高中数学 选修2 专题23 导数在研究函数中的应用(1)(原卷版) (1).doc本文件免费下载 【共7页】

高中数学 选修2 专题23 导数在研究函数中的应用(1)(原卷版) (1).doc
高中数学 选修2 专题23 导数在研究函数中的应用(1)(原卷版) (1).doc
高中数学 选修2 专题23 导数在研究函数中的应用(1)(原卷版) (1).doc
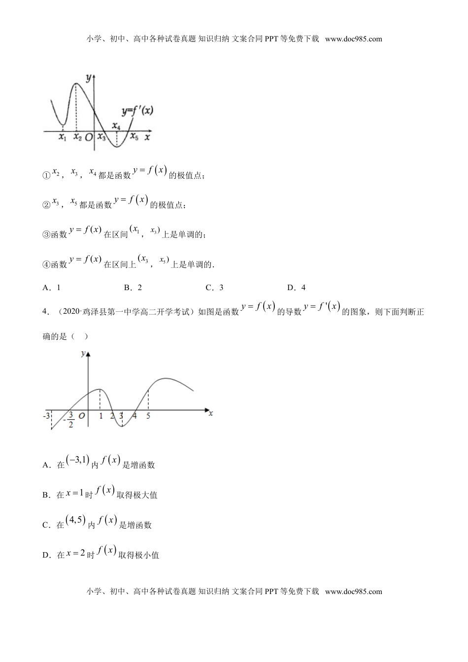
小学、初中、高中各种试卷真题知识归纳文案合同PPT等免费下载www.doc985.com专题23导数在研究函数中的应用(1)一、单选题1.(2020·江西省奉新县第一中学高二月考(理))函数fx的定义域为,ab,导函数fx在,ab内的图象如图所示.则函数fx在,ab内有几个极小值点()A.1B.2C.3D.42.(2020·江西省奉新县第一中学高二月考(理))将()yfx和()yfx的图象画在同一个直角坐标系中,不可能正确的是()A.B.C.D.3.(2020·蚌埠田家炳中学高二开学考试(理))如图是函数yfx的导函数yfx的图象,下列关于函数yfx的极值和单调性的说法中,正确的个数是()小学、初中、高中各种试卷真题知识归纳文案合同PPT等免费下载www.doc985.com小学、初中、高中各种试卷真题知识归纳文案合同PPT等免费下载www.doc985.com①2x,3x,4x都是函数yfx的极值点;②3x,5x都是函数yfx的极值点;③函数()yfx在区间1(x,3)x上是单调的;④函数()yfx在区间上3(x,5)x上是单调的.A.1B.2C.3D.44.(2020·鸡泽县第一中学高二开学考试)如图是函数yfx的导数'yfx的图象,则下面判断正确的是()A.在3,1内fx是增函数B.在1x时fx取得极大值C.在4,5内fx是增函数D.在2x时fx取得极小值小学、初中、高中各种试卷真题知识归纳文案合同PPT等免费下载www.doc985.com小学、初中、高中各种试卷真题知识归纳文案合同PPT等免费下载www.doc985.com5.(2020·黄冈中学第五师分校高二期中(理))已知函数2fxxxc在2x处取得极大值,则c的值为()A.2B.6C.4D.46.(2020·蚌埠田家炳中学高二开学考试(理))已知函数32()fxxaxbx在1x处有极值10,则(2)f等于()A.1B.2C.—2D.—17.(2020·江西省石城中学高二月考(文))已知函数sinfxxx,xR,若12log3af,13log2bf,22cf则,,abc的大小为()A.abcB.bcaC.cbaD.bac8.(2020·蚌埠田家炳中学高二开学考试(理))若函数1()lnfxxaxx在[1,)上是单调函数,则a的取值范围是()A.1(,0]4B.1,[0,)4C.1,04D.(,1]二、多选题9.(2020·江苏省扬州中学高二期中)定义在R上的可导函数yfx的导函数的图象如图所示,以下结论正确的是()小学、初中、高中各种试卷真题知识归纳文案合同PPT等免费下载www.doc985.com小学、初中、高中各种试卷真题知识归纳文案合同PPT等免费下载www.doc985.comA.-3是fx的一个极小值点;B.-2和-1都是fx的极大值点;C.fx的单调递增区间是3,;D.fx的单调递减区间是,3.10.(2020·山东省高二期中)已知函数fx的导函数()fx的图象如图所示,那么下列图象中不可能是函数fx的图象的是()A.B.C.D.小学、初中、高中各种试卷真题知识归纳文案合同PPT等免费下载www.doc985.com小学、初中、高中各种试卷真题知识归纳文案合同PPT等免费下载www.doc985.com11.(2020·海南省高三其他)已知函数sincosfxxxxx的定义域为2,2,则()A.fx为奇函数B.fx在0,上单调递增C.fx恰有4个极大值点D.fx有且仅有4个极值点12.(2020·江苏省高二期中)若函数()lnfxx在定义域上单调递增,则称函数()fx具有M性质.下列函数中所有具有M性质的函数为().A.1()fxeB.()1fxx=-C.1()xfxeD.()xfxe三、填空题13.(2020·江苏省邗江中学高一期中)函数32()35fxxx的极小值为_______________.14.(2020·蚌埠田家炳中学高二开学考试(理))已知函数yfxxR的图象如图所示,则不等式'0xfx的解集为______.15.(2020·周口市中英文学校高二月考(理))如图是yfx的导函数的图象,现有四种说法.小学、初中、高中各种试卷真题知识归纳文案合同PPT等免费下载www.doc985.com小学、初中、高中各种试卷真题知识归纳文案合同PPT等免费下载www...

