高中数学 选修2 期末模块检测(基础卷)(原卷版).docx本文件免费下载 【共5页】

高中数学 选修2 期末模块检测(基础卷)(原卷版).docx
高中数学 选修2 期末模块检测(基础卷)(原卷版).docx
高中数学 选修2 期末模块检测(基础卷)(原卷版).docx
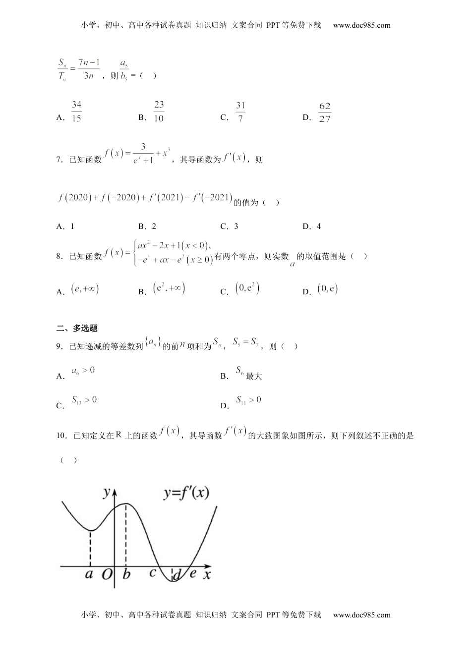
小学、初中、高中各种试卷真题知识归纳文案合同PPT等免费下载www.doc985.com小学、初中、高中各种试卷真题知识归纳文案合同PPT等免费下载www.doc985.com选择性必修第二册期末模块检测试卷基础A卷学校:___________姓名:___________班级:___________考号:___________题型:8(单选)+4(多选)+4(填空)+6(解答),满分150分,时间:120分钟一、单选题1.已知等比数列中,,,则()A.B.C.D.2.已知等差数列的前n项和为,=5,则=()A.5B.25C.35D.503.古代数学著作《九章算术》有如下问题:“今有女子善织,日自倍,五日五尺,问日织几何?”意思是:“女子善于织布,每天织的布都是前一天的2倍,已知她5天共织布5尺,问这名女子每天分别织布多少?”某数学兴趣小组依托某制造厂用织布机完全模拟上述情景,则从第一天开始,要使织布机织布的总尺数为165尺,则所需的天数为()A.7B.8C.9D.104.观察下列式子:,,,…,则可归纳出小于()A.B.C.D.5.设曲线在点处的切线方程为,则()A.0B.1C.2D.36.已知数列,都是等差数列,记,分别为,的前n项和,且小学、初中、高中各种试卷真题知识归纳文案合同PPT等免费下载www.doc985.com小学、初中、高中各种试卷真题知识归纳文案合同PPT等免费下载www.doc985.com,则=()A.B.C.D.7.已知函数,其导函数为,则的值为()A.1B.2C.3D.48.已知函数有两个零点,则实数的取值范围是()A.B.C.D.二、多选题9.已知递减的等差数列的前项和为,,则()A.B.最大C.D.10.已知定义在上的函数,其导函数的大致图象如图所示,则下列叙述不正确的是()小学、初中、高中各种试卷真题知识归纳文案合同PPT等免费下载www.doc985.com小学、初中、高中各种试卷真题知识归纳文案合同PPT等免费下载www.doc985.comA.B.函数在上递增,在上递减C.函数的极值点为,D.函数的极大值为11.在《增减算法统宗》中有这样一则故事:“三百七十八里关,初行健步不为难;次日脚痛减一半,如此六日过其关”.则下列说法正确的是()A.此人第六天只走了5里路B.此人第一天走的路程比后五天走的路程多6里C.此人第二天走的路程比全程的还多1.5里D.此人走的前三天路程之和是后三天路程之和的8倍12.已知数列的前项和为,则下列说法正确的是()A.B.为的最小值C.D.三、填空题13.已知,则等于__________.(用数字作答)14.对任意都有.数列满足:,则__________.15.已知,对任意的都有,则的取值范围为_______.小学、初中、高中各种试卷真题知识归纳文案合同PPT等免费下载www.doc985.com小学、初中、高中各种试卷真题知识归纳文案合同PPT等免费下载www.doc985.com16.古代埃及数学中有一个独特现象:除用一个单独的符号表示以外,其他分数都可写成若干个单分数和的形式.例如,可这样理解:假定有两个面包,要平均分给5个人,如果每人,不够,每人,余,再将这分2成5份,每人得,这样每人分得.形如的分数的分解:,,,按此规律,则________.四、解答题17.已知数列各项均为正数,其前项和为,且满足.(1)求数列的通项公式.(2)设,求数列的前项和.18.在①,②,③这三个条件中任选两个,补充在下面的问题中.若问题中的存在,求出的值;若不存在,请说明理由.设等差数列的前项和为,是各项均为正数的等比数列,设前项和为,若,,且.是否存在大于的正整数,使得成等比数列?(注:如果选择多个条件分别解答,按第一个解答计分.)19.已知数列中,,小学、初中、高中各种试卷真题知识归纳文案合同PPT等免费下载www.doc985.com小学、初中、高中各种试卷真题知识归纳文案合同PPT等免费下载www.doc985.com(1)证明:数列是等比数列(2)若数列满足,求数列的前项和.20.已知函数(1)求函数的单调区间;(2)若方程=0有两个不相等的实数根,求实数的取值范围.21.设函数,.(1)时,求的最小值.(2)若在恒成立,求的取值范围.22.已知.(1)若函数在处取得极值,求实数的值;(2)若,求函数的单调递增区间;(3)若,存在正实数,使得成立,求的取值范围.

