2021届江苏省常州市前黄高级中学高三下学期一模适应性考试数学试题(原卷版).doc本文件免费下载 【共6页】

2021届江苏省常州市前黄高级中学高三下学期一模适应性考试数学试题(原卷版).doc
2021届江苏省常州市前黄高级中学高三下学期一模适应性考试数学试题(原卷版).doc
2021届江苏省常州市前黄高级中学高三下学期一模适应性考试数学试题(原卷版).doc
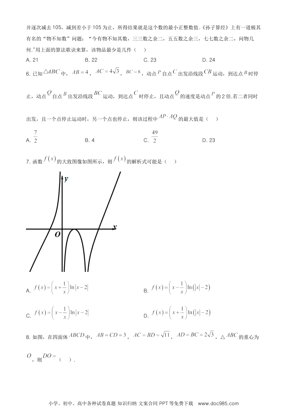
2021届高三第二学期一模适应性考试数学试卷一、单项选择题(本大题共8小题,每小题5分,共计40分.在每小题给出的四个选项中,只有一个是符合题目要求)1.设集合,,则()A.B.C.D.2.已知复数,为的共轭复数,则()A.B.C.D.3.马林·梅森(MarinMersenne,1588-1648)是17世纪法国著名的数学家和修道士,也是当时欧洲科学界一位独特的中心人物.梅森在欧几里得费马等人研究的基础上对、作了大量的计算验证工作,人们为、纪念梅森在数论方面的这一贡献,将形如(其中是素数)的素数,称为梅森素数.在不超过40的素数中,随机选取两个不同的数,至少有一个为梅森素数的概率是()A.B.C.D.4.已知参加2020年某省夏季高考的53万名考生的成绩近似地服从正态分布,估计这些考生成绩落在的人数约为()(附:,则,)A.36014B.72027C.108041D.1682225.明朝的程大位在《算法统宗》中(1592年),有这么个算法歌诀:三人同行七十稀,五树梅花廿一枝,七子团圆正半月,除百零五便得知.它的意思是说:求某个数(正整数)的最小正整数值,可以将某数除以3所得的余数乘以70,除以5所得的余数乘以21,除以7所得的余数乘以15,再将所得的三个积相加,小学、初中、高中各种试卷真题知识归纳文案合同PPT等免费下载www.doc985.com并逐次减去105,减到差小于105为止,所得结果就是这个数的最小正整数值.《孙子算经》上有一道极其有名的“物不知数”问题:“今有物不知其数,三三数之余二,五五数之余三,七七数之余二,问物几何.”用上面的算法歌诀来算,该物品最少是几件()A.21B.22C.23D.246.已知中,,,,动点自点出发沿线段运动,到达点时停止,动点自点出发沿线段运动,到达点时停止,且动点的速度是动点的2倍.若二者同时出发,且一个点停止运动时,另一个点也停止,则该过程中的最大值是()A.B.4C.D.237.函数的大致图像如图所示,则的解析式可能是()A.B.C.D.8.如图,在四面体中,,,,△的重心为,则().小学、初中、高中各种试卷真题知识归纳文案合同PPT等免费下载www.doc985.comA.2B.C.D.3二、多项选择题:本大题共4小题,每小题5分,共20分.在每小题给出的四个选项中,有多项符合题目要求,请把答案填涂在答题卡相应位置上.全部选对得5分,部分选对得2分,不选或有错选的得0分.9.下列命题为真命题的是()A.若,则B.若,则C.若,则D.若,则10.设m,n是两条不同的直线,α,β是两个不同的平面,下列说法正确的是()A.若m⊥α,n⊥α,则mnB.若α⊥β,m⊥β,mα,则mαC.若α⊥β,m⊂α,则D.若m⊂α,n⊂α,mβ,nβ,则αβ11.二项展开式,则()A.B.C.D.12.已知函数,且对任意都有,则()A.的最小正周期为B.在上单调递增小学、初中、高中各种试卷真题知识归纳文案合同PPT等免费下载www.doc985.comC.是的一个零点D.三、填空题:本大题共4小题,每小题5分,共20分.请把答案填写在答题卡相应位置上.13.已知双曲线的渐近线与圆相切,且双曲线C的一个焦点与圆F的圆心重合,则双曲线C的方程为________.14.已知函数则时,的最小值为________;设若函数有6个零点,则实数的取值范围是________.15.在中,,点在线段上,且满足,,则______.16.定义函数,其中表示不超过的最大整数,例如:,,.当时,的值域为.记集合中元素的个数为,则的值为________.四、解答题:本大题共6小题,共70分.请在答题卡指定区域内作答,解答时应写出必要的文字说明,证明过程或演算步骤.17.已知正项数列的前项和为.若.(1)求证:数列是等差数列;(2)设,求数列的前项和.18.在①;②;③三边成等比数列.这三个条件中任选一个,补充在下面问题中,若问题中的三角形存在,求解此三角形的边长和角的大小;若问题中的三角形不存在,请说明理由.问题:是否存在,它的内角、、的对边分别为、、,且,,小学、初中、高中各种试卷真题知识归纳文案合同PPT等免费下载www.doc985.com______________.注:如果选择多个条件分别解答,按第一个解答计分.19.某士特产超市为预估2021年元旦期间游客购买土特产的情况,对2020年元且期间的90位游客购买情况进行统计,得到如下人数分布表.购买金额(元)人数101520152010(1...

