2024年新高考数学复习资料专题29 圆锥曲线中的定点问题(原卷版).docx本文件免费下载 【共7页】

2024年新高考数学复习资料专题29 圆锥曲线中的定点问题(原卷版).docx
2024年新高考数学复习资料专题29 圆锥曲线中的定点问题(原卷版).docx
2024年新高考数学复习资料专题29 圆锥曲线中的定点问题(原卷版).docx
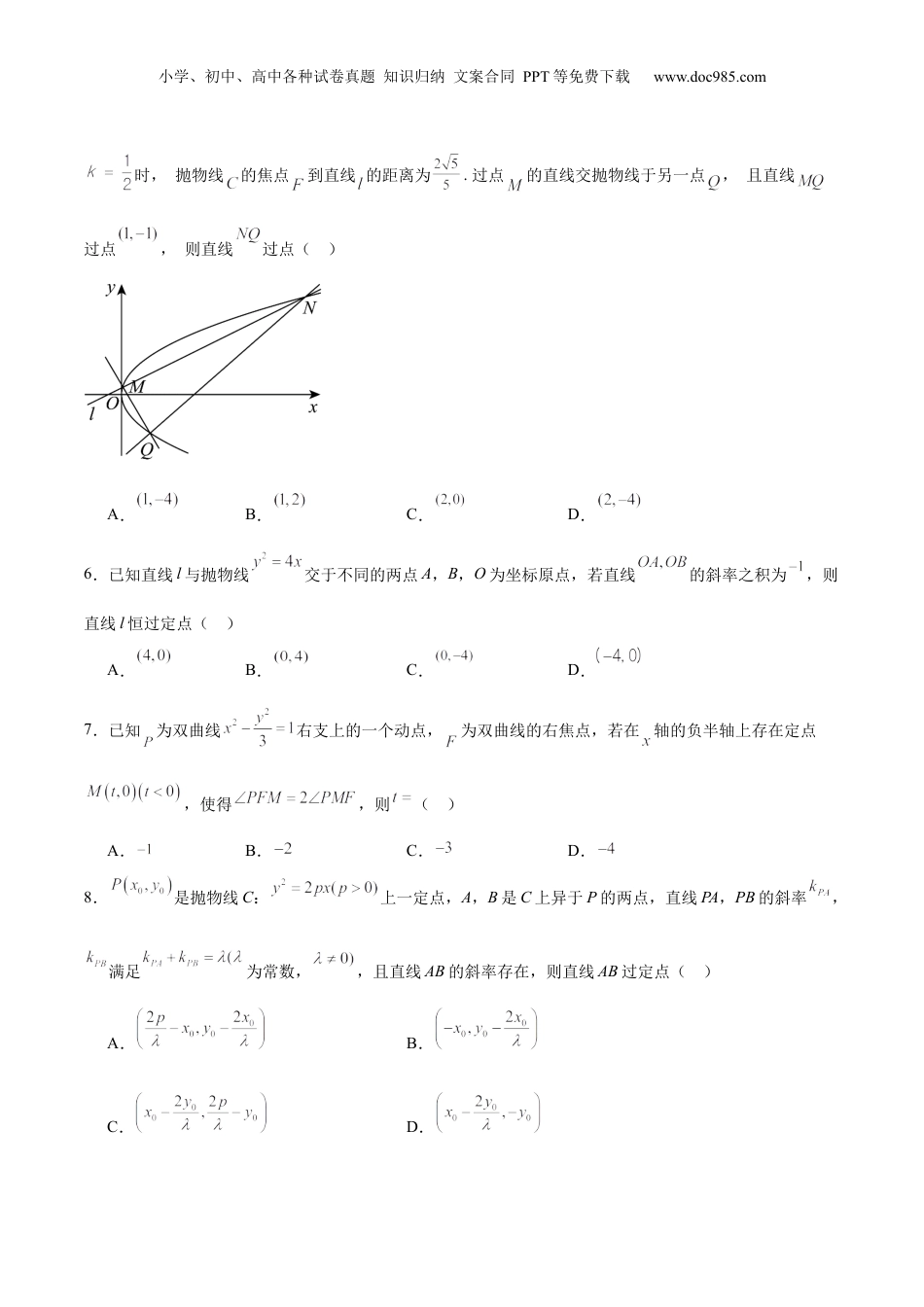
小学、初中、高中各种试卷真题知识归纳文案合同PPT等免费下载www.doc985.com专题29圆锥曲线中的定点问题考试时间:120分钟满分:150分一、单选题:本大题共8小题,每个小题5分,共40分.在每小题给出的选项中,只有一项是符合题目要求的.1.双曲线,过定点的两条垂线分别交双曲线于、两点,直恒过定点()A.B.C.D.2.已知椭圆为椭圆的右顶点,直线交于两点,且,则恒过除点以外的定点()A.B.C.D.3.已知椭圆的上顶点为为椭圆上异于A的两点,且,则直线过定点()A.B.C.D.4.定义:若点在椭圆上,则以为切点的切线方程为:.已知椭圆,点为直线上一个动点,过点作椭圆的两条切线,,切点分别为,,则直线恒过定点()A.B.C.D.5.如图,设直线与抛物线(为常数)交于不同的两点,且当小学、初中、高中各种试卷真题知识归纳文案合同PPT等免费下载www.doc985.com时,抛物线的焦点到直线的距离为.过点的直线交抛物线于另一点,且直线过点,则直线过点()A.B.C.D.6.已知直线l与抛物线交于不同的两点A,B,O为坐标原点,若直线的斜率之积为,则直线l恒过定点()A.B.C.D.7.已知为双曲线右支上的一个动点,为双曲线的右焦点,若在轴的负半轴上存在定点,使得,则()A.B.C.D.8.是抛物线C:上一定点,A,B是C上异于P的两点,直线PA,PB的斜率,满足为常数,,且直线AB的斜率存在,则直线AB过定点()A.B.C.D.小学、初中、高中各种试卷真题知识归纳文案合同PPT等免费下载www.doc985.com二、多选题:本大题共4小题,每个小题5分,共20分.在每小题给出的选项中,只有一项或者多项是符合题目要求的.9.已知双曲线的两个顶点分别是,两个焦点分别是.P是双曲线上异于的任意一点,则有()A.B.若,则C.直线的斜率之积等于D.使得为等腰三角形的点P有8个10.