精品解析:江苏省常熟市2024届高三上学期阶段性抽测二数学试题(原卷版).docx本文件免费下载 【共6页】

精品解析:江苏省常熟市2024届高三上学期阶段性抽测二数学试题(原卷版).docx
精品解析:江苏省常熟市2024届高三上学期阶段性抽测二数学试题(原卷版).docx
精品解析:江苏省常熟市2024届高三上学期阶段性抽测二数学试题(原卷版).docx
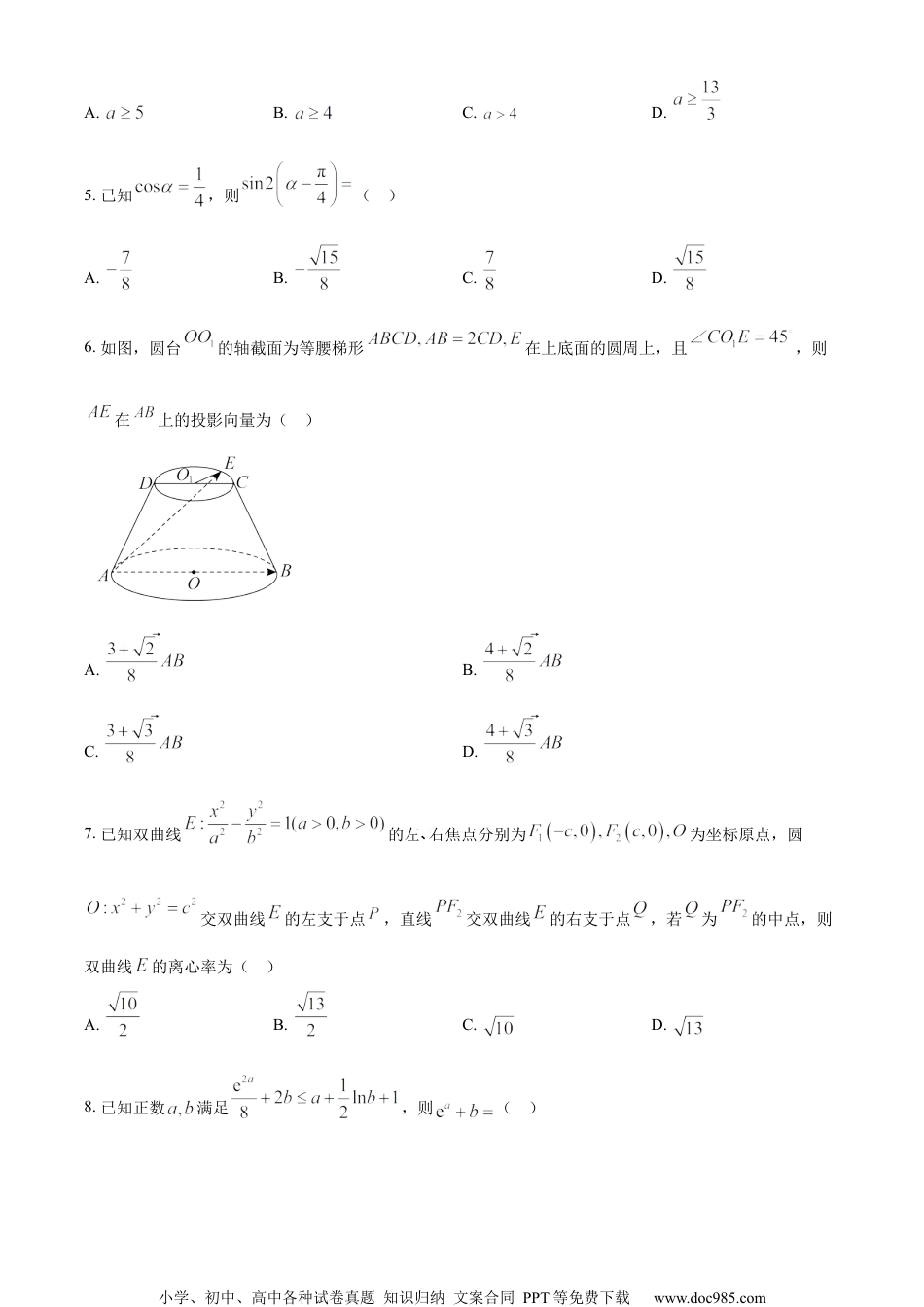
小学、初中、高中各种试卷真题知识归纳文案合同PPT等免费下载www.doc985.com高三阶段性抽测二数学注意事项学生在答题前请认真阅读本注意事项及各题答题要求:1.本卷共4页,包含单项选择题(第1题~第8题)、多项选择题(第9题~第12题)、填空题(第13题~第16题)、解答题(第17题~第22题).本卷满分150分,答题时间为120分钟.答题结束后,请将答题卷交回.2.答题前,请您务必将自己的姓名、调研序列号用0.5毫米黑色墨水的签字笔填写在答题卷的规定位置.3,请在答题卷上按照顺序在对应的答题区域内作答,在其他位置作答一律无效,作答必须用0.5毫米黑色墨水的签字笔.请注意字体工整,笔迹清楚.4.请保持答题卷卷面清洁,不要折叠、破损.一律不准使用胶带纸、修正液、可擦洗的圆珠笔.一、单项选择题:本题共8小题,每小题5分,共40分.在每小题给出的四个选项中,只有一项是符合题目要求的.1.已知集合,则()A.B.C.D.2.已知为虚数单位,若复数,则()A.B.C.D.3.已知无穷数列,则“,使得”是“数列有最大项”的()A.充分不必要条件B.必要不充分条件C.充要条件D.既不充分也不必要条件4.若不等式对任意恒成立,则实数的取值范围为()小学、初中、高中各种试卷真题知识归纳文案合同PPT等免费下载www.doc985.comA.B.C.D.5.已知,则()A.B.C.D.6.如图,圆台的轴截面为等腰梯形在上底面的圆周上,且,则在上的投影向量为()A.B.C.D.7.已知双曲线的左、右焦点分别为为坐标原点,圆交双曲线的左支于点,直线交双曲线的右支于点,若为的中点,则双曲线的离心率为()A.B.C.D.8.已知正数满足,则()小学、初中、高中各种试卷真题知识归纳文案合同PPT等免费下载www.doc985.comA.B.C.1D.二、多项选择题:本题共4小题,每小题5分,共20分.在每小题给出的四个选项中,有多项符合题目要求.