1、当您付费下载文档后,您只拥有了使用权限,并不意味着购买了版权,文档只能用于自身使用,不得用于其他商业用途(如 [转卖]进行直接盈利或[编辑后售卖]进行间接盈利)。
2、本站所有内容均由合作方或网友上传,本站不对文档的完整性、权威性及其观点立场正确性做任何保证或承诺!文档内容仅供研究参考,付费前请自行鉴别。
3、如文档内容存在违规,或者侵犯商业秘密、侵犯著作权等,请点击“违规举报”。

碎片内容

与本文档类似文档
高中数学 选修1 2.5 直线与圆、圆与圆的位置关系(精练)(原卷版).docx
高中数学 选修1 2.5 直线与圆、圆与圆的位置关系(精练)(原卷版).docx
免费
0下载
高中数学 选修1 期中押题模拟卷01(测试范围:选择性必修第一册第一、二章)(解析版).docx
高中数学 选修1 期中押题模拟卷01(测试范围:选择性必修第一册第一、二章)(解析版).docx
免费
0下载
高中数学 选修1 2.3 直线的交点及距离公式(精练)(原卷版).docx
高中数学 选修1 2.3 直线的交点及距离公式(精练)(原卷版).docx
免费
0下载
2023高二数学同步讲义(A版选必一)拓展四 圆锥曲线的向量问题 2022-2023学年高二数学同步精品讲义(人教A版2019选择性必修第一册)(解析版).docx
2023高二数学同步讲义(A版选必一)拓展四 圆锥曲线的向量问题 2022-2023学年高二数学同步精品讲义(人教A版2019选择性必修第一册)(解析版).docx
免费
11下载
山东省德州市2022-2023学年高二上学期期末数学试题(学生版).docx
山东省德州市2022-2023学年高二上学期期末数学试题(学生版).docx
免费
0下载
上海市控江中学2020学年度第一学期期中考试高二数学试题.pdf
上海市控江中学2020学年度第一学期期中考试高二数学试题.pdf
免费
19下载
高中数学 选修1 1.2 空间向量的基本定理(精讲)(解析版).docx
高中数学 选修1 1.2 空间向量的基本定理(精讲)(解析版).docx
免费
0下载
高中数学 选修2 4.4 数学归纳法(基础练)-高二数学十分钟同步课堂专练(人教A版选择性必修第二册).docx
高中数学 选修2 4.4 数学归纳法(基础练)-高二数学十分钟同步课堂专练(人教A版选择性必修第二册).docx
免费
0下载
2023高二数学同步讲义(A版选必一)拓展七:圆锥曲线方程大题专项训练(35道) 2022-2023学年高二数学同步精品讲义(人教A版2019选择性必修第一册)(原卷版).docx
2023高二数学同步讲义(A版选必一)拓展七:圆锥曲线方程大题专项训练(35道) 2022-2023学年高二数学同步精品讲义(人教A版2019选择性必修第一册)(原卷版).docx
免费
11下载
