2025年新高考数学复习资料专题突破卷18 圆锥曲线中焦半径和焦点弦公式的应用(解析版).docx本文件免费下载 【共62页】

2025年新高考数学复习资料专题突破卷18 圆锥曲线中焦半径和焦点弦公式的应用(解析版).docx
2025年新高考数学复习资料专题突破卷18 圆锥曲线中焦半径和焦点弦公式的应用(解析版).docx
2025年新高考数学复习资料专题突破卷18 圆锥曲线中焦半径和焦点弦公式的应用(解析版).docx
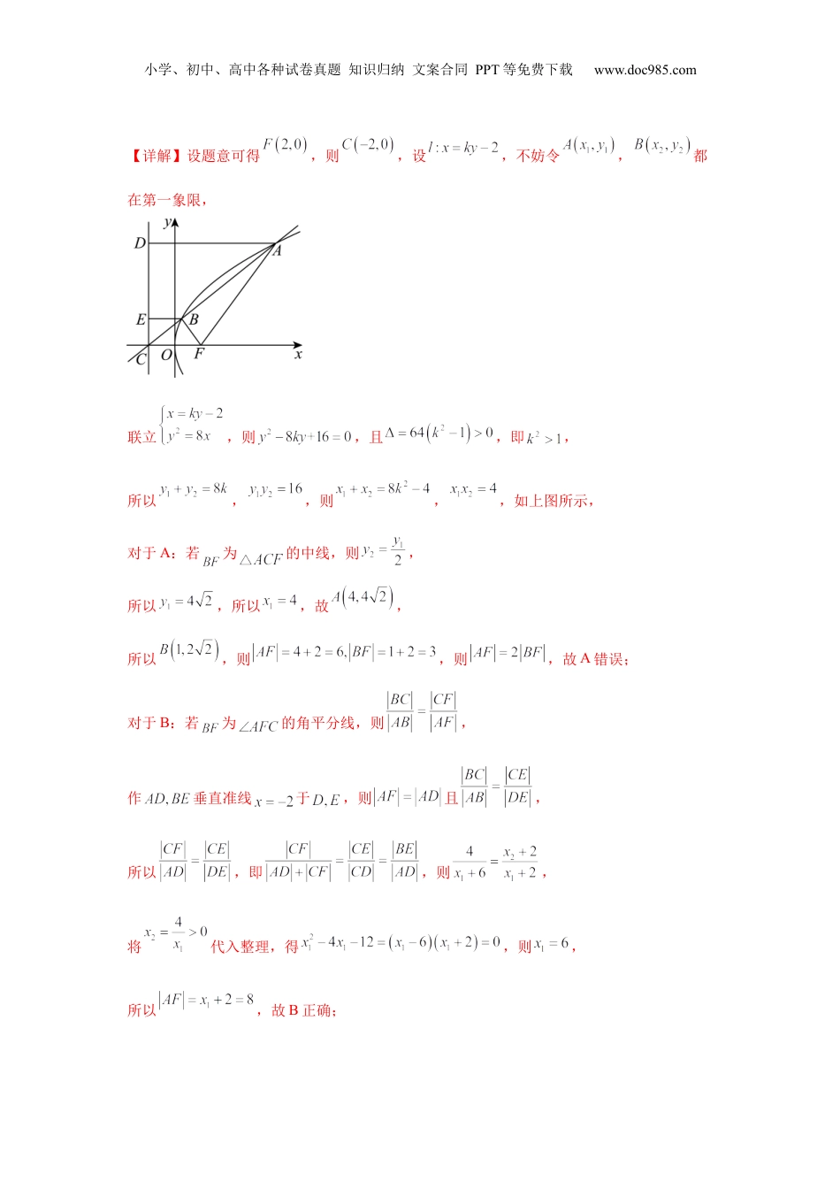
小学、初中、高中各种试卷真题知识归纳文案合同PPT等免费下载www.doc985.com专题突破卷18圆锥曲线中焦半径和焦点弦公式的应用题型一:圆锥曲线中焦半径的应用1.已知抛物线的焦点为,点在抛物线上,且,过点作轴于点,则()A.B.抛物线的准线为直线C.D.的面积为【答案】AD【分析】根据焦半径公式求得判断A,进而利用抛物线方程求解准线及点的坐标判断BC,利用三角形面积公式求解面积判断D.【详解】抛物线的准线为直线,设点在第一象限,小学、初中、高中各种试卷真题知识归纳文案合同PPT等免费下载www.doc985.com过点向准线作垂线垂足为,由抛物线的定义可知,解得,则抛物线的方程为,准线为直线,故A正确,B错误;将代入抛物线方程,解得,故C错误;焦点,点,即,所以,故D正确;故选:AD.2.已知抛物线的焦点为,点与点关于原点对称,过点的直线与抛物线交于两点(点和点在点的两侧),则()A.若为的中线,则B.若为的角平分线,则C.存在直线,使得D.对于任意直线,都有【答案】BD【分析】首先设直线的方程,并联立抛物线,根据韦达定理,再根据各项描述,抛物线的定义,即可判断选项.小学、初中、高中各种试卷真题知识归纳文案合同PPT等免费下载www.doc985.com【详解】设题意可得,则,设,不妨令,都在第一象限,联立,则,且,即,所以,,则,,如上图所示,对于A:若为的中线,则,所以,所以,故,所以,则,则,故A错误;对于B:若为的角平分线,则,作垂直准线于,则且,所以,即,则,将代入整理,得,则,所以,故B正确;小学、初中、高中各种试卷真题知识归纳文案合同PPT等免费下载www.doc985.com对于C:若,即,即为等腰直角三角形,此时,即,所以,所以,所以,所以,则此时为同一点,不合题设,故C错误;对于D:,而,结合,可得,即恒成立,故D正确.