高考数学复习 考点巩固卷18 椭圆方程及其性质(六大考点)(解析版).docx本文件免费下载 【共77页】

高考数学复习  考点巩固卷18 椭圆方程及其性质(六大考点)(解析版).docx
高考数学复习  考点巩固卷18 椭圆方程及其性质(六大考点)(解析版).docx
高考数学复习  考点巩固卷18 椭圆方程及其性质(六大考点)(解析版).docx
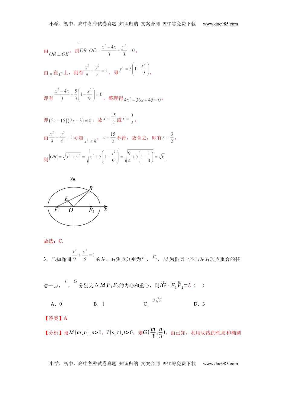
小学、初中、高中各种试卷真题知识归纳文案合同PPT等免费下载www.doc985.com小学、初中、高中各种试卷真题知识归纳文案合同PPT等免费下载www.doc985.com考点巩固卷18椭圆方程及其性质(六大考点)考点01:椭圆的定义(妙用)结论1:椭圆第一定义结论2:标准方程由定义即可得到椭圆标准方程结论3:椭圆第二定义1.已知复数满足,则复数在复平面内所对应的点的轨迹为()小学、初中、高中各种试卷真题知识归纳文案合同PPT等免费下载www.doc985.com小学、初中、高中各种试卷真题知识归纳文案合同PPT等免费下载www.doc985.comA.线段B.圆C.椭圆D.双曲线【答案】C【分析】由,可得其几何意义为任意一点到点(2,0)于的距离和为,符合椭圆定义,即可得到答案.【详解】设,因为,所以,其几何意义为任意一点到点(2,0)于的距离和为,又点(2,0)和之间的距离小于,符合椭圆定义,所以复数在复平面内所对应的点的轨迹为椭圆.故选:C.2.设O为坐标原点,,为椭圆C:的左,右两个焦点,点R在C上,点是线段上靠近点的三等分点,若,则()A.B.C.D.【答案】C【分析】设,则由题意可表示出、,结合垂直性质与在上计算即可得点横坐标,再利用两点间距离公式即可得解.【详解】设,由题意可得,则,则,,小学、初中、高中各种试卷真题知识归纳文案合同PPT等免费下载www.doc985.com小学、初中、高中各种试卷真题知识归纳文案合同PPT等免费下载www.doc985.com由,则,由在上,则有,即,即有,整理得,即,故或,由可知,不符,故舍去,即有,则.故选:C.3.已知椭圆的左、右焦点分别为,,为椭圆上不与左右顶点重合的任意一点,,分别为ΔMF1F2的内心和重心,则⃗IG⋅⃗F1F2=¿()A.0B.1C.D.3【答案】A【分析】设M(m,n),n>0,I(s,t),t>0,则G(m3,n3),由已知,利用切线的性质和椭圆小学、初中、高中各种试卷真题知识归纳文案合同PPT等免费下载www.doc985.com小学、初中、高中各种试卷真题知识归纳文案合同PPT等免费下载www.doc985.com的焦半径公式得|MF1)−|MF2)=3+m3−(3−m3)=(s+1)−(1−s),得s=m3,由S△MF1F2=12n|F1F2)=12t(|MF1)+|MF2)+|F1F2)),得t=n4,则I(m3,n4),得⃗IG=(0,n12),又⃗F1F2=(2,0),所以⃗IG⋅⃗F1F2=0.【详解】设M(m,n),n>0,I(s,t),t>0,则G(m3,n3),因为椭圆,则|MF1)+|MF2)=6,|F1F2)=2,,F1(−1,0),F2(1,0),由切线的性质和椭圆的焦半径公式得|MF1)−|MF2)=3+m3−(3−m3)=(s+1)−(1−s),则s=m3,由S△MF1F2=12n|F1F2)=12t(|MF1)+|MF2)+|F1F2)),即2n=t(6+2),即t=n4,小学、初中、高中各种试卷真题知识归纳文案合同PPT等免费下载www.doc985.com小学、初中、高中各种试卷真题知识归纳文案合同PPT等免费下载www.doc985.com所以I(m3,n4),则⃗IG=(0,n12),又⃗F1F2=(2,0),所以⃗IG⋅⃗F1F2=0.故选:A.4.已知椭圆的左、右焦点分别为,若经过的弦满足,则椭圆的离心率是()A.B.C.D.【答案】A【分析】由题意,根据椭圆的定义可得,由,根据余弦定理可得,再由离心率公式求解即可.【详解】由题可知,小学、初中、高中各种试卷真题知识归纳文案合同PPT等免费下载www.doc985.com小学、初中、高中各种试卷真题知识归纳文案合同PPT等免费下载www.doc985.com所以,解得,由得,整理得,所以.故选:A.5.已知椭圆的左、右焦点分别为,过点的射线分别与椭圆和圆相交于点,过点作,垂足为为坐标原点,则()A.B.C.2D.【答案】C【分析】根据题意,得到,由椭圆的定义得到,则,得到为的中点,结合中位线定理,即可求解.【详解】由椭圆,可得,则,小学、初中、高中各种试卷真题知识归纳文案合同PPT等免费下载www.doc985.com小学、初中、高中各种试卷真题知识归纳文案合同PPT等免费下载www.doc985.com又由圆可化为,可得圆心,半径,则,根据椭圆的定义,可得,则,因为,可得为的中点,又因为为的中点,可得.故选:C.6.已知,分别是椭圆:的左、右焦点,过的直线与交于点,与轴交于点,,,则的离心率为()A.B.C.D.【答案】A【分析】设,根据条件求各边的长及,再在中用余弦定理求得与的关系,即可得解.【详解】设,因为,所以,,由对称性可得,又,所以,小...

