2010年高考数学试卷(理)(辽宁)(空白卷).pdf本文件免费下载 【共6页】

2010年高考数学试卷(理)(辽宁)(空白卷).pdf
2010年高考数学试卷(理)(辽宁)(空白卷).pdf
2010年高考数学试卷(理)(辽宁)(空白卷).pdf
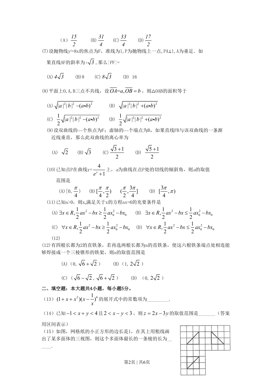
第1页|共6页2010年辽宁高考理科数学真题第I卷一、选择墨:本大题共12小题,每小题5分,在每小题给出的四个选项中,只有一项是符合题目要求的,(1)已知A,B均为集合U={1,3,5,7,9}的子集,且A∩B={3},(B∩A={9},则A=(A){1,3}(B){3,7,9}(C){3,5,9}(D){3,9}(2)设a,b为实数,若复数11+2iiabi=++,则(A)31,22ab==(B)3,1ab==(C)13,22ab==(D)1,3ab==(3)两个实习生每人加工一个零件.加工为一等品的概率分别为23和34,两个零件是否加工为一等品相互独立,则这两个零件中恰有一个一等品的概率为(A)12(B)512(C)14(D)16(4)如果执行右面的程序框图,输入正整数n,m,满足n≥m,那么输出的P等于(A)1mnC-(B)1mnA-(C)mnC(D)mnA(5)设w>0,函数y=sin(wx+3p)+2的图像向右平移34p个单位后与原图像重合,则w的最小值是(A)23(B)43(C)32(D)3(6)设{an}是有正数组成的等比数列,nS为其前n项和。已知a2a4=1,37S=,则5S=第2页|共6页(A)152(B)314(C)334(D)172(7)设抛物线y2=8x的焦点为F,准线为l,P为抛物线上一点,PA⊥l,A为垂足.如果直线AF的斜率为-3,那么|PF|=(A)43(B)8(C)83(D)16(8)平面上O,A,B三点不共线,设,OA=aOBb=,则△OAB的面积等于(A)222|||()|abab-g(B)222|||()|abab+g(C)2221|||()2|abab-g(D)2221|||()2|abab+g(9)设双曲线的—个焦点为F;虚轴的—个端点为B,如果直线FB与该双曲线的一条渐近线垂直,那么此双曲线的离心率为(A)2(B)3(C)312+(D)512+(1O)已知点P在曲线y=41xe+上,a为曲线在点P处的切线的倾斜角,则a的取值范围是(A)[0,4p)(B)[,)42pp3(,]24pp(D)3[,)4pp(11)已知a>0,则x0满足关于x的方程ax=6的充要条件是(A)220011,22xRaxbxaxbx$Î-³-(B)220011,22xRaxbxaxbx$Î-£-(C)220011,22xRaxbxaxbx"Î-³-(D)220011,22xRaxbxaxbx"Î-£-(12)(12)有四根长都为2的直铁条,若再选两根长都为a的直铁条,使这六根铁条端点处相连能够焊接成一个三棱锥形的铁架,则a的取值范围是(A)(0,62+)(B)(1,22)(C)(62-,62+)(D)(0,22)二、填空题:本大题共4小题,每小题5分。(13)261(1)()xxxx++-的展开式中的常数项为_________.(14)已知14xy-<+<且23xy<-<,则23zxy=-的取值范围是_______(答案用区间表示)(15)如图,网格纸的小正方形的边长是1,在其上用粗线画出了某多面体的三视图,则这个多面体最长的一条棱的长为______.第3页|共6页(16)已知数列na满足1133,2,nnaaan+=-=则nan的最小值为__________.三、解答题:解答应写出文字说明,证明过程或演算步骤。(17)(本小题满分12分)在△ABC中,a,b,c分别为内角A,B,C的对边,且2sin(2)sin(2)sin.aAacBcbC=+++(Ⅰ)求A的大小;(Ⅱ)求sinsinBC+的最大值.(18)(本小题满分12分)为了比较注射A,B两种药物后产生的皮肤疱疹的面积,选200只家兔做试验,将这200只家兔随机地分成两组,每组100只,其中一组注射药物A,另一组注射药物B。(Ⅰ)甲、乙是200只家兔中的2只,求甲、乙分在不同组的概率;(Ⅱ)下表1和表2分别是注射药物A和B后的试验结果.(疱疹面积单位:mm2)表1:注射药物A后皮肤疱疹面积的频数分布表(ⅰ)完成下面频率分布直方图,并比较注射两种药物后疱疹面积的中位数大小;第4页|共6页(ⅱ)完成下面2×2列联表,并回答能否有99.9%的把握认为“注射药物A后的疱疹面积与注射药物B后的疱疹面积有差异”.表3:(19)(本小题满分12分)已知三棱锥P-ABC中,PA⊥ABC,AB⊥AC,PA=AC=½AB,N为AB上一点,AB=4AN,M,S分别为PB,BC的中点.(Ⅰ)证明:CM⊥SN;(Ⅱ)求SN与平面CMN所成角的大小.(20)(本小题满分12分)设椭圆C:22221(0)xyabab+=>>的左焦点为F,过点F的直线与椭圆C相交于A,B两点,直线l的倾斜角为60o,2AFFB=uuuruuur.第5页|共6页(I)求椭圆C的离心率;(II)如果|AB|=154,求椭圆C的方程.(21)(本小题满分12分)已知函数1ln)1()(2+++=axxaxf(I)讨论函数)(xf的单调性;(II)设1-<a.如果对任意),0(,21+Îxx,||4)()(|2121xxxfxf-³-,求a的取值范围。请考生在第(22)、(23)、(24)三题中任选一题做答,如果多做,则按所作的第一题记分。作答时用2B铅笔在答题卡上吧所选题目对应题号下方的方框...

