2024年新高考数学复习资料专题04 求数列通项公式(解析版).docx本文件免费下载 【共20页】

2024年新高考数学复习资料专题04 求数列通项公式(解析版).docx
2024年新高考数学复习资料专题04 求数列通项公式(解析版).docx
2024年新高考数学复习资料专题04 求数列通项公式(解析版).docx
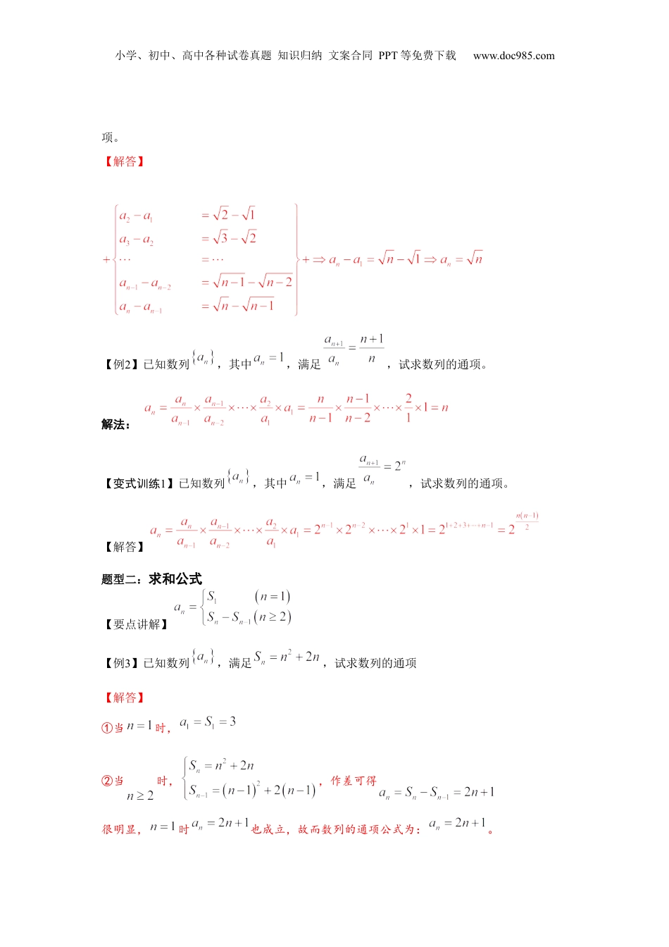
小学、初中、高中各种试卷真题知识归纳文案合同PPT等免费下载www.doc985.com专题04求数列通项公式目录题型一:累加/累乘.......................................................................................................................1题型二:求和公式........................................................................................................................2题型三:........................................................................................3题型四:.......................................................4题型五:.............................................................................................................4题型六:...............................................................................................5题型七:同除、平衡指数、因式分解.........................................................................................5题型一:累加/累乘【要点讲解】【例1】已知数列,其中,满足,试求数列的通项【解答】【变式训练1】已知数列,其中,满足,试求数列的通例题精讲小学、初中、高中各种试卷真题知识归纳文案合同PPT等免费下载www.doc985.com项。【解答】【例2】已知数列,其中,满足,试求数列的通项。解法:【变式训练1】已知数列,其中,满足,试求数列的通项。【解答】题型二:求和公式【要点讲解】【例3】已知数列,满足,试求数列的通项【解答】①当时,②当时,,作差可得很明显,时也成立,故而数列的通项公式为:。小学、初中、高中各种试卷真题知识归纳文案合同PPT等免费下载www.doc985.com【变式训练1】已知正项数列,满足,试求数列的通项公式。【解答】①当时,,解得②当时,,作差可得,化简可得:故而数列是以3为首项,以2位公差的等差数列,即。【变式训练2】已知正项数列,满足,试求数列的通项公式。【解答】当时,;当时,,作差可得,化简可得:很明显,时也成立,故而数列的通项公式为:。小学、初中、高中各种试卷真题知识归纳文案合同PPT等免费下载www.doc985.com题型三:【例4】已知数列,其中,满足,试求数列的通项。【解答】设,化简可得,对比原式可得,代入假设的式子可得:,故而可得数列是以4为首项,以2为公比的等比数列,故而题型四:【例5】已知数列,其中,满足,试求数列的通项。【解答】设,化简可得,对比原式可得,代入假设的式子可得:,故而可得数列是以-2为首项,以2为公比的等比数列,故而题型五:【例6】已知数列,其中,满足,试求数列的通项。【解答】将递推公式两边同时取倒数可得,故而可小学、初中、高中各种试卷真题知识归纳文案合同PPT等免费下载www.doc985.com得数列是以1为首项,以为公差的等差数列,故而。【变式训练1】已知数列,其中,满足,试求数列的通项。【解答】将两边同时加1可得,同时取倒数,将式子右侧化简可得,假设,故而可得,为线性数列。根据线性数列的性质可得,数列是以为首项,以2为公比的等比数列,故而可得,亦即化简可得,。题型六:【例7】已知数列,其中,满足,试求数列的通项。【解答】将根据递推公式可得,故而数列是以-3为首项,以3为公比的等比数列,故而可得小学、初中、高中各种试卷真题知识归纳文案合同PPT等免费下载www.doc985.com,根据线性数列的性质可得:,故而数列是以5为首项,以2为公比的等比数列,故而可得。题型七:同除、平衡指数、因式分解【解答】已知数列,其中,满足,试求数列的通项。递推公式可化简为,两边同除,化简可得。故而数列是以2为首项,以2为公差的等差数列,故而可得,,化简可得。【例8】已知正项数列,其中,满足,试求数列的通项。【解答】观察到递推公式存在根式,故而两边同时加1可得化简可得,故而数列是以2为首项,以1为公差的等差数列,故而可得,,化简小学、初中、高中各种试卷真题知识归纳文案合同PPT等免费下载www.doc985.com可得。【变式训练1】已知正项数列,其中,满足,试求数列的通项。【解答】将递推公式因式分解可得...