全部选对的得5分,部分选对的得2分,有选错的得0分.9.已知实数满足,则下列说法正确的是()A.B.C.D.10.已知四棱锥的高为2,侧棱长都相等,且各个顶点都在球的球面上,,,则下列说法正确的是()A.平面截球所得的截面面积为B.四棱锥的侧棱长为C.球的表面积为D.到平面的距离为11.已知等比数列的公比为,且,则下列说法正确的是()A.若,则B.数列的前2023项和一定大于0C.若,则D.若,则一定小于012.已知函数,若关于的方程有6个不相等的实根,则实数的值可能小学、初中、高中各种试卷真题知识归纳文案合同PPT等免费下载www.doc985.com为()A.B.C.D.三、填空题:本题共4小题,每小题5分,共20分.13.函数的部分图象如图所示,则__________.14.如图,在正方体中,和分别为底面和侧面的中心,则二面角的余弦值为__________.15.已知抛物线的焦点为,准线与坐标轴的交点为,过抛物线上一点作准线的垂线,垂足为,设,若与相交于点,且,则的面积为__________.16.已知定义在上的可导函数和满足:,,且为奇函数,则导函数的图象关于__________对称(写出一种对称即可,不必考虑所有情小学、初中、高中各种试卷真题知识归纳文案合同PPT等免费下载www.doc985.com况);若,,则__________.四、解答题:本大题共6小题,共70分.解答应写出文字说明、证明过程或演算步骤.17.已知方程.(1)若此方程表示圆,求实数的取值范围;(2)若的值为(1)中能取到的最大整数,将得到的圆设为圆,设为圆上任意一点,求到直线的距离的取值范围.18.已知的内角所对的边分别为,且.(1)求的大小;(2)设是边上的一点,且满足,求的面积的最小值.19.如图所示,三棱台的底面为正三角形,平面,和分别为和的中点,是线段(含端点)上一动点.(1)求证:平面;(2)试问:是否存在,使得与平面的所成角为?若存在,求出的长度;若不存在,请说明理由.20.已知正项数列的前项和为.(1)求数列的通项公式;小学、初中、高中各种试卷真题知识归纳文案合同PPT等免费下载www.doc985.com(2)设,求数列的前项和.21.已知椭圆的上顶点为,设点轴上的两个动点和满足,且当位于椭圆的右焦点时,.(1)求椭圆的方程;(2)设直线和分别交椭圆于和两点,求证:直线经过定点.22.已知函数.(1)若,求证:当时,;(2)讨论函数在区间上的零点个数.

