2025年新高考数学复习资料提优点8 数列中的放缩问题.pptx本文件免费下载 【共35页】

2025年新高考数学复习资料提优点8 数列中的放缩问题.pptx
2025年新高考数学复习资料提优点8 数列中的放缩问题.pptx
2025年新高考数学复习资料提优点8 数列中的放缩问题.pptx
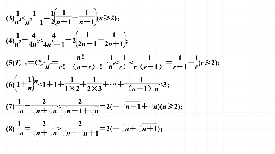
板块三数列提优点8数列中的放缩问题知识拓展1.数列放缩是高考重点考查的内容之一,数列与不等式结合试题将稳定在中等偏难的程度,其核心技能是放缩技巧的应用.2.通项放缩常见结论(1)1n2>1n(n+1)=1n-1n+1;(2)1n2<1n2-n=1n-1-1n(n≥2);(3)1n2<1n2-1=121n-1-1n+1(n≥2);(4)1n2=44n2<44n2-1=212n-1-12n+1;(5)Tr+1=Crn·1nr=n!r!(n-r)!·1nr<1r!<1r(r-1)=1r-1-1r(r≥2);(6)1+1nn<1+1+11×2+12×3+…+1(n-1)n<3;(7)1n=2n+n<2n-1+n=2(-n-1+n)(n≥2);(8)1n=2n+n>2n+n+1=2(-n+n+1);(9)1n=2n+n<2n-12+n+12=222n-1+2n+1=2(-2n-1+2n+1);(10)2n(2n-1)2=2n(2n-1)(2n-1)<2n(2n-1)(2n-2)=2n-1(2n-1)(2n-1-1)=12n-1-1-12n-1(n≥2);(11)1n3=1n·n2<1(n-1)n(n+1)=n+1-n-1(n-1)n(n+1)·1n+1-n-1=1(n-1)n-1n(n+1)·1n+1-n-1=1n-1-1n+1·n+1+n-12n<21n-1-1n+1(n≥2);(12)1n3=2n2·n+n·n2<2nn-1+(n-1)n=2(n-1)n(n+n-1)=2(n-n-1)(n-1)n=2n-1-2n(n≥2);(13)12n-1=1(1+1)n-1<1C0n+C1n+C2n-1=2n(n+1)=2n-2n+1;(14)12n-1<2n-1(2n-1-1)(2n-1)=12n-1-1-12n-1(n≥2).精准强化练类型一先求和再放缩证明不等式类型二先放缩通项再求和证明不等式类型三通项放缩与求值类型突破类型一先求和再放缩证明不等式对于数列和的不等式,若和易求,一般先求和,再放缩证明.(2024·沈阳模拟)已知数列{an}满足a1+2a2+…+nan=(n-1)·2n+1+2.(1)求{an}的通项公式;由题意可知,当n=1时,a1=2;当n≥2时,由a1+2a2+…+nan=(n-1)·2n+1+2得,a1+2a2+…+(n-1)an-1=(n-2)·2n+2,两式作差可得,nan=(n-1)·2n+1-(n-2)·2n=n·2n,∴an=2n,a1=2也适合该式,故an=2n.例1(2)设bn=1an+1a2n,证明b1+b2+…+bn<43.由题意知bn=1an+1a2n=12n+14n,故b1+b2+…+bn=121-12n1-12+141-14n1-14=1-12n+13-13×14n=43-12n+13×4n,由于n∈N*,则12n+13×4n>0,故43-12n+13×4n<43,即b1+b2+…+bn<43.此类不等式一般另一端为常数,求和以后常利用去项放缩或利用函数的单调性放缩.规律方法训练1(2024·鹰潭模拟)设Sn为数列{an}的前n项和,已知Snn(n+1)是首项为12、公差为13的等差数列.(1)求{an}的通项公式;因为Snn(n+1)是首项为12、公差为13的等差数列,故Snn(n+1)=12+13(n-1)=n3+16,即Sn=n3+16n(n+1)=n(2n+1)(n+1)6,当n≥2时,Sn-1=n(2n-1)(n-1)6,故Sn-Sn-1=an=n(2n+1)(n+1)6-n(2n-1)(n-1)6=n(2n2+3n+1-2n2+3n-1)6=n2,当n=1时,a1=S1=3×26=1,符合上式,故an=n2.(2)令bn=(2n-1)anSn,Tn为数列{bn}的前n项积,证明:Tn≤6n-1.由an=n2,Sn=n(2n+1)(n+1)6,故bn=(2n-1)anSn=6(2n-1)n2n(2n+1)(n+1)=6(2n-1)n(2n+1)(n+1),则Tn=b1b2…bn=6×1×13×2·6×3×25×3·6×5×37×4·…·6(2n-1)n(2n+1)(n+1)=6n(2n+1)(n+1),因为(2n+1)(n+1)≥3×2=6,故Tn≤6n6=6n-1.类型二先放缩通项再求和证明不等式若数列和的不等式不易求和,一般先适当放缩通项,然后累加求和.(2024·丽水调研)设数列{an}的前n项和为Sn,a1=1,2Sn=n2+n(n∈N*).(1)求数列{an}的通项公式;因为2Sn=n2+n,①当n≥2时,2Sn-1=(n-1)2+n-1,②所以①-②得到2an=n2+n-(n-1)2-(n-1)=2n,即an=n,又a1=1,满足an=n,所以an=n.例2(2)设数列{bn}的前n项和为Tn,且bn=1an+an+1,求T99;因为bn=1an+an+1=1n+n+1=n+1-n,所以T99=b1+b2+…+b99=2-1+3-2+…+100-99=100-1=9.(3)证明:...

