高中数学 必修2 6.3.1 平面向量基本定理(原卷版).doc本文件免费下载 【共5页】

高中数学 必修2   6.3.1 平面向量基本定理(原卷版).doc
高中数学 必修2   6.3.1 平面向量基本定理(原卷版).doc
高中数学 必修2   6.3.1 平面向量基本定理(原卷版).doc
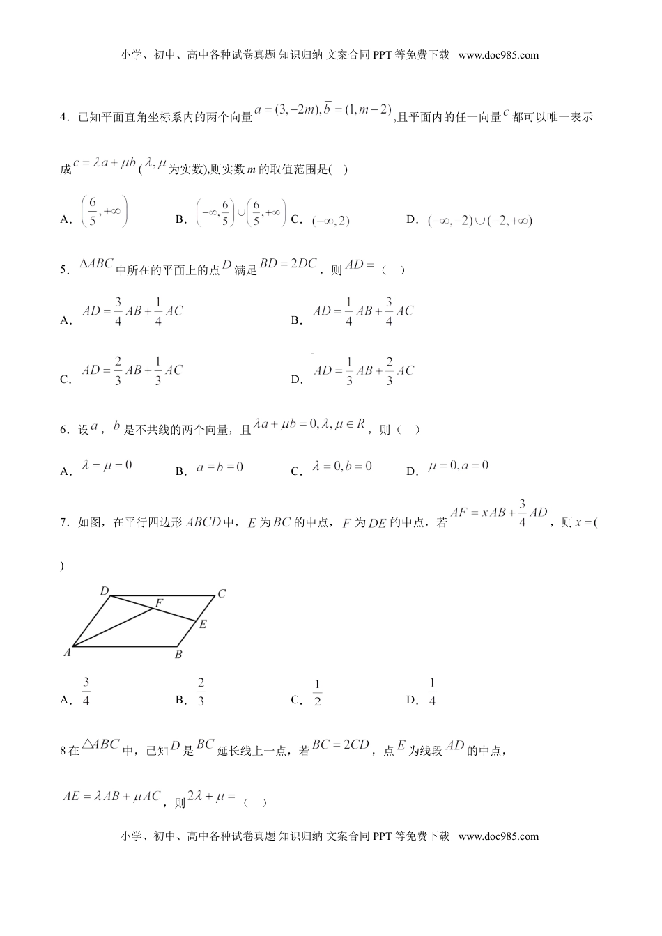
小学、初中、高中各种试卷真题知识归纳文案合同PPT等免费下载www.doc985.com第六章平面向量及其应用6.3.1平面向量基本定理一、基础巩固1.下列各组向量中,可以作为基底的是().A.,B.,C.,D.,2.在中,,则等于()A.B.C.D.3.如图所示,,分别是的边,上的点,且,,则向量().A.B.C.D.小学、初中、高中各种试卷真题知识归纳文案合同PPT等免费下载www.doc985.com小学、初中、高中各种试卷真题知识归纳文案合同PPT等免费下载www.doc985.com4.已知平面直角坐标系内的两个向量,且平面内的任一向量都可以唯一表示成(为实数),则实数m的取值范围是()A.B.C.D.5.中所在的平面上的点满足,则()A.B.C.D.6.设,是不共线的两个向量,且,则()A.B.C.D.7.如图,在平行四边形中,为的中点,为的中点,若,则()A.B.C.D.8在中,已知是延长线上一点,若,点为线段的中点,,则()小学、初中、高中各种试卷真题知识归纳文案合同PPT等免费下载www.doc985.com小学、初中、高中各种试卷真题知识归纳文案合同PPT等免费下载www.doc985.comA.B.C.D.9.(多选)下列各组向量中,不能作为基底的是()A.,B.,C.,D.,10.(多选)已知M为△ABC的重心,D为BC的中点,则下列等式成立的是()A.B.C.D.11.(多选)如果是平面α内两个不共线的向量,那么下列说法中不正确的是()A.(λ,μ∈R)可以表示平面α内的所有向量B.对于平面α内任一向量,使的实数对(λ,μ)有无穷多个C.若向量与共线,则有且只有一个实数λ,使得D.若实数λ,μ使得,则λ=μ=012.(多选)已知正方形的边长为,向量,满足,,则()A.B.C.D.小学、初中、高中各种试卷真题知识归纳文案合同PPT等免费下载www.doc985.com小学、初中、高中各种试卷真题知识归纳文案合同PPT等免费下载www.doc985.com二、拓展提升13.如图,设,,又,试用,表示.14.如图,在任意四边形ABCD中,(1)已知E、F分别是AD、BC的中点求证:.(2)已知,用,表示向量.15.已知点G是的重心,M是边的中点.若过的重心G,且小学、初中、高中各种试卷真题知识归纳文案合同PPT等免费下载www.doc985.com小学、初中、高中各种试卷真题知识归纳文案合同PPT等免费下载www.doc985.com,求证:.小学、初中、高中各种试卷真题知识归纳文案合同PPT等免费下载www.doc985.com