1、当您付费下载文档后,您只拥有了使用权限,并不意味着购买了版权,文档只能用于自身使用,不得用于其他商业用途(如 [转卖]进行直接盈利或[编辑后售卖]进行间接盈利)。
2、本站所有内容均由合作方或网友上传,本站不对文档的完整性、权威性及其观点立场正确性做任何保证或承诺!文档内容仅供研究参考,付费前请自行鉴别。
3、如文档内容存在违规,或者侵犯商业秘密、侵犯著作权等,请点击“违规举报”。

碎片内容

与本文档类似文档
2017年高考数学试卷(理)(浙江)(空白卷).pdf
2017年高考数学试卷(理)(浙江)(空白卷).pdf
免费
1下载
2015年高考数学试卷(文)(新课标Ⅱ)(解析卷) (5).pdf
2015年高考数学试卷(文)(新课标Ⅱ)(解析卷) (5).pdf
免费
1下载
2017年高考数学真题(理科)(天津自主命题).docx
2017年高考数学真题(理科)(天津自主命题).docx
免费
11下载
2025年新高考数学复习资料2025届高中数学一轮复习讲义:第四章第1讲 导数的概念与运算(含解析).docx
2025年新高考数学复习资料2025届高中数学一轮复习讲义:第四章第1讲 导数的概念与运算(含解析).docx
免费
1下载
1991年广西高考理科数学真题及答案.doc
1991年广西高考理科数学真题及答案.doc
免费
20下载
高中数学·选择性必修·第一册·北师大版课时作业WORD  课时作业(四十).doc
高中数学·选择性必修·第一册·北师大版课时作业WORD 课时作业(四十).doc
免费
2下载
2021年高考数学试卷(理)(全国乙卷)(新课标Ⅰ)(空白卷) (13).docx
2021年高考数学试卷(理)(全国乙卷)(新课标Ⅰ)(空白卷) (13).docx
免费
1下载
2018年高考数学试卷(文)(新课标Ⅰ)(解析卷).pdf
2018年高考数学试卷(文)(新课标Ⅰ)(解析卷).pdf
免费
1下载
精品解析:上海市虹口区2023届高考一模数学试题(解析版).docx
精品解析:上海市虹口区2023届高考一模数学试题(解析版).docx
免费
1下载
1998年辽宁高考理科数学真题及答案.doc
1998年辽宁高考理科数学真题及答案.doc
免费
12下载
2025年新高考数学复习资料2024年新高考Ⅱ卷真题知识点平行模拟卷(考试版A4)-2025年高考数学一轮复习讲义及高频考点归纳与方法总结(新高考通用).docx
2025年新高考数学复习资料2024年新高考Ⅱ卷真题知识点平行模拟卷(考试版A4)-2025年高考数学一轮复习讲义及高频考点归纳与方法总结(新高考通用).docx
免费
1下载
专题14三角函数与解三角形第一缉(原卷版)-备战2022年高中数学联赛之历年真题分类汇编(2015-2021).docx
专题14三角函数与解三角形第一缉(原卷版)-备战2022年高中数学联赛之历年真题分类汇编(2015-2021).docx
免费
11下载
2024年新高考数学复习资料专题24 圆锥曲线与外心问题(原卷版).docx
2024年新高考数学复习资料专题24 圆锥曲线与外心问题(原卷版).docx
免费
1下载
高中2024版《微专题》·数学(文)·统考版专练 56.docx
高中2024版《微专题》·数学(文)·统考版专练 56.docx
免费
1下载
2025年新高考数学复习资料第03讲 二项式定理(十五大题型)(讲义)(解析版).docx
2025年新高考数学复习资料第03讲 二项式定理(十五大题型)(讲义)(解析版).docx
免费
1下载
2002年宁夏高考理科数学真题及答案.doc
2002年宁夏高考理科数学真题及答案.doc
免费
24下载
1990年高考数学真题(理科)(陕西自主命题).doc
1990年高考数学真题(理科)(陕西自主命题).doc
免费
23下载
2022年高考数学试卷(文)(全国甲卷)(解析卷) (6).docx
2022年高考数学试卷(文)(全国甲卷)(解析卷) (6).docx
免费
1下载
2015年湖北省高考数学试卷(文科)往年高考真题.doc
2015年湖北省高考数学试卷(文科)往年高考真题.doc
免费
1下载
2024年新高考数学复习资料第20练 三角函数的图像与性质(精练:基础+重难点)【一轮复习讲义】2024年高考数学高频考点题型归纳与方法总结(新高考通用)原卷版.docx
2024年新高考数学复习资料第20练 三角函数的图像与性质(精练:基础+重难点)【一轮复习讲义】2024年高考数学高频考点题型归纳与方法总结(新高考通用)原卷版.docx
免费
1下载
我的小文库
实名认证
内容提供者

提供高质量免费文档试卷下载,如果满意请告诉您身边的人,如果不满意请告诉我们,您的意见对于我们很重要,是我们不断进步的动力

阅读排行

确认删除?
回到顶部
客服号
  • 客服QQ点击这里给我发消息
QQ群
  • QQ群点击这里加入QQ群
提交所需资料详情,我们来帮找资料