高中数学 选修1 专题09 直线与圆、圆与圆的位置关系(解析版).doc本文件免费下载 【共17页】

高中数学 选修1 专题09 直线与圆、圆与圆的位置关系(解析版).doc
高中数学 选修1 专题09 直线与圆、圆与圆的位置关系(解析版).doc
高中数学 选修1 专题09 直线与圆、圆与圆的位置关系(解析版).doc
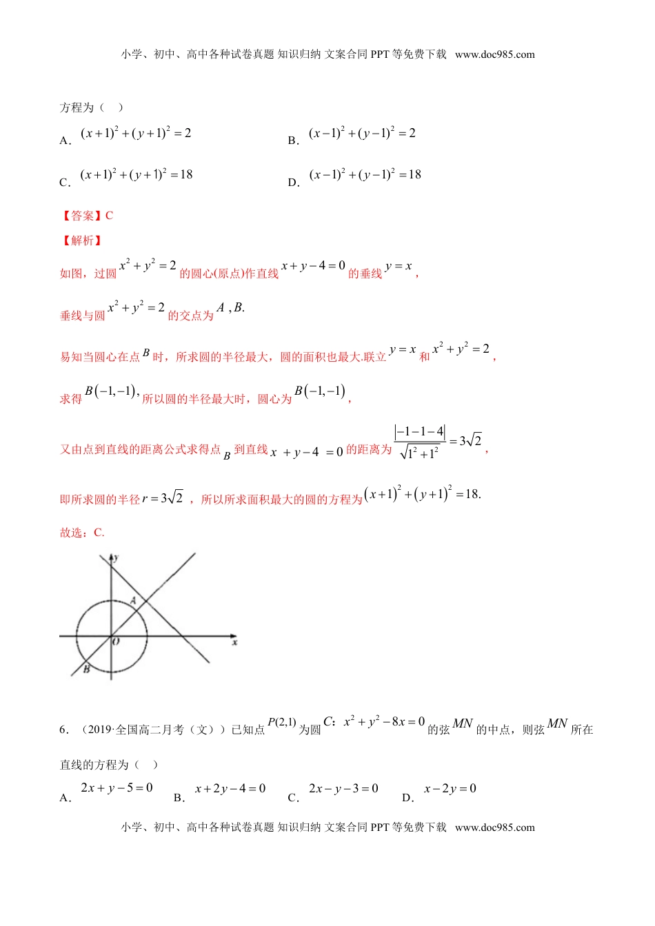
小学、初中、高中各种试卷真题知识归纳文案合同PPT等免费下载www.doc985.com专题09直线与圆、圆与圆的位置关系一、单选题1.(2020·北京高三零模)圆心为2,1且和x轴相切的圆的方程是()A.22211xyB.22211xyC.22215xyD.22215xy【答案】A【解析】圆心为2,1且和x轴相切的圆的半径为1,因此,所求圆的方程为22211xy.故选:A.2.(2019·甘南藏族自治州合作第一中学高一期末)直线3440xy被圆22(3)9xy截得的弦长为()A.22B.4C.42D.2【答案】C【解析】因为圆心为(3,0),半径为3,那么利用圆心到直线的距离公式3340415d,利用勾股定理可知弦长为2222842rd.选C3.(2020·湖南省高三一模(文))已知直线yxm与圆22230xxy交于AB、两点,且||22AB,则m()A.1或3B.C.3D.1或3小学、初中、高中各种试卷真题知识归纳文案合同PPT等免费下载www.doc985.com小学、初中、高中各种试卷真题知识归纳文案合同PPT等免费下载www.doc985.com【答案】D【解析】圆的方程可化为:2214xy,圆心是1,0,半径2r=,设圆心(1,0)到直线yxm的距离为d,|1|2md,21242m,12,1mm或3.故选:D.4.(2020·全国高三月考(文))已知圆C经过两点(0,2)A,(4,6)B,且圆心C在直线:230lxy上,则圆C的方程为()A.226160xyyB.222280xyxyC.226680xyxyD.2222560xyxy【答案】C【解析】因为线段AB的中点坐标为(2,4),直线AB的斜率为62140,所以线段AB的垂直平分线方程为4(2)yx,即6yx与直线l方程联立,得圆心坐标为(3,3).又圆的半径22(30)(32)10r,所以,圆C的方程为22(3)(3)10xy,即226680xyxy.故选:C.5.(2019·全国高二月考(文))圆心在圆222xy上,与直线40xy相切,且面积最大的圆的小学、初中、高中各种试卷真题知识归纳文案合同PPT等免费下载www.doc985.com小学、初中、高中各种试卷真题知识归纳文案合同PPT等免费下载www.doc985.com方程为()A.22(1)(1)2xyB.22(1)(1)2xyC.22()()118xy1D.22111)8()(xy【答案】C【解析】如图,过圆222xy的圆心(原点)作直线40xy的垂线yx,垂线与圆222xy的交点为,.AB易知当圆心在点B时,所求圆的半径最大,圆的面积也最大.联立yx和222xy,求得,1,1B所以圆的半径最大时,圆心为1,1B,又由点到直线的距离公式求得点B到直线40xy的距离为221143211,即所求圆的半径32r,所以所求面积最大的圆的方程为221118.xy故选:C.6.(2019·全国高二月考(文))已知点(2,1)P为圆2280Cxyx:的弦MN的中点,则弦MN所在直线的方程为()A.250xyB.240xyC.230xyD.20xy小学、初中、高中各种试卷真题知识归纳文案合同PPT等免费下载www.doc985.com小学、初中、高中各种试卷真题知识归纳文案合同PPT等免费下载www.doc985.com【答案】C【解析】圆22:80Cxyx的标准方程为22416,xy则圆心为4,0C,直线PC的斜率1024PCk=12,又PCMN,所以1PCMNkk,所以2MNk,故弦MN所在直线的方程为122yx即230xy.故选:C.7.(2020·河南省高二月考(文))已知圆22:4230Pxyxy与直线30()xmymR相交于,AB两点,且90APB,则m的值为()A.0B.4C.0或4D.0或1【答案】C【解析】P为圆224230xyxy的圆心,(2,1)P∴,圆半径22r,又90APB,圆心到直线30xmy的距离22|32|23mdm,解得0m或4,故选:C.8.(2019·甘南藏族自治州合作第一中学高一期末)点P在圆C1:x2+y28﹣x4﹣y+11=0上,点Q在圆C2:x2+y2+4x+2y+1=0上,则|PQ|的最小值是()A.5B.35C.355D.355【答案】C小学、初中、高中各种试卷真题知识归纳文案合同PPT等免费下载www.d...