1、当您付费下载文档后,您只拥有了使用权限,并不意味着购买了版权,文档只能用于自身使用,不得用于其他商业用途(如 [转卖]进行直接盈利或[编辑后售卖]进行间接盈利)。
2、本站所有内容均由合作方或网友上传,本站不对文档的完整性、权威性及其观点立场正确性做任何保证或承诺!文档内容仅供研究参考,付费前请自行鉴别。
3、如文档内容存在违规,或者侵犯商业秘密、侵犯著作权等,请点击“违规举报”。

碎片内容

与本文档类似文档
高中数学 选修1 期中测试卷02(人教A版2019)(选择性必修第一册第一章、第二章)(原卷版).doc
高中数学 选修1 期中测试卷02(人教A版2019)(选择性必修第一册第一章、第二章)(原卷版).doc
免费
1下载
高中数学 选修1 第三章 圆锥曲线的方程(B卷·能力提升练)(解析版).docx
高中数学 选修1 第三章 圆锥曲线的方程(B卷·能力提升练)(解析版).docx
免费
1下载
高中数学 选修1 【新教材精创】3.2.2 双曲线的简单几何性质(2)-A基础练(学生版).docx
高中数学 选修1 【新教材精创】3.2.2 双曲线的简单几何性质(2)-A基础练(学生版).docx
免费
2下载
河北省唐山市2022-2023学年高二期末考试数学试题(学生版).docx
河北省唐山市2022-2023学年高二期末考试数学试题(学生版).docx
免费
1下载
高中数学 选修3专题6.3 二项式定理(原卷版).docx
高中数学 选修3专题6.3 二项式定理(原卷版).docx
免费
1下载
高中数学 选修1 1.4.2 用空间向量研究距离、夹角问题(1)  -B提高练(解析版).docx
高中数学 选修1 1.4.2 用空间向量研究距离、夹角问题(1) -B提高练(解析版).docx
免费
1下载
2019-2020学年陕西省西安市铁一中学高二(上)期末数学试卷(理科).pdf
2019-2020学年陕西省西安市铁一中学高二(上)期末数学试卷(理科).pdf
免费
6下载
高中数学 选修2 4.3.2 第一课时 等比数列的前n项和(作业)(解析版)-【上好数学课】高二同步备课系列(人教A版2019选择性必修一) .docx
高中数学 选修2 4.3.2 第一课时 等比数列的前n项和(作业)(解析版)-【上好数学课】高二同步备课系列(人教A版2019选择性必修一) .docx
免费
1下载
高中数学 选修2 期末模块检测(提升卷)(解析版).docx
高中数学 选修2 期末模块检测(提升卷)(解析版).docx
免费
1下载
新高二数学暑假衔接第2部分-暑假预习-第21讲 抛物线及其标准方程(教师版)-(人教A版).docx
新高二数学暑假衔接第2部分-暑假预习-第21讲 抛物线及其标准方程(教师版)-(人教A版).docx
免费
1下载
高中数学 选修3第07章 随机变量及其分布(B卷提高卷)(解析版).doc
