高考数学解题技巧归纳专题03 解三角形(新高考地区专用)(原卷版).docx本文件免费下载 【共9页】

高考数学解题技巧归纳专题03 解三角形(新高考地区专用)(原卷版).docx
高考数学解题技巧归纳专题03 解三角形(新高考地区专用)(原卷版).docx
高考数学解题技巧归纳专题03 解三角形(新高考地区专用)(原卷版).docx
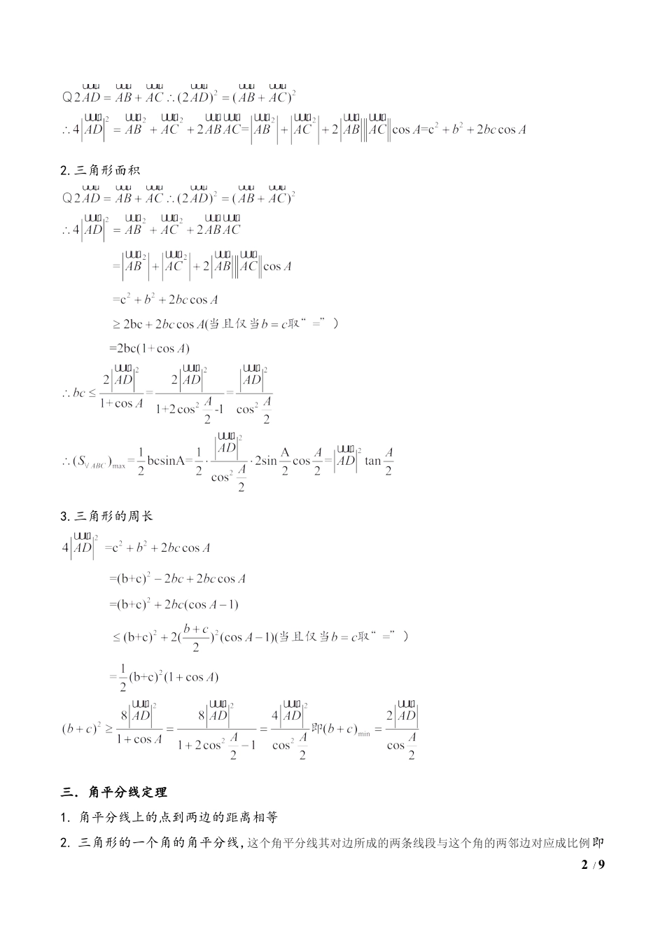
1/9专题03解三角形一.射影内容二.中线定理1.中线定理推导技巧导图技巧详讲2/92.三角形面积3.三角形的周长三.角平分线定理1.角平分线上的点到两边的距离相等2.三角形的一个角的角平分线,这个角平分线其对边所成的两条线段与这个角的两邻边对应成比例即3/9技巧一三角形的射影定理【例1】(2017•新课标Ⅱ)的内角,,的对边分别为,,,若,则.【举一反三】1.(2020•青岛模拟)在中,内角,,所对的边分别是,,,若,且,则B=2(2020•安徽模拟)在中,角,,的对边分别为,,.若,,,则的面积为。3(2020•南充模拟)的内角,,的对边分别为,,,若,则内角C=。技巧举证4/9技巧2三角形的中线定理【例2】(2020·梅河口市第五中学高三(理))在中,,已知边上的中线,则面积的最大值为__________.【举一反三】1.(2020·广东高三月考(理))在中,,已知BC边上的中线,则面积的最大值为______.2.(2020·全国)在锐角三角形中,角、、的对边分别为、、,向量,,且.(1)求角;(2)若,且的面积为,求边上的中线的大小.5/9技巧3角平分线的定理【例3】(2020·梅河口市第五中学)已知中,.是的角平分线,交于.(Ⅰ)求的值;(Ⅱ)求的长.6/9【举一反三】1.(2019·江苏)在中,,,角A的角平分线,则______.2.(2020·梅河口市第五中学高一期末(文))已知中,是的角平分线,交于.(1)求的值;(2)若,求.7/93.(2019·河南高考模拟(理))在中,,,为的内角平分线,.(Ⅰ)求的值(Ⅱ)求角的大小1.(2020春•上饶月考)在中,角,,的对边分别是,,,且面积为,若,,则角等于2.(2020春•路南区校级月考)在中,内角,,所对的边分别为,,,且.若,的面积为,则b+c=技巧强化8/93.(2019·福建高三(理))已知为等腰三角形,,边上的中线的长为7,则的面积为__________.4.(2020·本溪市燕东高级中学)已知三角形两边长分别为和,第三边上的中线长为,则三角形的外接圆半径为________.5.(2020·浙江省杭州第二中学高三)中,,,,则边上的中线6.(2020·商丘市第一高级中学)在中,,.边上的中线,则_____.7.(2020·新疆高三月考(理))在中,已知,,BC边上的中线,则________.8.(2019·浙江)若锐角的面积为,则边上的中线为_________.9.(2019·辽宁高三(理))已知△,,,是边上的中线,且,则的长为__________.9/910.(2020·全国高三月考(理))在中,角的平分线长,角,,则__________.11.(2020·滨海县八滩中学高三)在中,,,的角平分线,则________.12.(2020·全国)在中,,的角平分线交于点,若,,则______.13.(2020·安徽高三月考(理))在中,已知,,,角的平分线交边于,则______.