故选:BD3.已知抛物线Γ:的焦点为F,P为Γ上一动点.过F且斜率大于0的直线与Γ交于不同的两点A,B,且满足,.则下列说法错误的是()A.直线AB的倾斜角大于60°B.若,则C.点P可能在第一象限D.直线PB的横截距不可能是【答案】AC【分析】设直线方程为,,代入找出与的关系式,判断AC;根据抛物线的几何性质判断B;最后取,假设直线与抛物线Γ交于点,计算判断D.【详解】抛物线Γ:的焦点为F(1,0),小学、初中、高中各种试卷真题知识归纳文案合同PPT等免费下载www.doc985.com直线过F且斜率大于0,设直线方程为,,联立,化简得,由韦达定理,设,,,代入韦达定理得,又点不在直线上,则,即只有,当,即时,有实数解,且存在点,又,则点在第四象限,故C错误.设直线的斜率为,则,直线的倾斜角小于等于,故A错误.若,则,,代入,解得,小学、初中、高中各种试卷真题知识归纳文案合同PPT等免费下载www.doc985.com,所以,即,故B正确.取,则直线的直线方程为,联立,化简得,方程其中一个根为点纵坐标,则另一根为,若另一根为点纵坐标,则,此时,代入方程无解,所以与无法垂直,则不存在这样过的直线,即直线的横截距不可能是,故D正确.故选:AC.4.抛物线的焦点为,为其上一动点,当运动到时,,直线与抛物线相交于两点,下列结论正确的是()A.抛物线的方程为:B.抛物线的准线方程为:C.当直线过焦点时,以AF为直径的圆与轴相切D.【答案】BC【分析】根据焦半径即可求解A,根据准线方程即可求解B,求解圆心和半径即可判断小学、初中、高中各种试卷真题知识归纳文案合同PPT等免费下载www.doc985.comC,设出直线方程,与抛物线方程联立,韦达定理,利用焦半径公式求出,即可判断D.【详解】对于A:当运动到时,,故,即抛物线为,故A错误;对于B:由,故抛物线的准线方程为:,故B正确;对于C:当直线过焦点时,设为,则,故以为直径的圆的半径为,又F(0,1),故以为直径的圆的圆心坐标为,圆心到轴的距离与该圆半径相等,即该圆与轴相切,故C正确;对于D:由题意直线斜率存在,设的方程为,联立,整理得,,即,所以,所以,,所以,不能确定什么时候最小,则D错误.故选:BC小学、初中、高中各种试卷真题知识归纳文案合同PPT等免费下载www.doc985.com5.已知为坐标原点,抛物线的焦点为,经过...