浙江省温州十校联合体2022-2023学年高二下学期期中联考数学试题(学生版).docx
浙江省温州十校联合体2022-2023学年高二下学期期中联考数学试题(学生版).docx
免费
0下载
专题10 一元二次函数、方程和不等式(真题训练)-高一数学单元复习(人教A版2019必修第一册).docx
专题10 一元二次函数、方程和不等式(真题训练)-高一数学单元复习(人教A版2019必修第一册).docx
免费
0下载
高中数学 选修1 第二章 直线和圆的方程(B卷·能力提升练)(解析版).docx
高中数学 选修1 第二章 直线和圆的方程(B卷·能力提升练)(解析版).docx
免费
0下载
河北省唐山市2022-2023学年高二上学期期末数学试题(教师版含解析).docx
河北省唐山市2022-2023学年高二上学期期末数学试题(教师版含解析).docx
免费
0下载
高中数学 选修2 专题20 数学归纳法(原卷版).doc
高中数学 选修2 专题20 数学归纳法(原卷版).doc
免费
0下载
新高二数学暑假衔接第3部分-专题拓展04:圆锥曲线的中点弦问题(教师版)-(人教A版).docx
新高二数学暑假衔接第3部分-专题拓展04:圆锥曲线的中点弦问题(教师版)-(人教A版).docx
免费
3下载
2023高二数学同步讲义(A版选必二)拓展一:数列递推与通项公式归类 (原卷版).docx
2023高二数学同步讲义(A版选必二)拓展一:数列递推与通项公式归类 (原卷版).docx
免费
20下载
2023高二数学同步讲义(A版选必三)8.2 一元线性回归模型及其应用 (原卷版).docx
2023高二数学同步讲义(A版选必三)8.2 一元线性回归模型及其应用 (原卷版).docx
免费
7下载
精品解析:山东省烟台市第二中学高一下学期期末考试数学试题(原卷版).doc
精品解析:山东省烟台市第二中学高一下学期期末考试数学试题(原卷版).doc
免费
0下载
新高二数学暑假衔接第2部分-预习-第01讲 空间向量及其运算(学生版)-新高二数学暑假讲义(人教A版).docx
新高二数学暑假衔接第2部分-预习-第01讲 空间向量及其运算(学生版)-新高二数学暑假讲义(人教A版).docx
免费
0下载
高中数学 选修2 专题4.3  等比数列(解析版)-高二数学同步培优专练(人教A版2019选择性必修第二册).docx
高中数学 选修2 专题4.3 等比数列(解析版)-高二数学同步培优专练(人教A版2019选择性必修第二册).docx
免费
0下载
我的小文库
实名认证
内容提供者

提供高质量免费文档试卷下载,如果满意请告诉您身边的人,如果不满意请告诉我们,您的意见对于我们很重要,是我们不断进步的动力

相关文档

阅读排行

确认删除?
回到顶部
客服号
  • 客服QQ点击这里给我发消息
QQ群
  • QQ群点击这里加入QQ群
提交所需资料详情,我们来帮找资料