1、当您付费下载文档后,您只拥有了使用权限,并不意味着购买了版权,文档只能用于自身使用,不得用于其他商业用途(如 [转卖]进行直接盈利或[编辑后售卖]进行间接盈利)。
2、本站所有内容均由合作方或网友上传,本站不对文档的完整性、权威性及其观点立场正确性做任何保证或承诺!文档内容仅供研究参考,付费前请自行鉴别。
3、如文档内容存在违规,或者侵犯商业秘密、侵犯著作权等,请点击“违规举报”。

碎片内容

与本文档类似文档
专题06 函数与导数常见经典压轴小题归类(26大核心考点)(课件)-2024年高考数学二轮复习讲练测(新教材新高考).pptx
专题06 函数与导数常见经典压轴小题归类(26大核心考点)(课件)-2024年高考数学二轮复习讲练测(新教材新高考).pptx
免费
0下载
2008年高考数学试卷(理)(山东)(解析卷).doc
2008年高考数学试卷(理)(山东)(解析卷).doc
免费
0下载
2018年高考数学试卷(文)(新课标Ⅱ)(解析卷) (9).pdf
2018年高考数学试卷(文)(新课标Ⅱ)(解析卷) (9).pdf
免费
0下载
2024年新高考数学复习资料【专项精练】第17课 同角三角函数的基本关系-2024年新高考数学分层专项精练(解析版).docx
2024年新高考数学复习资料【专项精练】第17课 同角三角函数的基本关系-2024年新高考数学分层专项精练(解析版).docx
免费
0下载
2012年高考数学试卷(文)(大纲版)(解析卷) (3).pdf
2012年高考数学试卷(文)(大纲版)(解析卷) (3).pdf
免费
0下载
二轮专项分层特训卷··高三数学·理科客观题专练 (9).doc
二轮专项分层特训卷··高三数学·理科客观题专练 (9).doc
免费
16下载
2025年新高考数学复习资料第06讲 函数的图象(九大题型)(练习)(原卷版).docx
2025年新高考数学复习资料第06讲 函数的图象(九大题型)(练习)(原卷版).docx
免费
0下载
2024年高考数学试卷(新课标Ⅰ卷)(空白卷) (6).docx
2024年高考数学试卷(新课标Ⅰ卷)(空白卷) (6).docx
免费
0下载
2025年新高考数学复习资料考点02常用逻辑用语(3种核心题型+基础保分练+综合提升练+拓展冲刺练)原卷版.docx
2025年新高考数学复习资料考点02常用逻辑用语(3种核心题型+基础保分练+综合提升练+拓展冲刺练)原卷版.docx
免费
0下载
高中2024版考评特训卷·数学【新教材】考点练40.docx
高中2024版考评特训卷·数学【新教材】考点练40.docx
免费
0下载
上海市虹口区2020年高三第一学期期末(一模)学科质量检测数学试卷(word解析版).doc
上海市虹口区2020年高三第一学期期末(一模)学科质量检测数学试卷(word解析版).doc
免费
0下载
2022·微专题·小练习·数学·理科【统考版】专练17.docx
2022·微专题·小练习·数学·理科【统考版】专练17.docx
免费
15下载
1999年青海高考理科数学真题及答案.doc
1999年青海高考理科数学真题及答案.doc
免费
24下载
2025年新高考数学复习资料第02讲 平面向量的数量积及其应用(八大题型)(练习)(解析版).docx
2025年新高考数学复习资料第02讲 平面向量的数量积及其应用(八大题型)(练习)(解析版).docx
免费
0下载
上海市奉贤区2020年高三第一学期期末(一模)学科质量检测数学试卷(word解析版).docx
上海市奉贤区2020年高三第一学期期末(一模)学科质量检测数学试卷(word解析版).docx
免费
0下载
2024年新高考数学复习资料第04讲 指数与指数函数(练习)(解析版).docx
2024年新高考数学复习资料第04讲 指数与指数函数(练习)(解析版).docx
免费
0下载
2008年高考数学试卷(理)(全国卷Ⅱ)(解析卷) (8).pdf
2008年高考数学试卷(理)(全国卷Ⅱ)(解析卷) (8).pdf
免费
0下载
高中数学高考数学10大专题技巧--专题10 立体几何中的面积与体积问题(教师版).docx
高中数学高考数学10大专题技巧--专题10 立体几何中的面积与体积问题(教师版).docx
免费
0下载
2024年新高考数学复习资料重难点突破01 集合中的新定义问题(解析版).docx
2024年新高考数学复习资料重难点突破01 集合中的新定义问题(解析版).docx
免费
0下载
高中2023《微专题·小练习》·数学·新教材·XL-3专练 20.docx
高中2023《微专题·小练习》·数学·新教材·XL-3专练 20.docx
免费
0下载
我的小文库
实名认证
内容提供者

提供高质量免费文档试卷下载,如果满意请告诉您身边的人,如果不满意请告诉我们,您的意见对于我们很重要,是我们不断进步的动力

阅读排行

确认删除?
回到顶部
客服号
  • 客服QQ点击这里给我发消息
QQ群
  • QQ群点击这里加入QQ群
提交所需资料详情,我们来帮找资料