1、当您付费下载文档后,您只拥有了使用权限,并不意味着购买了版权,文档只能用于自身使用,不得用于其他商业用途(如 [转卖]进行直接盈利或[编辑后售卖]进行间接盈利)。
2、本站所有内容均由合作方或网友上传,本站不对文档的完整性、权威性及其观点立场正确性做任何保证或承诺!文档内容仅供研究参考,付费前请自行鉴别。
3、如文档内容存在违规,或者侵犯商业秘密、侵犯著作权等,请点击“违规举报”。

碎片内容

与本文档类似文档
2021年高考数学试卷(理)(全国乙卷)(新课标Ⅰ)(解析卷) (2).docx
2021年高考数学试卷(理)(全国乙卷)(新课标Ⅰ)(解析卷) (2).docx
免费
0下载
2024年新高考数学复习资料重难点突破05 含参导数的分类讨论(原卷版).docx
2024年新高考数学复习资料重难点突破05 含参导数的分类讨论(原卷版).docx
免费
0下载
2024年新高考数学复习资料押北京卷 第7题 直线和圆(解析版).docx
2024年新高考数学复习资料押北京卷 第7题 直线和圆(解析版).docx
免费
0下载
2024版《大考卷》全程考评特训卷·数学·理科【统考版】单元检测 (十二).docx
2024版《大考卷》全程考评特训卷·数学·理科【统考版】单元检测 (十二).docx
免费
6下载
2024年新高考数学复习资料重难点突破04 立体几何表面积与体积(解析版).docx
2024年新高考数学复习资料重难点突破04 立体几何表面积与体积(解析版).docx
免费
0下载
2025年新高考数学复习资料专题突破卷18 圆锥曲线中焦半径和焦点弦公式的应用(解析版).docx
2025年新高考数学复习资料专题突破卷18 圆锥曲线中焦半径和焦点弦公式的应用(解析版).docx
免费
0下载
专题02 等式与不等式(15区真题速递)(解析版).docx
专题02 等式与不等式(15区真题速递)(解析版).docx
免费
0下载
2024年新高考数学复习资料第04讲 指数与指数函数(练习)(原卷版).docx
2024年新高考数学复习资料第04讲 指数与指数函数(练习)(原卷版).docx
免费
0下载
2024年新高考数学复习资料第三章 函数及其应用章末检测【一轮复习讲义】2024年高考数学高频考点题型归纳与方法总结(新高考通用)参考答案.docx
2024年新高考数学复习资料第三章 函数及其应用章末检测【一轮复习讲义】2024年高考数学高频考点题型归纳与方法总结(新高考通用)参考答案.docx
免费
0下载
2013年上海市高考数学试卷(理科).doc
2013年上海市高考数学试卷(理科).doc
免费
1下载
2022·微专题·小练习·数学·理科【统考版】专练30.docx
2022·微专题·小练习·数学·理科【统考版】专练30.docx
免费
1下载
2012年高考数学试卷(理)(湖北)(空白卷).doc
2012年高考数学试卷(理)(湖北)(空白卷).doc
免费
0下载
2025年新高考数学复习资料专题突破卷19 椭圆、双曲线中的焦点三角形问题(解析版).docx
2025年新高考数学复习资料专题突破卷19 椭圆、双曲线中的焦点三角形问题(解析版).docx
免费
1下载
2025年新高考数学复习资料2025届高中数学一轮复习练习:第三章 限时跟踪检测(十) 幂函数与指、对数式的运算(含解析).docx
2025年新高考数学复习资料2025届高中数学一轮复习练习:第三章 限时跟踪检测(十) 幂函数与指、对数式的运算(含解析).docx
免费
0下载
2024年新高考数学复习资料专题3.1 导数的概念及其几何意义与运算【八大题型】(举一反三)(新高考专用)(解析版).docx
2024年新高考数学复习资料专题3.1 导数的概念及其几何意义与运算【八大题型】(举一反三)(新高考专用)(解析版).docx
免费
0下载
高中2022·微专题·小练习·数学·文科【统考版】专练16.docx
高中2022·微专题·小练习·数学·文科【统考版】专练16.docx
免费
0下载
2011年高考数学试卷(文)(新课标)(空白卷) (8).pdf
2011年高考数学试卷(文)(新课标)(空白卷) (8).pdf
免费
0下载
2013年高考数学试卷(理)(新课标Ⅱ)(解析卷) (11).pdf
2013年高考数学试卷(理)(新课标Ⅱ)(解析卷) (11).pdf
免费
0下载
2024年新高考数学复习资料热点2-1 函数的单调性、奇偶性、周期性与对称性(8题型+满分技巧+限时检测)(原卷版).docx
2024年新高考数学复习资料热点2-1 函数的单调性、奇偶性、周期性与对称性(8题型+满分技巧+限时检测)(原卷版).docx
免费
0下载
1997年高考数学真题(理科)(安徽自主命题).doc
1997年高考数学真题(理科)(安徽自主命题).doc
免费
29下载
我的小文库
实名认证
内容提供者

提供高质量免费文档试卷下载,如果满意请告诉您身边的人,如果不满意请告诉我们,您的意见对于我们很重要,是我们不断进步的动力

阅读排行

确认删除?
回到顶部
客服号
  • 客服QQ点击这里给我发消息
QQ群
  • QQ群点击这里加入QQ群
提交所需资料详情,我们来帮找资料