高考数学复习 2025届新高三阶段性检测02(基础版)(范围:检测范围1至三角函数与解三角形、平面向量、数列)(解析板).docx本文件免费下载 【共20页】

高考数学复习  2025届新高三阶段性检测02(基础版)(范围:检测范围1至三角函数与解三角形、平面向量、数列)(解析板).docx
高考数学复习  2025届新高三阶段性检测02(基础版)(范围:检测范围1至三角函数与解三角形、平面向量、数列)(解析板).docx
高考数学复习  2025届新高三阶段性检测02(基础版)(范围:检测范围1至三角函数与解三角形、平面向量、数列)(解析板).docx
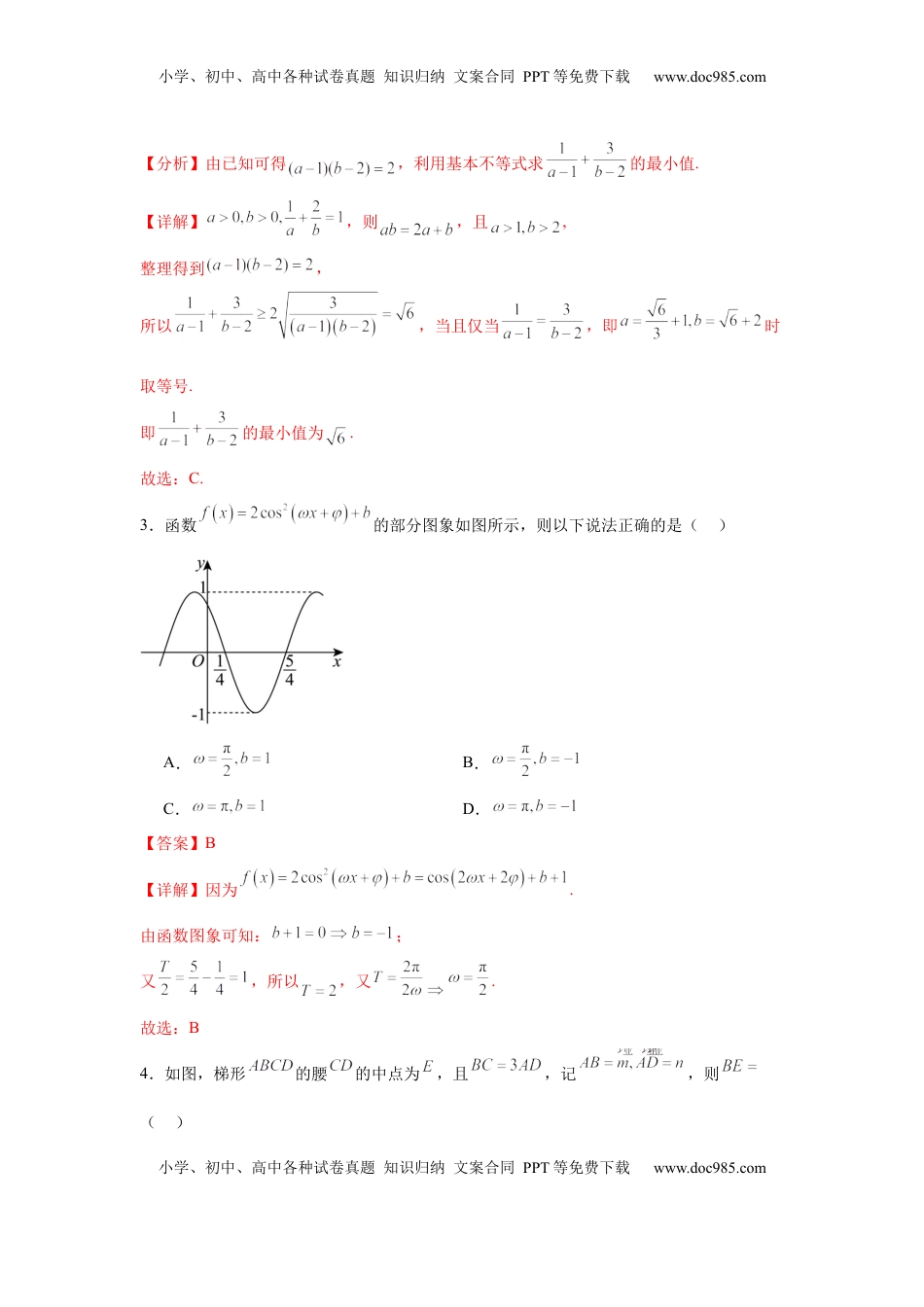
小学、初中、高中各种试卷真题知识归纳文案合同PPT等免费下载www.doc985.com小学、初中、高中各种试卷真题知识归纳文案合同PPT等免费下载www.doc985.com保密★启用前2025届新高三阶段性检测02(基础版)(范围:检测范围1至三角函数与解三角形、平面向量、数列)(新课标卷)注意事项:1.答题前,先将自己的姓名、准考证号、考场号、座位号填写在试卷和答题卡上,并将准考证号条形码粘贴在答题卡上的指定位置.2.选择题的作答:每小题选出答案后,用2B铅笔把答题卡上对应题目的答案标号涂黑.写在试卷、草稿纸和答题卡上的非答题区域均无效.3.考试结束后,请将本试卷和答题卡一并上交.一、单项选择题:本大题共8小题,每小题5分,共40分.在每小题给出的四个选项中,只有一个选项是正确的.请把正确的选项填涂在答题卡相应的位置上.1.已知集合,,则()A.B.C.D.【答案】D【分析】先化简集合,再根据交集运算即可.【详解】由,得,所以,所以.故选:D.2.,则的最小值为()A.B.C.D.6【答案】C小学、初中、高中各种试卷真题知识归纳文案合同PPT等免费下载www.doc985.com小学、初中、高中各种试卷真题知识归纳文案合同PPT等免费下载www.doc985.com【分析】由已知可得,利用基本不等式求的最小值.【详解】,则,且,整理得到,所以,当且仅当,即时取等号.即的最小值为.故选:C.3.函数的部分图象如图所示,则以下说法正确的是()A.B.C.D.【答案】B【详解】因为.由函数图象可知:;又,所以,又.故选:B4.如图,梯形的腰的中点为,且,记,则()小学、初中、高中各种试卷真题知识归纳文案合同PPT等免费下载www.doc985.com小学、初中、高中各种试卷真题知识归纳文案合同PPT等免费下载www.doc985.comA.B.C.D.