高中数学 选修1 3.1.1 椭圆(第一课时)(精练)(解析版).docx本文件免费下载 【共15页】

高中数学 选修1 3.1.1 椭圆(第一课时)(精练)(解析版).docx
高中数学 选修1 3.1.1 椭圆(第一课时)(精练)(解析版).docx
高中数学 选修1 3.1.1 椭圆(第一课时)(精练)(解析版).docx
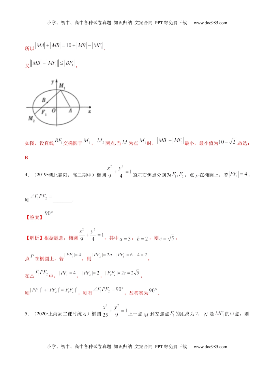
小学、初中、高中各种试卷真题知识归纳文案合同PPT等免费下载www.doc985.com小学、初中、高中各种试卷真题知识归纳文案合同PPT等免费下载www.doc985.com3.1.1椭圆【题组一椭圆的定义】1.(2020·全国高三其他(理))已知平面内两个定点和点,是动点,且直线,的斜率乘积为常数,设点的轨迹为.①存在常数,使上所有点到两点距离之和为定值;②存在常数,使上所有点到两点距离之和为定值;③不存在常数,使上所有点到两点距离差的绝对值为定值;④不存在常数,使上所有点到两点距离差的绝对值为定值.其中正确的命题是_______________.(填出所有正确命题的序号)【答案】②④【解析】设点P的坐标为:P(x,y),依题意,有:,整理,得:,对于①,点的轨迹为焦点在x轴上的椭圆,且c=4,a<0,椭圆在x轴上两顶点的距离为:2=6,焦点为:2×4=8,不符;对于②,点的轨迹为焦点在y轴上的椭圆,且c=4,椭圆方程为:,则,解得:,符合;对于③,当时,,所以,存在满足题意的实数a,③错误;小学、初中、高中各种试卷真题知识归纳文案合同PPT等免费下载www.doc985.com小学、初中、高中各种试卷真题知识归纳文案合同PPT等免费下载www.doc985.com对于④,点的轨迹为焦点在y轴上的双曲线,即,不可能成为焦点在y轴上的双曲线,所以,不存在满足题意的实数a,正确.所以,正确命题的序号是②④.2.(2018·福建高二期末(理))已知△ABC的周长为20,且顶点B(0,﹣4),C(0,4),则顶点A的轨迹方程是()A.(x≠0)B.(x≠0)C.(x≠0)D.(x≠0)【答案】B【解析】 △ABC的周长为20,顶点B(0,﹣4),C(0,4),∴BC=8,AB+AC=208﹣=12, 12>8∴点A到两个定点的距离之和等于定值,∴点A的轨迹是椭圆, a=6,c=4∴b2=20,∴椭圆的方程是故选B.3.(2020·全国高三其他(文))已知椭圆,,,点是椭圆上的一动点,则的最小值为()A.B.C.D.【答案】B【解析】由题意知为椭圆的右焦点,设左焦点为,由椭圆的定义知,小学、初中、高中各种试卷真题知识归纳文案合同PPT等免费下载www.doc985.com小学、初中、高中各种试卷真题知识归纳文案合同PPT等免费下载www.doc985.com所以.又,如图,设直线交椭圆于,两点.当为点时,最小,最小值为.故选:B4.(2019·湖北襄阳。高二期中)椭圆的左右焦点分别为,点在椭圆上,若,则________.【答案】【解析】根据题意,椭圆,其中,,则,点在椭圆上,若,则,在△中,,,,则,则有,故答案为.5.(2020·上海高二课时练习)椭圆上一点到左焦点的距离为2,是的中点,则小学、初中、高中各种试卷真题知识归纳文案合同PPT等免费下载www.doc985.com小学、初中、高中各种试卷真题知识归纳文案合同PPT等免费下载www.doc985.com等于______【答案】【解析】:根据椭圆的定义:,所以,是中点,是的中点,所以.【题组二椭圆定义的运用】1.(2019·吉林省实验高二期末(理))方程x2+ky2=2表示焦点在x轴上的椭圆的一个充分但不必要条件是()A.B.C.D.【答案】B【解析】方程x2+ky2=2可变形为:,表示焦点在x轴上的椭圆,则有:,解得.易知当时,,当时未必有,所以是的充分但不必要条件.故选B.2.(2018·天津静海一中高二期末(理))已知方程表示椭圆,则实数m的取值范围是()A.B.C.D.【答案】D小学、初中、高中各种试卷真题知识归纳文案合同PPT等免费下载www.doc985.com小学、初中、高中各种试卷真题知识归纳文案合同PPT等免费下载www.doc985.com【解析】,且,所以或.故选D.3.(2019·福建城厢.莆田一中高二期中)“”是“方程表示的曲线为椭圆”的()A.充分而不必要条件B.必要而不充分条件C.充分必要条件D.既不充分也不必要条件【答案】B【解析】若方程表示椭圆,则,解得:或或是的真子集,所以“”是“方程表示的曲线为椭圆”的必要不充分条件.故选:B4.(2020·四川射洪中学高二期中(文))若椭圆:的一个焦点坐标为,则的长轴长为()A.B.2C.D.【答案】D【解析】由于方程为椭圆,且焦点在轴上,所以,解得,所以,长轴长为.故选:D小学、初中、高中各种试卷真题知识归纳文案合同PPT等免费下载www....