1、当您付费下载文档后,您只拥有了使用权限,并不意味着购买了版权,文档只能用于自身使用,不得用于其他商业用途(如 [转卖]进行直接盈利或[编辑后售卖]进行间接盈利)。
2、本站所有内容均由合作方或网友上传,本站不对文档的完整性、权威性及其观点立场正确性做任何保证或承诺!文档内容仅供研究参考,付费前请自行鉴别。
3、如文档内容存在违规,或者侵犯商业秘密、侵犯著作权等,请点击“违规举报”。

碎片内容

与本文档类似文档
2025年新高考数学复习资料第十章 计数原理、概率、随机变量及其分布(测试)(原卷版).docx
2025年新高考数学复习资料第十章 计数原理、概率、随机变量及其分布(测试)(原卷版).docx
免费
1下载
2022春季高考(上海卷)数学试卷(解析版).docx
2022春季高考(上海卷)数学试卷(解析版).docx
免费
4下载
2024年新高考数学复习资料专题04 基本不等式(解析版).docx
2024年新高考数学复习资料专题04 基本不等式(解析版).docx
免费
1下载
2014年福建省高考数学试卷(文科).doc
2014年福建省高考数学试卷(文科).doc
免费
1下载
2021年上海市浦东新区高考数学二模试卷.doc
2021年上海市浦东新区高考数学二模试卷.doc
免费
1下载
2024版《大考卷》全程考评特训卷·数学·文科【统考版】点点练 21.docx
2024版《大考卷》全程考评特训卷·数学·文科【统考版】点点练 21.docx
免费
16下载
2024年新高考数学复习资料大题培优06导数(15大题型)(原卷版).docx
2024年新高考数学复习资料大题培优06导数(15大题型)(原卷版).docx
免费
1下载
2015上海高考文科数学真题及答案.doc
2015上海高考文科数学真题及答案.doc
免费
11下载
2007年上海高考数学真题(理科)试卷(word解析版).doc
2007年上海高考数学真题(理科)试卷(word解析版).doc
免费
3下载
2022·微专题·小练习·数学·文科【统考版】专练51.docx
2022·微专题·小练习·数学·文科【统考版】专练51.docx
免费
5下载
2024年新高考数学复习资料第26练 复数(精练:基础+重难点)【一轮复习讲义】2024年高考数学高频考点题型归纳与方法总结(新高考通用)原卷版.docx
2024年新高考数学复习资料第26练 复数(精练:基础+重难点)【一轮复习讲义】2024年高考数学高频考点题型归纳与方法总结(新高考通用)原卷版.docx
免费
1下载
精品解析:上海市奉贤区2025届高三上学期学科质量调研数学试题(原卷版).docx
精品解析:上海市奉贤区2025届高三上学期学科质量调研数学试题(原卷版).docx
免费
1下载
2023《微专题·小练习》·数学·新教材·XL-3专练 23.docx
2023《微专题·小练习》·数学·新教材·XL-3专练 23.docx
免费
10下载
2024年新高考数学复习资料跟踪训练05 数列求和(原卷版).docx
2024年新高考数学复习资料跟踪训练05 数列求和(原卷版).docx
免费
1下载
2016年高考真题数学【理】(山东卷)(原卷版).docx
2016年高考真题数学【理】(山东卷)(原卷版).docx
免费
22下载
高中数学·必修第一册(湘教版)课时作业(word)  课时作业(四十三).docx
高中数学·必修第一册(湘教版)课时作业(word) 课时作业(四十三).docx
免费
22下载
2025年新高考数学复习资料2025高考总复习专项复习--圆锥曲线的方程专题一.doc
2025年新高考数学复习资料2025高考总复习专项复习--圆锥曲线的方程专题一.doc
免费
3下载
2008年高考数学试卷(文)(四川)(非延考区)(空白卷).pdf
2008年高考数学试卷(文)(四川)(非延考区)(空白卷).pdf
免费
1下载
2024年新高考数学复习资料押新高考第1题 复数(原卷版).docx
2024年新高考数学复习资料押新高考第1题 复数(原卷版).docx
免费
1下载
精品解析:2022年北京市高考数学试题(原卷版).docx
精品解析:2022年北京市高考数学试题(原卷版).docx
免费
25下载
我的小文库
实名认证
内容提供者

提供高质量免费文档试卷下载,如果满意请告诉您身边的人,如果不满意请告诉我们,您的意见对于我们很重要,是我们不断进步的动力

阅读排行

确认删除?
回到顶部
客服号
  • 客服QQ点击这里给我发消息
QQ群
  • QQ群点击这里加入QQ群
提交所需资料详情,我们来帮找资料