
高中数学 选修3第八章 章末测试(解析版).docx
免费
1下载
我的小文库
实名认证
内容提供者

提供高质量免费文档试卷下载,如果满意请告诉您身边的人,如果不满意请告诉我们,您的意见对于我们很重要,是我们不断进步的动力

相关文档

阅读排行

确认删除?
回到顶部
客服号
  • 客服QQ点击这里给我发消息
QQ群
  • QQ群点击这里加入QQ群
提交所需资料详情,我们来帮找资料