1、当您付费下载文档后,您只拥有了使用权限,并不意味着购买了版权,文档只能用于自身使用,不得用于其他商业用途(如 [转卖]进行直接盈利或[编辑后售卖]进行间接盈利)。
2、本站所有内容均由合作方或网友上传,本站不对文档的完整性、权威性及其观点立场正确性做任何保证或承诺!文档内容仅供研究参考,付费前请自行鉴别。
3、如文档内容存在违规,或者侵犯商业秘密、侵犯著作权等,请点击“违规举报”。

碎片内容

与本文档类似文档
2023高二数学同步讲义(A版选必一)拓展四:直线的方程大题专项训练(34道) 2022-2023学年高二数学同步精品讲义(人教A版2019选择性必修第一册)(解析版) .docx
2023高二数学同步讲义(A版选必一)拓展四:直线的方程大题专项训练(34道) 2022-2023学年高二数学同步精品讲义(人教A版2019选择性必修第一册)(解析版) .docx
免费
5下载
新高二数学暑假衔接第2部分-暑假预习-第22讲 抛物线的简单几何性质(教师版)-(人教A版).docx
新高二数学暑假衔接第2部分-暑假预习-第22讲 抛物线的简单几何性质(教师版)-(人教A版).docx
免费
0下载
2023高二数学同步讲义(A版选必二)拓展十一:近五年导数高考真题分类汇编(原卷版).docx
2023高二数学同步讲义(A版选必二)拓展十一:近五年导数高考真题分类汇编(原卷版).docx
免费
11下载
湖北省部分重点高中2022-2023学年高二下学期4月联考数学试题(学生版).docx
湖北省部分重点高中2022-2023学年高二下学期4月联考数学试题(学生版).docx
免费
0下载
新高二数学暑假衔接第2部分-暑假预习-第05讲 用空间向量研究直线、平面的位置关系(学生版)-(人教A版).docx
新高二数学暑假衔接第2部分-暑假预习-第05讲 用空间向量研究直线、平面的位置关系(学生版)-(人教A版).docx
免费
0下载
新高二数学暑假衔接第2部分-暑假预习-第03讲 空间向量基本定理(教师版)-(人教A版).docx
新高二数学暑假衔接第2部分-暑假预习-第03讲 空间向量基本定理(教师版)-(人教A版).docx
免费
0下载
【新教材精创】2.2.3直线的一般式方程   -B提高练(解析版).docx
【新教材精创】2.2.3直线的一般式方程 -B提高练(解析版).docx
免费
0下载
新高二数学暑假衔接第2部分-暑假预习-第10讲 直线的两点式方程(学生版)-(人教A版).docx
新高二数学暑假衔接第2部分-暑假预习-第10讲 直线的两点式方程(学生版)-(人教A版).docx
免费
0下载
新高二数学暑假衔接第2部分-暑假预习-第08讲 两条直线平行与垂直的判定(教师版)-(人教A版).docx
新高二数学暑假衔接第2部分-暑假预习-第08讲 两条直线平行与垂直的判定(教师版)-(人教A版).docx
免费
0下载
辽宁省辽阳市协作校2022-2023学年高二上学期期末考试数学试题(学生版).docx
辽宁省辽阳市协作校2022-2023学年高二上学期期末考试数学试题(学生版).docx
免费
0下载
辽宁省大连市2022-2023学年高二上学期期末数学试题(学生版).docx
辽宁省大连市2022-2023学年高二上学期期末数学试题(学生版).docx
