2025年新高考数学复习资料2025届新高三阶段性检测02(基础版)(范围:检测范围1至三角函数与解三角形、平面向量、数列)(解析板).docx本文件免费下载 【共19页】

2025年新高考数学复习资料2025届新高三阶段性检测02(基础版)(范围:检测范围1至三角函数与解三角形、平面向量、数列)(解析板).docx
2025年新高考数学复习资料2025届新高三阶段性检测02(基础版)(范围:检测范围1至三角函数与解三角形、平面向量、数列)(解析板).docx
2025年新高考数学复习资料2025届新高三阶段性检测02(基础版)(范围:检测范围1至三角函数与解三角形、平面向量、数列)(解析板).docx
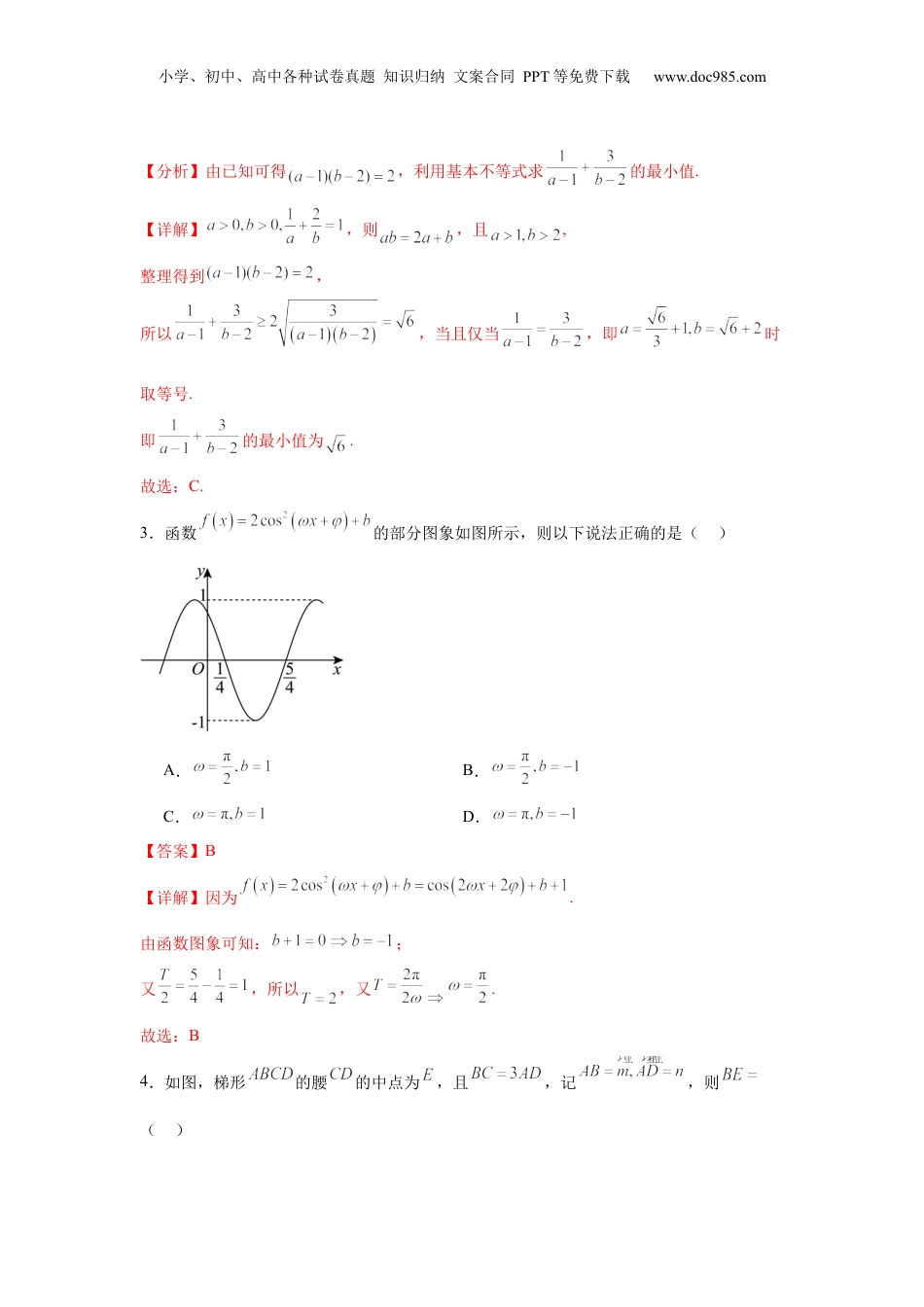
小学、初中、高中各种试卷真题知识归纳文案合同PPT等免费下载www.doc985.com保密★启用前2025届新高三阶段性检测02(基础版)(范围:检测范围1至三角函数与解三角形、平面向量、数列)(新课标卷)注意事项:1.答题前,先将自己的姓名、准考证号、考场号、座位号填写在试卷和答题卡上,并将准考证号条形码粘贴在答题卡上的指定位置.2.选择题的作答:每小题选出答案后,用2B铅笔把答题卡上对应题目的答案标号涂黑.写在试卷、草稿纸和答题卡上的非答题区域均无效.3.考试结束后,请将本试卷和答题卡一并上交.一、单项选择题:本大题共8小题,每小题5分,共40分.在每小题给出的四个选项中,只有一个选项是正确的.请把正确的选项填涂在答题卡相应的位置上.1.已知集合,,则()A.B.C.D.【答案】D【分析】先化简集合,再根据交集运算即可.【详解】由,得,所以,所以.故选:D.2.,则的最小值为()A.B.C.D.6【答案】C小学、初中、高中各种试卷真题知识归纳文案合同PPT等免费下载www.doc985.com【分析】由已知可得,利用基本不等式求的最小值.【详解】,则,且,整理得到,所以,当且仅当,即时取等号.即的最小值为.故选:C.3.函数的部分图象如图所示,则以下说法正确的是()A.B.C.D.【答案】B【详解】因为.由函数图象可知:;又,所以,又.故选:B4.如图,梯形的腰的中点为,且,记,则()小学、初中、高中各种试卷真题知识归纳文案合同PPT等免费下载www.doc985.comA.B.C.D.【答案】A【分析】根据图形,利用向量的几何运算得到,即可求解.【详解】因为,又,所以,又为腰的中点,所以,故选:A.5.