1、当您付费下载文档后,您只拥有了使用权限,并不意味着购买了版权,文档只能用于自身使用,不得用于其他商业用途(如 [转卖]进行直接盈利或[编辑后售卖]进行间接盈利)。
2、本站所有内容均由合作方或网友上传,本站不对文档的完整性、权威性及其观点立场正确性做任何保证或承诺!文档内容仅供研究参考,付费前请自行鉴别。
3、如文档内容存在违规,或者侵犯商业秘密、侵犯著作权等,请点击“违规举报”。

碎片内容

与本文档类似文档
2023高二数学同步讲义(A版选必一)拓展四:直线的方程大题专项训练(34道) 2022-2023学年高二数学同步精品讲义(人教A版2019选择性必修第一册)(解析版) .docx
2023高二数学同步讲义(A版选必一)拓展四:直线的方程大题专项训练(34道) 2022-2023学年高二数学同步精品讲义(人教A版2019选择性必修第一册)(解析版) .docx
免费
5下载
新高二数学暑假衔接第2部分-暑假预习-第22讲 抛物线的简单几何性质(教师版)-(人教A版).docx
新高二数学暑假衔接第2部分-暑假预习-第22讲 抛物线的简单几何性质(教师版)-(人教A版).docx
免费
0下载
2023高二数学同步讲义(A版选必二)拓展十一:近五年导数高考真题分类汇编(原卷版).docx
2023高二数学同步讲义(A版选必二)拓展十一:近五年导数高考真题分类汇编(原卷版).docx
免费
11下载
湖北省部分重点高中2022-2023学年高二下学期4月联考数学试题(学生版).docx
湖北省部分重点高中2022-2023学年高二下学期4月联考数学试题(学生版).docx
免费
0下载
新高二数学暑假衔接第2部分-暑假预习-第05讲 用空间向量研究直线、平面的位置关系(学生版)-(人教A版).docx
新高二数学暑假衔接第2部分-暑假预习-第05讲 用空间向量研究直线、平面的位置关系(学生版)-(人教A版).docx
免费
0下载
新高二数学暑假衔接第2部分-暑假预习-第03讲 空间向量基本定理(教师版)-(人教A版).docx
新高二数学暑假衔接第2部分-暑假预习-第03讲 空间向量基本定理(教师版)-(人教A版).docx
免费
0下载
【新教材精创】2.2.3直线的一般式方程   -B提高练(解析版).docx
【新教材精创】2.2.3直线的一般式方程 -B提高练(解析版).docx
免费
0下载
新高二数学暑假衔接第2部分-暑假预习-第10讲 直线的两点式方程(学生版)-(人教A版).docx
新高二数学暑假衔接第2部分-暑假预习-第10讲 直线的两点式方程(学生版)-(人教A版).docx
免费
0下载
新高二数学暑假衔接第2部分-暑假预习-第08讲 两条直线平行与垂直的判定(教师版)-(人教A版).docx
新高二数学暑假衔接第2部分-暑假预习-第08讲 两条直线平行与垂直的判定(教师版)-(人教A版).docx
免费
0下载
辽宁省辽阳市协作校2022-2023学年高二上学期期末考试数学试题(学生版).docx
辽宁省辽阳市协作校2022-2023学年高二上学期期末考试数学试题(学生版).docx
免费
0下载
辽宁省大连市2022-2023学年高二上学期期末数学试题(学生版).docx
辽宁省大连市2022-2023学年高二上学期期末数学试题(学生版).docx