1、当您付费下载文档后,您只拥有了使用权限,并不意味着购买了版权,文档只能用于自身使用,不得用于其他商业用途(如 [转卖]进行直接盈利或[编辑后售卖]进行间接盈利)。
2、本站所有内容均由合作方或网友上传,本站不对文档的完整性、权威性及其观点立场正确性做任何保证或承诺!文档内容仅供研究参考,付费前请自行鉴别。
3、如文档内容存在违规,或者侵犯商业秘密、侵犯著作权等,请点击“违规举报”。

碎片内容

与本文档类似文档
2024年新高考数学复习资料专题5  空间向量与立体几何(原卷版)-.docx
2024年新高考数学复习资料专题5 空间向量与立体几何(原卷版)-.docx
免费
0下载
2025年新高考数学复习资料专题08 数列求和(奇偶项讨论求和)(典型题型归类训练)(原卷版).docx
2025年新高考数学复习资料专题08 数列求和(奇偶项讨论求和)(典型题型归类训练)(原卷版).docx
免费
0下载
2011年高考数学试卷(理)(四川)(空白卷).pdf
2011年高考数学试卷(理)(四川)(空白卷).pdf
免费
0下载
高中2022·微专题·小练习·数学·理科【统考版】专练28.docx
高中2022·微专题·小练习·数学·理科【统考版】专练28.docx
免费
0下载
2025年新高考数学复习资料专题03 等式性质与不等式性质(思维导图+知识清单+核心素养分析+方法归纳).docx
2025年新高考数学复习资料专题03 等式性质与不等式性质(思维导图+知识清单+核心素养分析+方法归纳).docx
免费
0下载
2023年高考数学试卷(天津)(空白卷).docx
2023年高考数学试卷(天津)(空白卷).docx
免费
0下载
2016年四川省高考数学试卷(理科).doc
2016年四川省高考数学试卷(理科).doc
免费
1下载
高中数学状元笔记 08圆锥曲线解题方法.Removed-Output(1).pdf
高中数学状元笔记 08圆锥曲线解题方法.Removed-Output(1).pdf
免费
9下载
精品解析:上海市静安区2024届高三下学期期中教学质量调研数学试卷(原卷版).docx
精品解析:上海市静安区2024届高三下学期期中教学质量调研数学试卷(原卷版).docx
免费
0下载
2005年青海高考理科数学真题及答案.doc
2005年青海高考理科数学真题及答案.doc
免费
2下载
2022年高考数学试卷(文)(全国乙卷)(空白卷) (12).docx
2022年高考数学试卷(文)(全国乙卷)(空白卷) (12).docx
免费
0下载
2024年高考数学一轮复习(新高考版) 第6章 §6.4 数列中的构造问题[培优课].pptx
2024年高考数学一轮复习(新高考版) 第6章 §6.4 数列中的构造问题[培优课].pptx
免费
0下载
2024年新高考数学复习资料专题01 集合与常用逻辑用语-(原卷版).docx
2024年新高考数学复习资料专题01 集合与常用逻辑用语-(原卷版).docx
免费
0下载
高中数学·选择性必修·第三册·(RJ-B版)课时作业(word)  课时作业(四).docx
高中数学·选择性必修·第三册·(RJ-B版)课时作业(word) 课时作业(四).docx
免费
19下载
2024年新高考数学复习资料大题培优04立体几何归类( 7大题型)(解析版).docx
2024年新高考数学复习资料大题培优04立体几何归类( 7大题型)(解析版).docx
免费
0下载
2023年高考全国乙卷数学(理)真题(原卷版)word版.docx
2023年高考全国乙卷数学(理)真题(原卷版)word版.docx
免费
19下载
2012年高考数学试卷(文)(上海)(空白卷).doc
2012年高考数学试卷(文)(上海)(空白卷).doc
免费
0下载
高中2022·微专题·小练习·数学·理科【统考版】专练41.docx
高中2022·微专题·小练习·数学·理科【统考版】专练41.docx
免费
0下载
2022年高考数学试卷(文)(全国乙卷)(解析卷) (13).docx
2022年高考数学试卷(文)(全国乙卷)(解析卷) (13).docx
免费
0下载
2021年高考数学试卷(新高考Ⅰ卷)(空白卷) (4).pdf
2021年高考数学试卷(新高考Ⅰ卷)(空白卷) (4).pdf
免费
0下载
我的小文库
实名认证
内容提供者

提供高质量免费文档试卷下载,如果满意请告诉您身边的人,如果不满意请告诉我们,您的意见对于我们很重要,是我们不断进步的动力

阅读排行

确认删除?
回到顶部
客服号
  • 客服QQ点击这里给我发消息
QQ群
  • QQ群点击这里加入QQ群
提交所需资料详情,我们来帮找资料