设为等差数列的前n项和,若,,若时,,则等于()A.11B.12C.20D.22【答案】D【详解】设公差为,由,得,所以,由,得故,小学、初中、高中各种试卷真题知识归纳文案合同PPT等免费下载www.doc985.com则,因为,所以,化简得,解得或(舍去).故选:D.6.正整数的倒数的和已经被研究了几百年,但是迄今为止仍然没有得到它的求和公式,只是得到了它的近似公式,当很大时,.其中称为欧拉-马歇罗尼常数,,至今为止都不确定是有理数还是无理数.设表示不超过的最大整数,用上式计算的值为()(参考数据:,,)A.10B.9C.8D.7【答案】C【分析】设,分析可知数列为递增数列,结合题中数据估算可知,即可得结果.【详解】设,则,因为,可知数列为递增数列,小学、初中、高中各种试卷真题知识归纳文案合同PPT等免费下载www.doc985.com且,,可知,所以.故选:C.7.已知平行四边形中,,,分别为边,的中点,若,则四边形面积的最大值为()A.2B.C.4D.【答案】D【分析】建立适当的平面直角坐标系,设,写出各个点的坐标,将转换成条件等式,结合平行四边形面积公式以及基本不等式即可求解.【详解】以点为原点,所在直线为轴建立如图所示的平面直角坐标系,设,则,所以,小学、初中、高中各种试卷真题知识归纳文案合同PPT等免费下载www.doc985.com所以,从而,即,等号成立当且仅当,四边形面积的表达式为,从而,等号成立当且仅当,所以四边形面积的最大值为.故选:D.8.给出定义:若函数在D上可导,即存在,且导函数在D上也可导,则称在D上存在二阶导数,记.若在D上恒成立,则称在D上为凸函数.以下四个函数在上不是是凸函数的是()A.B.C.D.【答案】D【分析】根据给出的导数新定义逐项判断即可.【详解】对于A:,,,则在上恒有,故A错误;对于B:,,,小学、初中、高中各种试卷真题知识归纳文案合同PPT等免费下载www.doc985.com则在上恒有,故B错误;对于C:,,,则在上恒有,故C错误;对于D:,,,则在上恒有,故D正确.故选:D.二、多项选择题:本大题共3小题,每小题6分,共18分.在每小题给出的四个选项中,有多项符合题目要求.全部选对得6分,选对但不全的得部分分,有选错的得0分.9.在中,内角,,的对边分别为,,,已知,且,则()A.,,成等比数列B.为钝角三角形C.,,成等差数列D.若,则【答案】ABD【分析】由正弦定理可判断A;利用正弦定理、三角形的性质可判断B;根据,,成等差数列求出,再由余弦定理可判断C;求出可判断D.【详解】对...