1、当您付费下载文档后,您只拥有了使用权限,并不意味着购买了版权,文档只能用于自身使用,不得用于其他商业用途(如 [转卖]进行直接盈利或[编辑后售卖]进行间接盈利)。
2、本站所有内容均由合作方或网友上传,本站不对文档的完整性、权威性及其观点立场正确性做任何保证或承诺!文档内容仅供研究参考,付费前请自行鉴别。
3、如文档内容存在违规,或者侵犯商业秘密、侵犯著作权等,请点击“违规举报”。

碎片内容

与本文档类似文档
2024年新高考数学复习资料第14讲 导数的概念及其意义、导数的运算(精讲)【一轮复习讲义】2024年高考数学高频考点题型归纳与方法总结(新高考通用)解析版.docx
2024年新高考数学复习资料第14讲 导数的概念及其意义、导数的运算(精讲)【一轮复习讲义】2024年高考数学高频考点题型归纳与方法总结(新高考通用)解析版.docx
免费
0下载
2025年新高考数学复习资料2025届高中数学一轮复习练习:第九章限时跟踪检测(五十五) 抛物线(一)(含解析).docx
2025年新高考数学复习资料2025届高中数学一轮复习练习:第九章限时跟踪检测(五十五) 抛物线(一)(含解析).docx
免费
0下载
2012年高考数学试卷(理)(新课标)(解析卷) (7).pdf
2012年高考数学试卷(理)(新课标)(解析卷) (7).pdf
免费
0下载
2015年高考数学试卷(文)(天津)(空白卷).pdf
2015年高考数学试卷(文)(天津)(空白卷).pdf
免费
0下载
2024年新高考数学复习资料2024年高考数学一轮复习(新高考版) 第7章 §7.9 空间动态问题突破[培优课].docx
2024年新高考数学复习资料2024年高考数学一轮复习(新高考版) 第7章 §7.9 空间动态问题突破[培优课].docx
免费
0下载
2025年新高考数学复习资料重难点突破04 初等数论与平面几何背景下新定义(六大题型)(原卷版).docx
2025年新高考数学复习资料重难点突破04 初等数论与平面几何背景下新定义(六大题型)(原卷版).docx
免费
0下载
2022·微专题·小练习·数学【新高考】专练48.docx
2022·微专题·小练习·数学【新高考】专练48.docx
免费
14下载
2025届高中数学一轮复习课件:第五章 第6讲 第1课时正、余弦定理(共77张ppt).pptx
2025届高中数学一轮复习课件:第五章 第6讲 第1课时正、余弦定理(共77张ppt).pptx
免费
0下载
2013年江西省高考数学试卷(文科)往年高考真题.doc
2013年江西省高考数学试卷(文科)往年高考真题.doc
免费
0下载
2012年高考数学试卷(理)(重庆)(解析卷).pdf
2012年高考数学试卷(理)(重庆)(解析卷).pdf
免费
0下载
高考数学复习  模拟预测卷01(新课标卷)(原卷版).docx
高考数学复习 模拟预测卷01(新课标卷)(原卷版).docx
免费
0下载
高中数学·选择性必修·第二册·湘教版课时作业WORD  课时作业(十四).docx
高中数学·选择性必修·第二册·湘教版课时作业WORD 课时作业(十四).docx
免费
8下载
2024版《大考卷》全程考评特训卷·数学【新教材】考点过关检测19.docx
2024版《大考卷》全程考评特训卷·数学【新教材】考点过关检测19.docx
免费
16下载
高中数学·选择性必修·第一册·(RJ-A版)课时作业WORD  章末质量检测(二).docx
高中数学·选择性必修·第一册·(RJ-A版)课时作业WORD 章末质量检测(二).docx
免费
18下载
高中数学·必修第一册(北师大版)课时作业WORD  课时作业(二十五).doc
高中数学·必修第一册(北师大版)课时作业WORD 课时作业(二十五).doc
免费
16下载
2017年高考真题数学【理】(山东卷)(含解析版).docx
2017年高考真题数学【理】(山东卷)(含解析版).docx
免费
3下载
2025年新高考数学复习资料热点专题 2-4 指数与指数函数(原卷版)- 2025年高考数学热点题型追踪与重难点专题突破(新高考专用) .docx
2025年新高考数学复习资料热点专题 2-4 指数与指数函数(原卷版)- 2025年高考数学热点题型追踪与重难点专题突破(新高考专用) .docx
免费
0下载
2019年高考数学试卷(文)(新课标Ⅰ)(空白卷) (1).pdf
2019年高考数学试卷(文)(新课标Ⅰ)(空白卷) (1).pdf
免费
0下载
2024年新高考数学复习资料第03讲 三角函数的图象与性质(十大题型)(讲义)(原卷版).docx
2024年新高考数学复习资料第03讲 三角函数的图象与性质(十大题型)(讲义)(原卷版).docx
免费
0下载
2024年新高考数学复习资料跟踪训练01 集合(原卷版).docx
2024年新高考数学复习资料跟踪训练01 集合(原卷版).docx
免费
0下载
我的小文库
实名认证
内容提供者

提供高质量免费文档试卷下载,如果满意请告诉您身边的人,如果不满意请告诉我们,您的意见对于我们很重要,是我们不断进步的动力

阅读排行

确认删除?
回到顶部
客服号
  • 客服QQ点击这里给我发消息
QQ群
  • QQ群点击这里加入QQ群
提交所需资料详情,我们来帮找资料