免费
0下载
新高二数学暑假衔接第3部分-测试-第2章 直线和圆的方程(综合检测)(学生版)-新高二数学暑假讲义(人教A版).docx
新高二数学暑假衔接第3部分-测试-第2章 直线和圆的方程(综合检测)(学生版)-新高二数学暑假讲义(人教A版).docx
免费
0下载
新高二数学暑假衔接第2部分-预习-第03讲 用空间向量研究直线、平面的位置关系(学生版)-新高二数学暑假讲义(人教A版).docx
新高二数学暑假衔接第2部分-预习-第03讲 用空间向量研究直线、平面的位置关系(学生版)-新高二数学暑假讲义(人教A版).docx
免费
0下载
2023高二数学同步讲义(A版选必一)拓展七:圆锥曲线方程大题专项训练(35道) 2022-2023学年高二数学同步精品讲义(人教A版2019选择性必修第一册)(解析版).docx
2023高二数学同步讲义(A版选必一)拓展七:圆锥曲线方程大题专项训练(35道) 2022-2023学年高二数学同步精品讲义(人教A版2019选择性必修第一册)(解析版).docx
免费
16下载
广东省东莞市2022-2023学年高二下学期期末数学试题(教师版含解析).docx
广东省东莞市2022-2023学年高二下学期期末数学试题(教师版含解析).docx
免费
0下载
湖南师范大学附属中学2022-2023学年高二上学期期中数学试题(学生版).docx
湖南师范大学附属中学2022-2023学年高二上学期期中数学试题(学生版).docx
免费
0下载
2023高二数学同步讲义(A版选必一)3.2.1双曲线及其标准方程 2022-2023学年高二数学同步精品讲义(人教A版2019选择性必修第一册)(解析版).docx优质
2023高二数学同步讲义(A版选必一)3.2.1双曲线及其标准方程 2022-2023学年高二数学同步精品讲义(人教A版2019选择性必修第一册)(解析版).docx
免费
28下载
2023高二数学同步讲义(A版选必一)拓展六 圆锥曲线的定点、定值、定直线问题 2022-2023学年高二数学同步精品讲义(人教A版2019选择性必修第一册)(解析版).docx
2023高二数学同步讲义(A版选必一)拓展六 圆锥曲线的定点、定值、定直线问题 2022-2023学年高二数学同步精品讲义(人教A版2019选择性必修第一册)(解析版).docx
免费
30下载
【新教材精创】基础篇(2)-2019-2020学年下学期高一数学复课开学摸底考试卷(人教A版 必修第二册)(解析版).docx
【新教材精创】基础篇(2)-2019-2020学年下学期高一数学复课开学摸底考试卷(人教A版 必修第二册)(解析版).docx
免费
0下载
湖北省荆荆襄宜四地七校2022-2023学年高二下学期期中联考数学试题(教师版含解析).docx
湖北省荆荆襄宜四地七校2022-2023学年高二下学期期中联考数学试题(教师版含解析).docx
免费
0下载
我的小文库
实名认证
内容提供者

提供高质量免费文档试卷下载,如果满意请告诉您身边的人,如果不满意请告诉我们,您的意见对于我们很重要,是我们不断进步的动力

相关文档

阅读排行

确认删除?
回到顶部
客服号
  • 客服QQ点击这里给我发消息
QQ群
  • QQ群点击这里加入QQ群
提交所需资料详情,我们来帮找资料