高中数学 选修2 专题23 导数在研究函数中的应用(1)(原卷版).doc本文件免费下载 【共7页】

高中数学 选修2 专题23 导数在研究函数中的应用(1)(原卷版).doc
高中数学 选修2 专题23 导数在研究函数中的应用(1)(原卷版).doc
高中数学 选修2 专题23 导数在研究函数中的应用(1)(原卷版).doc
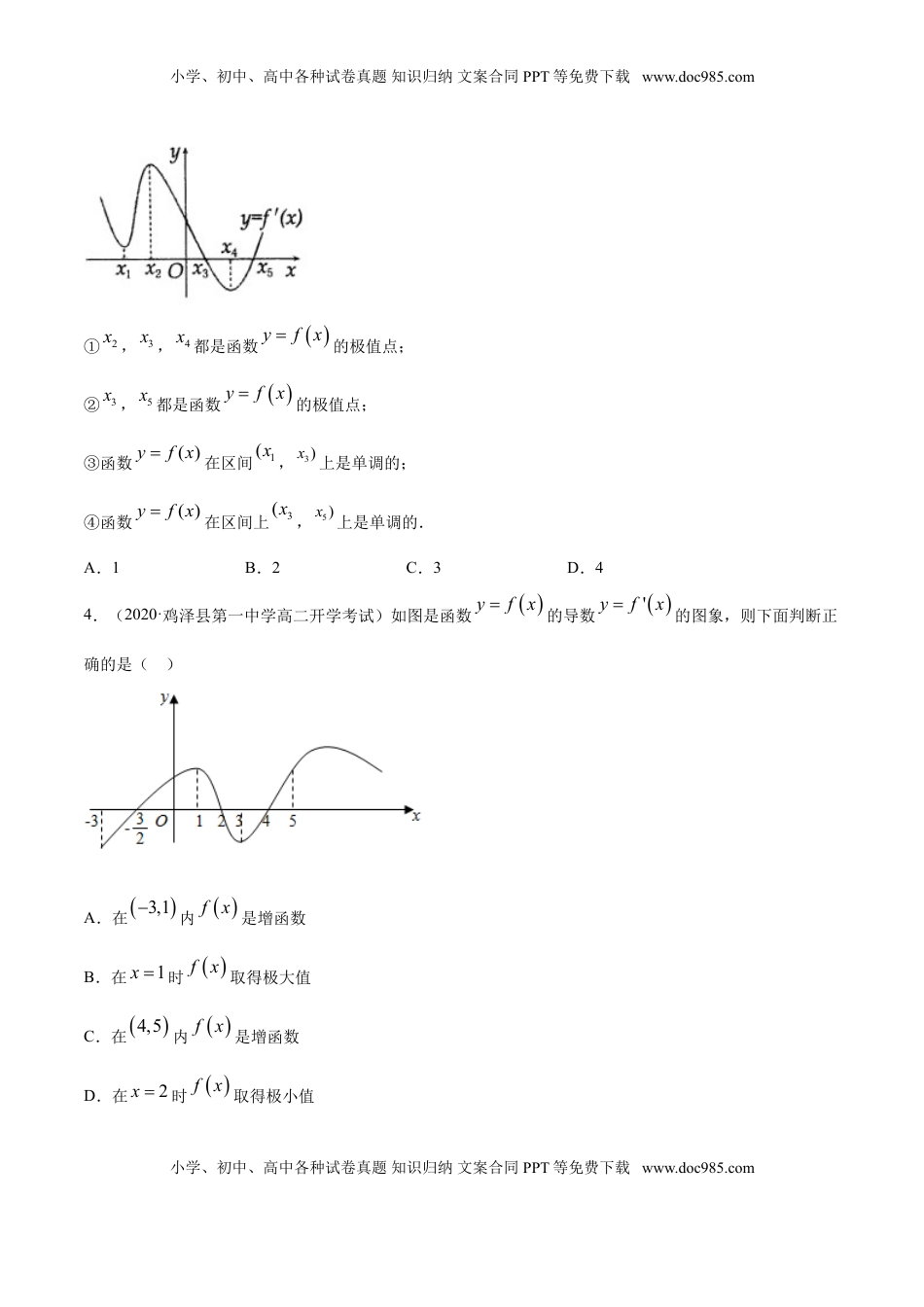
小学、初中、高中各种试卷真题知识归纳文案合同PPT等免费下载www.doc985.com专题23导数在研究函数中的应用(1)一、单选题1.(2020·江西省奉新县第一中学高二月考(理))函数fx的定义域为,ab,导函数fx在,ab内的图象如图所示.则函数fx在,ab内有几个极小值点()A.1B.2C.3D.42.(2020·江西省奉新县第一中学高二月考(理))将()yfx和()yfx的图象画在同一个直角坐标系中,不可能正确的是()A.B.C.D.3.(2020·蚌埠田家炳中学高二开学考试(理))如图是函数yfx的导函数yfx的图象,下列关于函数yfx的极值和单调性的说法中,正确的个数是()小学、初中、高中各种试卷真题知识归纳文案合同PPT等免费下载www.doc985.com小学、初中、高中各种试卷真题知识归纳文案合同PPT等免费下载www.doc985.com①2x,3x,4x都是函数yfx的极值点;②3x,5x都是函数yfx的极值点;③函数()yfx在区间1(x,3)x上是单调的;④函数()yfx在区间上3(x,5)x上是单调的.A.1B.2C.3D.44.(2020·鸡泽县第一中学高二开学考试)如图是函数yfx的导数'yfx的图象,则下面判断正确的是()A.在3,1内fx是增函数B.在1x时fx取得极大值C.在4,5内fx是增函数D.在2x时fx取得极小值小学、初中、高中各种试卷真题知识归纳文案合同PPT等免费下载www.doc985.com小学、初中、高中各种试卷真题知识归纳文案合同PPT等免费下载www.doc985.com5.(2020·黄冈中学第五师分校高二期中(理))已知函数2fxxxc在2x处取得极大值,则c的值为()A.2B.6C.4D.46.(2020·蚌埠田家炳中学高二开学考试(理))已知函数32()fxxaxbx在1x处有极值10,则(2)f等于()A.1B.2C.