高中数学 选修3第07章 随机变量及其分布(B卷提高卷)(解析版).doc
免费
1下载
江苏省南京师范大学附属中学2022-2023学年高二下学期期中数学试题(教师版含解析).docx
江苏省南京师范大学附属中学2022-2023学年高二下学期期中数学试题(教师版含解析).docx
免费
2下载
高中数学 选修2 5.3.2 第一课时 函数的极值(作业)(原卷版)-【上好课】高二数学同步备课系列(人教A版2019选择性必修第二册) .docx
高中数学 选修2 5.3.2 第一课时 函数的极值(作业)(原卷版)-【上好课】高二数学同步备课系列(人教A版2019选择性必修第二册) .docx
免费
1下载
高中数学 选修36.3.1 二项式定理  -A基础练- (人教A版  选择性必修第三册)(解析版).docx
高中数学 选修36.3.1 二项式定理 -A基础练- (人教A版 选择性必修第三册)(解析版).docx
免费
1下载
高中数学 选修3第八章 章末测试(解析版) (1).docx
高中数学 选修3第八章 章末测试(解析版) (1).docx
免费
2下载
高中数学 选修2 5.1.1~5.1.2 变化率问题和导数的概念(人教A版选择性必修第二册)(原卷版).docx
高中数学 选修2 5.1.1~5.1.2 变化率问题和导数的概念(人教A版选择性必修第二册)(原卷版).docx
免费
1下载
2023高二数学同步讲义(A版选必一)2.1.1倾斜角与斜率 2022-2023学年高二数学同步精品讲义(人教A版2019选择性必修第一册)(原卷版).docx
2023高二数学同步讲义(A版选必一)2.1.1倾斜角与斜率 2022-2023学年高二数学同步精品讲义(人教A版2019选择性必修第一册)(原卷版).docx
免费
18下载
高中数学 选修1 期中押题模拟卷03(测试范围:选择性必修第一册)(原卷版).docx
高中数学 选修1 期中押题模拟卷03(测试范围:选择性必修第一册)(原卷版).docx
免费
1下载
新高二数学暑假衔接第2部分-暑假预习-第17讲 椭圆及其标准方程(教师版)-(人教A版).docx
新高二数学暑假衔接第2部分-暑假预习-第17讲 椭圆及其标准方程(教师版)-(人教A版).docx
免费
1下载
高中数学 选修3第八章 章末测试(解析版).docx
高中数学 选修3第八章 章末测试(解析版).docx
免费
1下载
我的小文库
实名认证
内容提供者

提供高质量免费文档试卷下载,如果满意请告诉您身边的人,如果不满意请告诉我们,您的意见对于我们很重要,是我们不断进步的动力

相关文档

阅读排行

确认删除?
回到顶部
客服号
  • 客服QQ点击这里给我发消息
QQ群
  • QQ群点击这里加入QQ群
提交所需资料详情,我们来帮找资料