已知的左右顶点为为的上顶点,,点为直线上的动点,与的另一个交点为与的另一个交点为.则的方程为()直线恒过定点()A.B.C.D.11.已知抛物线:,为坐标原点,直线交抛物线于,两点,若,则()A.B.直线过定点C.的最小值为D.的最小值为212.已知是抛物线内一动点,直线过点且与抛物线相交于两点,则下列说法正确的是()A.时,的最小值为B.的取值范围是C.当点是弦的中点时,直线的斜率为D.当点是弦的中点时,轴上存在一定点,都有小学、初中、高中各种试卷真题知识归纳文案合同PPT等免费下载www.doc985.com三、填空题:本大题共4小题,每小题5分,共20分.把答案填在答题卡中的横线上.13.抛物线上有三点,,,直线和的斜率之和为2,则直线恒过定点的坐标为.14.设为椭圆的两个焦点,为上一点,且在第一象限,若为等腰三角形,则的坐标为.15.已知双曲线的一条渐近线的倾斜角的正切值为.若直线(且)与双曲线交于A,B两点,直线,的斜率的倒数和为,则直线恒经过的定点为.16.双曲线的左、右两支上各有一点A、B,点B在直线上的射影是点,若直线AB过右焦点,则直线必定经过的定点的坐标为.四、解答题:本大题共6小题,共70分.解答应写出必要的文字说明、证明过程或演算步骤.17.设椭圆C:的左、右顶点分别为A、B,且焦距为2.点P在椭圆上且异于A、B两点.若直线PA与PB的斜率之积为.(1)求椭圆C的标准方程;(2)过点作不与轴重合的直线与椭圆C相交于M、N两点,直线m的方程为:,过点M作垂直于直线,交于点E.判断直线是否过定点,并说明理由.小学、初中、高中各种试卷真题知识归纳文案合同PPT等免费下载www.doc985.com18.已知椭圆E的中心在原点,周长为8的的顶点,为椭圆E的左焦点,顶点B,C在E上,且边BC过E的右焦点.(1)求椭圆E的标准方程;(2)椭圆E的上、下顶点分别为M,N,点若直线,与椭圆E的另一个交点分别为点S,T,证明:直线ST过定点,并求该定点坐标.19.已知椭圆的左顶点,点是椭圆上关于原点对称的两个动点(点不与点重合),面积的最大值是2.(1)求椭圆的方程.(2)若直线与轴分别相交于点,是否存在定点,总有?若存在,求出定点的坐标;若不存在,说明理由.小学、初中、高中各种试卷真题知识归纳文案合同PPT等免费下载www.doc985.com20.已知抛物线:,为坐标原点,过作一条直...