1、当您付费下载文档后,您只拥有了使用权限,并不意味着购买了版权,文档只能用于自身使用,不得用于其他商业用途(如 [转卖]进行直接盈利或[编辑后售卖]进行间接盈利)。
2、本站所有内容均由合作方或网友上传,本站不对文档的完整性、权威性及其观点立场正确性做任何保证或承诺!文档内容仅供研究参考,付费前请自行鉴别。
3、如文档内容存在违规,或者侵犯商业秘密、侵犯著作权等,请点击“违规举报”。

碎片内容

与本文档类似文档
高一数学 第2节 空间向量的应用:证平行、垂直与求角:练习册答案+解析 (1).pdf
高一数学 第2节 空间向量的应用:证平行、垂直与求角:练习册答案+解析 (1).pdf
免费
0下载
高一数学期中测试卷01(人教A版2019)(测试范围:必修第二册第六、七、八章)(原卷版).doc
高一数学期中测试卷01(人教A版2019)(测试范围:必修第二册第六、七、八章)(原卷版).doc
免费
24下载
高中数学 必修1单元卷(原卷).docx
高中数学 必修1单元卷(原卷).docx
免费
0下载
高一数学期中测试卷02(人教A版2019)(测试范围:必修第二册第六、七、八章)(解析版).doc
高一数学期中测试卷02(人教A版2019)(测试范围:必修第二册第六、七、八章)(解析版).doc
免费
22下载
高中数学 必修2   【新教材精创】8.6.2 直线与平面垂直(第2课时)直线与平面垂直的性质 练习(1)(原卷版).docx
高中数学 必修2 【新教材精创】8.6.2 直线与平面垂直(第2课时)直线与平面垂直的性质 练习(1)(原卷版).docx
免费
0下载
高一数学 2解三角形中的化边类问题(有答案).pdf
高一数学 2解三角形中的化边类问题(有答案).pdf
免费
0下载
高一数学2.2.1基本不等式限时作业(第一课时)-【新教材】人教A版(2019)高中数学必修第一册限时作业.doc
高一数学2.2.1基本不等式限时作业(第一课时)-【新教材】人教A版(2019)高中数学必修第一册限时作业.doc
免费
17下载
高中 2023二轮专项分层特训卷•数学·理科【统考版】4.7.docx
高中 2023二轮专项分层特训卷•数学·理科【统考版】4.7.docx
免费
0下载
高中 2023二轮专项分层特训卷•数学·文科【统考版】主观题专练 8.docx
高中 2023二轮专项分层特训卷•数学·文科【统考版】主观题专练 8.docx
免费
0下载
高一数学 第3节 不等式的三角换元方法:方法册+练习册.pdf
高一数学 第3节 不等式的三角换元方法:方法册+练习册.pdf
免费
0下载
江苏省南京市2022-2023学年高一上学期期末数学试题(教师版含解析).docx
江苏省南京市2022-2023学年高一上学期期末数学试题(教师版含解析).docx
免费
0下载
高中 数学·必修第二册·湘教版课时作业WORD课时作业(七).docx
高中 数学·必修第二册·湘教版课时作业WORD课时作业(七).docx
免费
0下载
浙江省嘉兴市2022-2023学年高一下学期期末数学试题(教师版含解析).docx
浙江省嘉兴市2022-2023学年高一下学期期末数学试题(教师版含解析).docx
免费
0下载
高一数学【新教材精创】6.4.1 平面几何中的向量方法 练习(1)(原卷版).docx
高一数学【新教材精创】6.4.1 平面几何中的向量方法 练习(1)(原卷版).docx
免费
8下载
高一数学【新教材精创】10.1.2 事件的关系和运算 练习(1)(原卷版).docx
高一数学【新教材精创】10.1.2 事件的关系和运算 练习(1)(原卷版).docx
免费
10下载
高中 数学·必修第一册(RJ-B版)课时作业(word)章末质量检测(三) .docx
高中 数学·必修第一册(RJ-B版)课时作业(word)章末质量检测(三) .docx
免费
0下载
高中 数学·选择性必修·第三册·(RJ-A版)课时作业WORD课时作业(六).docx
高中 数学·选择性必修·第三册·(RJ-A版)课时作业WORD课时作业(六).docx
免费
0下载
高中 数学·选择性必修·第二册·湘教版课时作业WORD课时作业(八).docx
高中 数学·选择性必修·第二册·湘教版课时作业WORD课时作业(八).docx
免费
0下载
高一数学期末综合测试卷一-【新教材】人教A版(2019)高中数学必修第一册.docx
高一数学期末综合测试卷一-【新教材】人教A版(2019)高中数学必修第一册.docx
免费
31下载
高中 数学·选择性必修·第一册·北师大版课时作业WORD课时作业(十一).doc
高中 数学·选择性必修·第一册·北师大版课时作业WORD课时作业(十一).doc
免费
0下载
我的小文库
实名认证
内容提供者

提供高质量免费文档试卷下载,如果满意请告诉您身边的人,如果不满意请告诉我们,您的意见对于我们很重要,是我们不断进步的动力

相关文档

阅读排行

确认删除?
回到顶部
客服号
  • 客服QQ点击这里给我发消息
QQ群
  • QQ群点击这里加入QQ群
提交所需资料详情,我们来帮找资料