免费
0下载
新高二数学暑假衔接第3部分-测试-第2章 直线和圆的方程(综合检测)(学生版)-新高二数学暑假讲义(人教A版).docx
新高二数学暑假衔接第3部分-测试-第2章 直线和圆的方程(综合检测)(学生版)-新高二数学暑假讲义(人教A版).docx
免费
0下载
新高二数学暑假衔接第2部分-预习-第03讲 用空间向量研究直线、平面的位置关系(学生版)-新高二数学暑假讲义(人教A版).docx
新高二数学暑假衔接第2部分-预习-第03讲 用空间向量研究直线、平面的位置关系(学生版)-新高二数学暑假讲义(人教A版).docx
免费
0下载
2023高二数学同步讲义(A版选必一)拓展七:圆锥曲线方程大题专项训练(35道) 2022-2023学年高二数学同步精品讲义(人教A版2019选择性必修第一册)(解析版).docx
2023高二数学同步讲义(A版选必一)拓展七:圆锥曲线方程大题专项训练(35道) 2022-2023学年高二数学同步精品讲义(人教A版2019选择性必修第一册)(解析版).docx
免费
16下载
广东省东莞市2022-2023学年高二下学期期末数学试题(教师版含解析).docx
广东省东莞市2022-2023学年高二下学期期末数学试题(教师版含解析).docx
免费
0下载
湖南师范大学附属中学2022-2023学年高二上学期期中数学试题(学生版).docx
湖南师范大学附属中学2022-2023学年高二上学期期中数学试题(学生版).docx
免费
0下载
2023高二数学同步讲义(A版选必一)3.2.1双曲线及其标准方程 2022-2023学年高二数学同步精品讲义(人教A版2019选择性必修第一册)(解析版).docx优质
2023高二数学同步讲义(A版选必一)3.2.1双曲线及其标准方程 2022-2023学年高二数学同步精品讲义(人教A版2019选择性必修第一册)(解析版).docx
免费
28下载
2023高二数学同步讲义(A版选必一)拓展六 圆锥曲线的定点、定值、定直线问题 2022-2023学年高二数学同步精品讲义(人教A版2019选择性必修第一册)(解析版).docx
2023高二数学同步讲义(A版选必一)拓展六 圆锥曲线的定点、定值、定直线问题 2022-2023学年高二数学同步精品讲义(人教A版2019选择性必修第一册)(解析版).docx
免费
30下载
【新教材精创】基础篇(2)-2019-2020学年下学期高一数学复课开学摸底考试卷(人教A版 必修第二册)(解析版).docx
【新教材精创】基础篇(2)-2019-2020学年下学期高一数学复课开学摸底考试卷(人教A版 必修第二册)(解析版).docx
免费
0下载
湖北省荆荆襄宜四地七校2022-2023学年高二下学期期中联考数学试题(教师版含解析).docx
湖北省荆荆襄宜四地七校2022-2023学年高二下学期期中联考数学试题(教师版含解析).docx
免费
0下载
我的小文库
实名认证
内容提供者

提供高质量免费文档试卷下载,如果满意请告诉您身边的人,如果不满意请告诉我们,您的意见对于我们很重要,是我们不断进步的动力

相关文档

阅读排行

确认删除?
回到顶部
客服号
  • 客服QQ点击这里给我发消息
QQ群
  • QQ群点击这里加入QQ群
提交所需资料详情,我们来帮找资料