—2D.—17.(2020·江西省石城中学高二月考(文))已知函数sinfxxx,xR,若12log3af,13log2bf,22cf则,,abc的大小为()A.abcB.bcaC.cbaD.bac8.(2020·蚌埠田家炳中学高二开学考试(理))若函数1()lnfxxaxx在[1,)上是单调函数,则a的取值范围是()A.1(,0]4B.1,[0,)4C.1,04D.(,1]二、多选题9.(2020·江苏省扬州中学高二期中)定义在R上的可导函数yfx的导函数的图象如图所示,以下结论正确的是()小学、初中、高中各种试卷真题知识归纳文案合同PPT等免费下载www.doc985.com小学、初中、高中各种试卷真题知识归纳文案合同PPT等免费下载www.doc985.comA.-3是fx的一个极小值点;B.-2和-1都是fx的极大值点;C.fx的单调递增区间是3,;D.fx的单调递减区间是,3.10.(2020·山东省高二期中)已知函数fx的导函数()fx的图象如图所示,那么下列图象中不可能是函数fx的图象的是()A.B.C.D.小学、初中、高中各种试卷真题知识归纳文案合同PPT等免费下载www.doc985.com小学、初中、高中各种试卷真题知识归纳文案合同PPT等免费下载www.doc985.com11.(2020·海南省高三其他)已知函数sincosfxxxxx的定义域为2,2,则()A.fx为奇函数B.fx在0,上单调递增C.fx恰有4个极大值点D.fx有且仅有4个极值点12.(2020·江苏省高二期中)若函数()lnfxx在定义域上单调递增,则称函数()fx具有M性质.下列函数中所有具有M性质的函数为().A.1()fxeB.()1fxx=-C.1()xfxeD.()xfxe三、填空题13.(2020·江苏省邗江中学高一期中)函数32()35fxxx的极小值为_______________.14.(2020·蚌埠田家炳中学高二开学考试(理))已知函数yfxxR的图象如图所示,则不等式'0xfx的解集为______.15.(2020·周口市中英文学校高二月考(理))如图是yfx的导函数的图象,现有四种说法.小学、初中、高中各种试卷真题知识归纳文案合同PPT等免费下载www.doc985.com小学、初中、高中各种试卷真题知识归纳文案合同PPT等免费下载www...