1、当您付费下载文档后,您只拥有了使用权限,并不意味着购买了版权,文档只能用于自身使用,不得用于其他商业用途(如 [转卖]进行直接盈利或[编辑后售卖]进行间接盈利)。
2、本站所有内容均由合作方或网友上传,本站不对文档的完整性、权威性及其观点立场正确性做任何保证或承诺!文档内容仅供研究参考,付费前请自行鉴别。
3、如文档内容存在违规,或者侵犯商业秘密、侵犯著作权等,请点击“违规举报”。

碎片内容

与本文档类似文档
高中2024版《微专题》·数学·新高考专练 53.docx
高中2024版《微专题》·数学·新高考专练 53.docx
免费
1下载
专题08 平面解析几何(解答题)(解析版).docx
专题08 平面解析几何(解答题)(解析版).docx
免费
1下载
2015年重庆高考文科数学试卷及答案.doc
2015年重庆高考文科数学试卷及答案.doc
免费
1下载
2025年新高考数学复习资料集合与常用逻辑用语——2025高考数学一轮复习易混易错专项复习(含解析).docx
2025年新高考数学复习资料集合与常用逻辑用语——2025高考数学一轮复习易混易错专项复习(含解析).docx
免费
1下载
2013年重庆市高考数学试卷(文科).doc
2013年重庆市高考数学试卷(文科).doc
免费
1下载
2025版新高考版 数学考点清单+题型清单05专题五三角函数与解三角形1_5.2  三角恒等变换讲解册.pdf
2025版新高考版 数学考点清单+题型清单05专题五三角函数与解三角形1_5.2 三角恒等变换讲解册.pdf
免费
21下载
2021年高考数学试卷(文)(全国乙卷)(新课标Ⅰ)(空白卷).pdf
2021年高考数学试卷(文)(全国乙卷)(新课标Ⅰ)(空白卷).pdf
免费
1下载
高考数学专题23 导数及其应用大题综合(学生卷)- 十年(2015-2024)高考真题数学分项汇编(全国通用).docx
高考数学专题23 导数及其应用大题综合(学生卷)- 十年(2015-2024)高考真题数学分项汇编(全国通用).docx
免费
1下载
2016年高考数学试卷(文)(新课标Ⅱ)(解析卷) (9).pdf
2016年高考数学试卷(文)(新课标Ⅱ)(解析卷) (9).pdf
免费
1下载
2011年高考数学试卷(文)(陕西)(空白卷).doc
2011年高考数学试卷(文)(陕西)(空白卷).doc
免费
1下载
2024年新高考数学复习资料专题24 变量间的相关关系、统计案例(原卷版).docx
2024年新高考数学复习资料专题24 变量间的相关关系、统计案例(原卷版).docx
免费
1下载
2024年新高考数学复习资料第03讲 极值与最值(练习)(原卷版).docx
2024年新高考数学复习资料第03讲 极值与最值(练习)(原卷版).docx
免费
1下载
2023《微专题·小练习》·数学·新教材·XL-3专练 52.docx
2023《微专题·小练习》·数学·新教材·XL-3专练 52.docx
免费
5下载
高中2024版考评特训卷·数学·理科【统考版】点点练 24.docx
高中2024版考评特训卷·数学·理科【统考版】点点练 24.docx
免费
1下载
2025年4月嘉兴市高三二模试卷.docx
2025年4月嘉兴市高三二模试卷.docx
免费
1下载
2024年高考数学试卷(上海)(秋考)(回忆版)(解析卷) (2).docx
2024年高考数学试卷(上海)(秋考)(回忆版)(解析卷) (2).docx
免费
1下载
2024年新高考数学复习资料重难点7-2 圆锥曲线综合应用(7题型+满分技巧+限时检测)(解析版).docx
2024年新高考数学复习资料重难点7-2 圆锥曲线综合应用(7题型+满分技巧+限时检测)(解析版).docx
免费
1下载
高中数学·必修第一册(RJ-A版)课时作业WORD  课时作业 27.docx
高中数学·必修第一册(RJ-A版)课时作业WORD 课时作业 27.docx
免费
4下载
精品解析:上海市普陀区2023届高考一模数学试题(解析版).docx
精品解析:上海市普陀区2023届高考一模数学试题(解析版).docx
免费
1下载
2021年高考数学试卷(文)(全国乙卷)(新课标Ⅰ)(解析卷) (11).pdf
2021年高考数学试卷(文)(全国乙卷)(新课标Ⅰ)(解析卷) (11).pdf
免费
1下载
我的小文库
实名认证
内容提供者

提供高质量免费文档试卷下载,如果满意请告诉您身边的人,如果不满意请告诉我们,您的意见对于我们很重要,是我们不断进步的动力

阅读排行

确认删除?
回到顶部
客服号
  • 客服QQ点击这里给我发消息
QQ群
  • QQ群点击这里加入QQ群
提交所需资料详情,我们来帮找资料