【答案】A【分析】根据图形,利用向量的几何运算得到,即可求解.【详解】因为,又,所以,又为腰的中点,所以,故选:A.5.设为等差数列的前n项和,若,,若时,,则等于()A.11B.12C.20D.22【答案】D【详解】设公差为,由,得,所以,由,得故,小学、初中、高中各种试卷真题知识归纳文案合同PPT等免费下载www.doc985.com小学、初中、高中各种试卷真题知识归纳文案合同PPT等免费下载www.doc985.com则,因为,所以,化简得,解得或(舍去).故选:D.6.正整数的倒数的和已经被研究了几百年,但是迄今为止仍然没有得到它的求和公式,只是得到了它的近似公式,当很大时,.其中称为欧拉-马歇罗尼常数,,至今为止都不确定是有理数还是无理数.设表示不超过的最大整数,用上式计算的值为()(参考数据:,,)A.10B.9C.8D.7【答案】C【分析】设,分析可知数列为递增数列,结合题中数据估算可知,即可得结果.【详解】设,则,因为,小学、初中、高中各种试卷真题知识归纳文案合同PPT等免费下载www.doc985.com小学、初中、高中各种试卷真题知识归纳文案合同PPT等免费下载www.doc985.com可知数列为递增数列,且,,可知,所以.故选:C.7.已知平行四边形中,,,分别为边,的中点,若,则四边形面积的最大值为()A.2B.C.4D.【答案】D【分析】建立适当的平面直角坐标系,设,写出各个点的坐标,将转换成条件等式,结合平行四边形面积公式以及基本不等式即可求解.【详解】以点为原点,所在直线为轴建立如图所示的平面直角坐标系,设,则,小学、初中、高中各种试卷真题知识归纳文案合同PPT等免费下载www.doc985.com小学、初中、高中各种试卷真题知识归纳文案合同PPT等免费下载www.doc985.com所以,所以,从而,即,等号成立当且仅当,四边形面积的表达式为,从而,等号成立当且仅当,所以四边形面积的最大值为.故选:D.8.给出定义:若函数在D上可导,即存在,且导函数在D上也可导,则称在D上存在二阶导数,记.若在D上恒成立,则称在D上为凸函数.以下四个函数在上不是是凸函数的是()A.B.C.D.【答案】D【分析】根据给出的导数新定义逐项判断即可.【详解】对于A:,,,小学、初中、高中各种试卷真题知识归纳文案合同PPT等免费下载www.doc985.com小学、初中、高中各种试卷真题知识归纳文案合同PPT等免费下载www.doc985.com则在上恒有,故A错误;对于B:...