1、当您付费下载文档后,您只拥有了使用权限,并不意味着购买了版权,文档只能用于自身使用,不得用于其他商业用途(如 [转卖]进行直接盈利或[编辑后售卖]进行间接盈利)。
2、本站所有内容均由合作方或网友上传,本站不对文档的完整性、权威性及其观点立场正确性做任何保证或承诺!文档内容仅供研究参考,付费前请自行鉴别。
3、如文档内容存在违规,或者侵犯商业秘密、侵犯著作权等,请点击“违规举报”。

碎片内容

与本文档类似文档
2024年新高考数学复习资料专题01 利用导函数研究函数的切线问题(典型题型归类训练) (解析版).docx
2024年新高考数学复习资料专题01 利用导函数研究函数的切线问题(典型题型归类训练) (解析版).docx
免费
0下载
高中2023《微专题·小练习》·数学·文科·L-2专练28.docx
高中2023《微专题·小练习》·数学·文科·L-2专练28.docx
免费
0下载
2024年新高考数学复习资料重难点突破02 立体几何中的动点问题(原卷版).docx
2024年新高考数学复习资料重难点突破02 立体几何中的动点问题(原卷版).docx
免费
0下载
2024高考试卷上海数学-试题-p.docx
2024高考试卷上海数学-试题-p.docx
免费
19下载
高中2022·微专题·小练习·数学【新高考】专练47.docx
高中2022·微专题·小练习·数学【新高考】专练47.docx
免费
0下载
高考数学复习  热点专题 2-7 函数与方程【8类题型】(原卷版)- 2025年高考数学热点题型追踪与重难点专题突破(新高考专用) .docx
高考数学复习 热点专题 2-7 函数与方程【8类题型】(原卷版)- 2025年高考数学热点题型追踪与重难点专题突破(新高考专用) .docx
免费
0下载
2024年新高考数学复习资料重难点突破01 ω的取值范围与最值问题(六大题型)(原卷版).docx
2024年新高考数学复习资料重难点突破01 ω的取值范围与最值问题(六大题型)(原卷版).docx
免费
0下载
2024年新高考数学复习资料专题2-3 零点与复合嵌套函数(解析版) (1).docx
2024年新高考数学复习资料专题2-3 零点与复合嵌套函数(解析版) (1).docx
免费
0下载
2024年新高考数学复习资料2024年高考数学一轮复习(新高考版) 第8章 §8.4 直线与圆、圆与圆的位置关系.docx
2024年新高考数学复习资料2024年高考数学一轮复习(新高考版) 第8章 §8.4 直线与圆、圆与圆的位置关系.docx
免费
0下载
1991年吉林高考理科数学真题及答案.doc
1991年吉林高考理科数学真题及答案.doc
免费
18下载
2024年新高考数学复习资料易错点10  立体几何-备战2022年高考数学考试易错题(新高考专用)(学生版) .docx
2024年新高考数学复习资料易错点10 立体几何-备战2022年高考数学考试易错题(新高考专用)(学生版) .docx
免费
0下载
2002年高考数学真题(文科 )(福建自主命题).doc
2002年高考数学真题(文科 )(福建自主命题).doc
免费
26下载
专题45平面解析几何第五缉(解析版)-备战2022年高中数学联赛之历年真题分类汇编(2015-2021).docx
专题45平面解析几何第五缉(解析版)-备战2022年高中数学联赛之历年真题分类汇编(2015-2021).docx
免费
11下载
2011年广东高考(理科)数学(原卷版).doc
2011年广东高考(理科)数学(原卷版).doc
免费
24下载
1998年黑龙江高考文科数学真题及答案.doc
1998年黑龙江高考文科数学真题及答案.doc
免费
8下载
1996年高考数学真题(理科)(湖北自主命题).doc
1996年高考数学真题(理科)(湖北自主命题).doc
免费
21下载
2024版《大考卷》全程考评特训卷·数学·理科【统考版】点点练 26.docx
2024版《大考卷》全程考评特训卷·数学·理科【统考版】点点练 26.docx
免费
15下载
2024版《微专题》·数学(理 )·统考版专练 63.docx
2024版《微专题》·数学(理 )·统考版专练 63.docx
免费
6下载
2017年高考数学真题(理科)(天津自主命题).docx
2017年高考数学真题(理科)(天津自主命题).docx
免费
11下载
2013年高考数学试卷(理)(新课标Ⅱ)(解析卷) (8).pdf
2013年高考数学试卷(理)(新课标Ⅱ)(解析卷) (8).pdf
免费
0下载
我的小文库
实名认证
内容提供者

提供高质量免费文档试卷下载,如果满意请告诉您身边的人,如果不满意请告诉我们,您的意见对于我们很重要,是我们不断进步的动力

阅读排行

确认删除?
回到顶部
客服号
  • 客服QQ点击这里给我发消息
QQ群
  • QQ群点击这里加入QQ群
提交所需资料详情,我们来帮找资料