1、当您付费下载文档后,您只拥有了使用权限,并不意味着购买了版权,文档只能用于自身使用,不得用于其他商业用途(如 [转卖]进行直接盈利或[编辑后售卖]进行间接盈利)。
2、本站所有内容均由合作方或网友上传,本站不对文档的完整性、权威性及其观点立场正确性做任何保证或承诺!文档内容仅供研究参考,付费前请自行鉴别。
3、如文档内容存在违规,或者侵犯商业秘密、侵犯著作权等,请点击“违规举报”。

碎片内容

与本文档类似文档
2024年新高考数学复习资料第08讲 函数的基本性质Ⅱ-奇偶性、周期性和对称性(精讲)【一轮复习讲义】2024年高考数学高频考点题型归纳与方法总结(新高考通用)解析版.docx
2024年新高考数学复习资料第08讲 函数的基本性质Ⅱ-奇偶性、周期性和对称性(精讲)【一轮复习讲义】2024年高考数学高频考点题型归纳与方法总结(新高考通用)解析版.docx
免费
0下载
高中数学·必修第一册(湘教版)课时作业(word)  课时作业(二十).docx
高中数学·必修第一册(湘教版)课时作业(word) 课时作业(二十).docx
免费
25下载
上海市闵行区2021-2022学年高三上学期质量调研考试一模数学试卷解析版.doc
上海市闵行区2021-2022学年高三上学期质量调研考试一模数学试卷解析版.doc
免费
0下载
高中2024版考评特训卷·数学·文科【统考版】素养训练(二).docx
高中2024版考评特训卷·数学·文科【统考版】素养训练(二).docx
免费
0下载
高中数学·必修第二册(RJ-B)课时作业(word)  课时作业  12.docx
高中数学·必修第二册(RJ-B)课时作业(word) 课时作业 12.docx
免费
11下载
2024年新高考数学复习资料专题06 函数的单调性(含2021-2023高考真题)(解析版).docx
2024年新高考数学复习资料专题06 函数的单调性(含2021-2023高考真题)(解析版).docx
免费
0下载
精品解析:2024届江苏省南通市高三第二次适应性调研数学试题(解析版).docx
精品解析:2024届江苏省南通市高三第二次适应性调研数学试题(解析版).docx
免费
0下载
2023年高考数学试卷(上海)(秋考)(空白卷).doc
2023年高考数学试卷(上海)(秋考)(空白卷).doc
免费
0下载
2013年高考数学试卷(文)(福建)(空白卷).doc
2013年高考数学试卷(文)(福建)(空白卷).doc
免费
0下载
1990年江西高考理科数学真题及答案.doc
1990年江西高考理科数学真题及答案.doc
免费
8下载
2023年高考数学试卷(理)(全国甲卷)(解析卷) (1).pdf
2023年高考数学试卷(理)(全国甲卷)(解析卷) (1).pdf
免费
0下载
2022·微专题·小练习·数学·理科【统考版】专练11.docx
2022·微专题·小练习·数学·理科【统考版】专练11.docx
免费
18下载
精品解析:上海市奉贤区2024届高三第二次模拟考试数学试题(原卷版).docx
精品解析:上海市奉贤区2024届高三第二次模拟考试数学试题(原卷版).docx
免费
0下载
高中数学·必修第二册(RJ-A版)课时作业 WORD  课时作业(三十五).doc
高中数学·必修第二册(RJ-A版)课时作业 WORD 课时作业(三十五).doc
免费
4下载
【免费下载】湖南2015年高考数学真题(文科)(湖南自主命题)(解析版).doc
【免费下载】湖南2015年高考数学真题(文科)(湖南自主命题)(解析版).doc
免费
0下载
1998年重庆高考文科数学真题及答案.doc
1998年重庆高考文科数学真题及答案.doc
免费
18下载
2018年高考数学试卷(理)(新课标Ⅰ)(空白卷) (7).pdf
2018年高考数学试卷(理)(新课标Ⅰ)(空白卷) (7).pdf
免费
0下载
高中数学·必修第一册(北师大版)课时作业WORD  详解答案.doc
高中数学·必修第一册(北师大版)课时作业WORD 详解答案.doc
免费
24下载
2013年高考数学真题(理科)(湖北自主命题).doc
2013年高考数学真题(理科)(湖北自主命题).doc
免费
29下载
2024年新高考数学复习资料第02讲 常用逻辑用语(精讲)【一轮复习讲义】2024年高考数学高频考点题型归纳与方法总结(新高考通用)原卷版.docx
2024年新高考数学复习资料第02讲 常用逻辑用语(精讲)【一轮复习讲义】2024年高考数学高频考点题型归纳与方法总结(新高考通用)原卷版.docx
免费
0下载
我的小文库
实名认证
内容提供者

提供高质量免费文档试卷下载,如果满意请告诉您身边的人,如果不满意请告诉我们,您的意见对于我们很重要,是我们不断进步的动力

阅读排行

确认删除?
回到顶部
客服号
  • 客服QQ点击这里给我发消息
QQ群
  • QQ群点击这里加入QQ群
提交所需资料详情,我们来帮找资料