1、当您付费下载文档后,您只拥有了使用权限,并不意味着购买了版权,文档只能用于自身使用,不得用于其他商业用途(如 [转卖]进行直接盈利或[编辑后售卖]进行间接盈利)。
2、本站所有内容均由合作方或网友上传,本站不对文档的完整性、权威性及其观点立场正确性做任何保证或承诺!文档内容仅供研究参考,付费前请自行鉴别。
3、如文档内容存在违规,或者侵犯商业秘密、侵犯著作权等,请点击“违规举报”。

碎片内容

与本文档类似文档
高中2022·微专题·小练习·数学·理科【统考版】专练61.docx
高中2022·微专题·小练习·数学·理科【统考版】专练61.docx
免费
0下载
2024年高考数学试卷(北京)(解析卷) (2).docx
2024年高考数学试卷(北京)(解析卷) (2).docx
免费
0下载
精品解析:上海市虹口区2024届高三下学期期中学生学习能力诊断测试(二模)数学试卷(原卷版).docx
精品解析:上海市虹口区2024届高三下学期期中学生学习能力诊断测试(二模)数学试卷(原卷版).docx
免费
0下载
2024年新高考数学复习资料第58讲 章末检测八(原卷版).docx
2024年新高考数学复习资料第58讲 章末检测八(原卷版).docx
免费
0下载
2024年新高考数学复习资料跟踪训练06 向量法求空间角和距离(原卷版).docx
2024年新高考数学复习资料跟踪训练06 向量法求空间角和距离(原卷版).docx
免费
0下载
高中2024版考评特训卷·数学·文科【统考版】点点练 8.docx
高中2024版考评特训卷·数学·文科【统考版】点点练 8.docx
免费
0下载
2014年广东省高考数学试卷(理科).doc
2014年广东省高考数学试卷(理科).doc
免费
0下载
2024年新高考数学复习资料2024年高考数学一轮复习(新高考版) 第10章 §10.1 两个计数原理.docx
2024年新高考数学复习资料2024年高考数学一轮复习(新高考版) 第10章 §10.1 两个计数原理.docx
免费
0下载
高考数学专题16 导数及其应用小题综合(教师卷)- 十年(2015-2024)高考真题数学分项汇编(全国通用).docx
高考数学专题16 导数及其应用小题综合(教师卷)- 十年(2015-2024)高考真题数学分项汇编(全国通用).docx
免费
0下载
1990年高考数学真题(理科)(天津自主命题).doc
1990年高考数学真题(理科)(天津自主命题).doc
免费
25下载
2024年新高考数学复习资料素养拓展14 平面向量中等和线的应用(精讲+精练)【一轮复习讲义】2024年高考数学高频考点题型归纳与方法总结(新高考通用)原卷版.docx
2024年新高考数学复习资料素养拓展14 平面向量中等和线的应用(精讲+精练)【一轮复习讲义】2024年高考数学高频考点题型归纳与方法总结(新高考通用)原卷版.docx
免费
0下载
高中数学·必修第四册·RJ-B课时作业(word)  详解答案.docx
高中数学·必修第四册·RJ-B课时作业(word) 详解答案.docx
免费
12下载
2015年高考数学试卷(文)(四川)(解析卷).doc
2015年高考数学试卷(文)(四川)(解析卷).doc
免费
0下载
2003年山西高考理科数学真题及答案.doc
2003年山西高考理科数学真题及答案.doc
免费
30下载
高中数学•选择性必修·第二册(BSD版)课时作业WORD  本册质量检测.docx
高中数学•选择性必修·第二册(BSD版)课时作业WORD 本册质量检测.docx
免费
9下载
2012年辽宁高考文科数学试题及答案.doc
2012年辽宁高考文科数学试题及答案.doc
免费
2下载
2025年新高考数学复习资料2025届高中数学一轮复习讲义:第九章第5讲 椭圆(一)(含解析).docx
2025年新高考数学复习资料2025届高中数学一轮复习讲义:第九章第5讲 椭圆(一)(含解析).docx
免费
0下载
2009年高考数学试卷(文)(全国卷Ⅰ)(空白卷) (2).pdf
2009年高考数学试卷(文)(全国卷Ⅰ)(空白卷) (2).pdf
免费
0下载
2024版《大考卷》全程考评特训卷·数学【新教材】考点练38.docx
2024版《大考卷》全程考评特训卷·数学【新教材】考点练38.docx
免费
10下载
2008年浙江省高考数学【理】(含解析版).doc
2008年浙江省高考数学【理】(含解析版).doc
免费
28下载
我的小文库
实名认证
内容提供者

提供高质量免费文档试卷下载,如果满意请告诉您身边的人,如果不满意请告诉我们,您的意见对于我们很重要,是我们不断进步的动力

阅读排行

确认删除?
回到顶部
客服号
  • 客服QQ点击这里给我发消息
QQ群
  • QQ群点击这里加入QQ群
提交所需资料详情,我们来帮找资料