1、当您付费下载文档后,您只拥有了使用权限,并不意味着购买了版权,文档只能用于自身使用,不得用于其他商业用途(如 [转卖]进行直接盈利或[编辑后售卖]进行间接盈利)。
2、本站所有内容均由合作方或网友上传,本站不对文档的完整性、权威性及其观点立场正确性做任何保证或承诺!文档内容仅供研究参考,付费前请自行鉴别。
3、如文档内容存在违规,或者侵犯商业秘密、侵犯著作权等,请点击“违规举报”。

碎片内容

与本文档类似文档
2023高二数学同步讲义(A版选必一)拓展二:空间向量基底法在立体几何问题中的应用 -2022-2023学年高二数学同步精品讲义(人教A版2019选择性必修第一册)(原卷版).docx
2023高二数学同步讲义(A版选必一)拓展二:空间向量基底法在立体几何问题中的应用 -2022-2023学年高二数学同步精品讲义(人教A版2019选择性必修第一册)(原卷版).docx
免费
21下载
【新教材精创】基础篇(2)-2019-2020学年下学期高一数学复课开学摸底考试卷(人教A版 必修第二册)(解析版).docx
【新教材精创】基础篇(2)-2019-2020学年下学期高一数学复课开学摸底考试卷(人教A版 必修第二册)(解析版).docx
免费
0下载
高中数学 选修1 【新教材精创】3.3.2 抛物线的简单几何性质(1)-A基础练(学生版).docx
高中数学 选修1 【新教材精创】3.3.2 抛物线的简单几何性质(1)-A基础练(学生版).docx
免费
0下载
江苏省南京市六校联合体2022-2023学年高二上学期12月联考数学试题(学生版).docx
江苏省南京市六校联合体2022-2023学年高二上学期12月联考数学试题(学生版).docx
免费
0下载
精品解析:山东省泰安市高一下学期期末考试数学试题(原卷版).doc
精品解析:山东省泰安市高一下学期期末考试数学试题(原卷版).doc
免费
0下载
新高二数学暑假衔接第2部分-暑假预习-第11讲 直线的一般式方程(教师版)-(人教A版).docx
新高二数学暑假衔接第2部分-暑假预习-第11讲 直线的一般式方程(教师版)-(人教A版).docx
免费
0下载
广东省人大附中深圳学校2022-2023学年高二上学期期末数学试题(学生版).docx
广东省人大附中深圳学校2022-2023学年高二上学期期末数学试题(学生版).docx
免费
0下载
福建省厦门市2022-2023学年高二上学期期末考试数学试题(教师版含解析).docx
福建省厦门市2022-2023学年高二上学期期末考试数学试题(教师版含解析).docx
免费
0下载
高中数学 选修1 2.1 直线的斜率与倾斜角(精讲)(原卷版).docx
高中数学 选修1 2.1 直线的斜率与倾斜角(精讲)(原卷版).docx
免费
0下载
高中数学 选修1 1.4.1 空间向量的应用(一)(精练)(原卷版).docx
高中数学 选修1 1.4.1 空间向量的应用(一)(精练)(原卷版).docx
免费
0下载
新高二数学暑假衔接第2部分-预习-第16讲 核心突破04 圆锥曲线中的定点、定值问题(教师版)-新高二数学暑假讲义(人教A版).docx
新高二数学暑假衔接第2部分-预习-第16讲 核心突破04 圆锥曲线中的定点、定值问题(教师版)-新高二数学暑假讲义(人教A版).docx
免费
0下载
2023高二数学同步讲义(A版选必二)拓展五:近五年数列高考真题分类汇编 (解析版).docx
2023高二数学同步讲义(A版选必二)拓展五:近五年数列高考真题分类汇编 (解析版).docx
免费
5下载
专练06(填空题-压轴,20题)-L高一数学上学期期末考点必杀黄金200题(人教版2019)(原卷版).docx
专练06(填空题-压轴,20题)-L高一数学上学期期末考点必杀黄金200题(人教版2019)(原卷版).docx
免费
0下载
2023高二数学同步讲义(A版选必二)数列章末检测卷(二)(原卷版).docx
2023高二数学同步讲义(A版选必二)数列章末检测卷(二)(原卷版).docx
免费
25下载
新高二数学暑假衔接第2部分-暑假预习-第15讲 直线与圆的位置关系(学生版)-(人教A版).docx
新高二数学暑假衔接第2部分-暑假预习-第15讲 直线与圆的位置关系(学生版)-(人教A版).docx
免费
0下载
浙江省宁波市镇海中学2022-2023学年高二上学期期中数学试题(学生版).docx
浙江省宁波市镇海中学2022-2023学年高二上学期期中数学试题(学生版).docx
免费
0下载
精品解析:高一下学期期中考试数学试题(原卷版).doc
精品解析:高一下学期期中考试数学试题(原卷版).doc
免费
0下载
精品解析:海南省临高中学度高一下学期期末考试数学试题(原卷版).doc
精品解析:海南省临高中学度高一下学期期末考试数学试题(原卷版).doc
免费
0下载
浙江名校联盟2022-2023学年高二下学期期中联考数学试题(B卷)(学生版).docx
浙江名校联盟2022-2023学年高二下学期期中联考数学试题(B卷)(学生版).docx
免费
0下载
2019-2020学年陕西省西安市高二(上)期末数学试卷(文科).pdf
2019-2020学年陕西省西安市高二(上)期末数学试卷(文科).pdf
免费
4下载
我的小文库
实名认证
内容提供者

提供高质量免费文档试卷下载,如果满意请告诉您身边的人,如果不满意请告诉我们,您的意见对于我们很重要,是我们不断进步的动力

相关文档

阅读排行

确认删除?
回到顶部
客服号
  • 客服QQ点击这里给我发消息
QQ群
  • QQ群点击这里加入QQ群
提交所需资料详情,我们来帮找资料