1、当您付费下载文档后,您只拥有了使用权限,并不意味着购买了版权,文档只能用于自身使用,不得用于其他商业用途(如 [转卖]进行直接盈利或[编辑后售卖]进行间接盈利)。
2、本站所有内容均由合作方或网友上传,本站不对文档的完整性、权威性及其观点立场正确性做任何保证或承诺!文档内容仅供研究参考,付费前请自行鉴别。
3、如文档内容存在违规,或者侵犯商业秘密、侵犯著作权等,请点击“违规举报”。

碎片内容

与本文档类似文档
2024年新高考数学复习资料第08讲 函数的基本性质Ⅱ-奇偶性、周期性和对称性(精讲)【一轮复习讲义】2024年高考数学高频考点题型归纳与方法总结(新高考通用)解析版.docx
2024年新高考数学复习资料第08讲 函数的基本性质Ⅱ-奇偶性、周期性和对称性(精讲)【一轮复习讲义】2024年高考数学高频考点题型归纳与方法总结(新高考通用)解析版.docx
免费
0下载
高中数学·必修第一册(湘教版)课时作业(word)  课时作业(二十).docx
高中数学·必修第一册(湘教版)课时作业(word) 课时作业(二十).docx
免费
25下载
上海市闵行区2021-2022学年高三上学期质量调研考试一模数学试卷解析版.doc
上海市闵行区2021-2022学年高三上学期质量调研考试一模数学试卷解析版.doc
免费
0下载
高中2024版考评特训卷·数学·文科【统考版】素养训练(二).docx
高中2024版考评特训卷·数学·文科【统考版】素养训练(二).docx
免费
0下载
高中数学·必修第二册(RJ-B)课时作业(word)  课时作业  12.docx
高中数学·必修第二册(RJ-B)课时作业(word) 课时作业 12.docx
免费
11下载
2024年新高考数学复习资料专题06 函数的单调性(含2021-2023高考真题)(解析版).docx
2024年新高考数学复习资料专题06 函数的单调性(含2021-2023高考真题)(解析版).docx
免费
0下载
精品解析:2024届江苏省南通市高三第二次适应性调研数学试题(解析版).docx
精品解析:2024届江苏省南通市高三第二次适应性调研数学试题(解析版).docx
免费
0下载
2023年高考数学试卷(上海)(秋考)(空白卷).doc
2023年高考数学试卷(上海)(秋考)(空白卷).doc
免费
0下载
2013年高考数学试卷(文)(福建)(空白卷).doc
2013年高考数学试卷(文)(福建)(空白卷).doc
免费
0下载
1990年江西高考理科数学真题及答案.doc
1990年江西高考理科数学真题及答案.doc
免费
8下载
2023年高考数学试卷(理)(全国甲卷)(解析卷) (1).pdf
2023年高考数学试卷(理)(全国甲卷)(解析卷) (1).pdf
免费
0下载
2022·微专题·小练习·数学·理科【统考版】专练11.docx
2022·微专题·小练习·数学·理科【统考版】专练11.docx
免费
18下载
精品解析:上海市奉贤区2024届高三第二次模拟考试数学试题(原卷版).docx
精品解析:上海市奉贤区2024届高三第二次模拟考试数学试题(原卷版).docx
免费
0下载
高中数学·必修第二册(RJ-A版)课时作业 WORD  课时作业(三十五).doc
高中数学·必修第二册(RJ-A版)课时作业 WORD 课时作业(三十五).doc
免费
4下载
【免费下载】湖南2015年高考数学真题(文科)(湖南自主命题)(解析版).doc
【免费下载】湖南2015年高考数学真题(文科)(湖南自主命题)(解析版).doc
免费
0下载
1998年重庆高考文科数学真题及答案.doc
1998年重庆高考文科数学真题及答案.doc
免费
18下载
2018年高考数学试卷(理)(新课标Ⅰ)(空白卷) (7).pdf
2018年高考数学试卷(理)(新课标Ⅰ)(空白卷) (7).pdf
免费
0下载
高中数学·必修第一册(北师大版)课时作业WORD  详解答案.doc
高中数学·必修第一册(北师大版)课时作业WORD 详解答案.doc
免费
24下载
2013年高考数学真题(理科)(湖北自主命题).doc
2013年高考数学真题(理科)(湖北自主命题).doc
免费
29下载
2024年新高考数学复习资料第02讲 常用逻辑用语(精讲)【一轮复习讲义】2024年高考数学高频考点题型归纳与方法总结(新高考通用)原卷版.docx
2024年新高考数学复习资料第02讲 常用逻辑用语(精讲)【一轮复习讲义】2024年高考数学高频考点题型归纳与方法总结(新高考通用)原卷版.docx
免费
0下载
我的小文库
实名认证
内容提供者

提供高质量免费文档试卷下载,如果满意请告诉您身边的人,如果不满意请告诉我们,您的意见对于我们很重要,是我们不断进步的动力

阅读排行

确认删除?
回到顶部
客服号
  • 客服QQ点击这里给我发消息
QQ群
  • QQ群点击这里加入QQ群
提交所需资料详情,我们来帮找资料