第十四章 整式的乘法与因式分解-【过关检测】2022-2023学年八年级数学上学期单元测试卷(人教版)(原卷版).docx本文件免费下载 【共5页】

第十四章 整式的乘法与因式分解-【过关检测】2022-2023学年八年级数学上学期单元测试卷(人教版)(原卷版).docx
第十四章 整式的乘法与因式分解-【过关检测】2022-2023学年八年级数学上学期单元测试卷(人教版)(原卷版).docx
第十四章 整式的乘法与因式分解-【过关检测】2022-2023学年八年级数学上学期单元测试卷(人教版)(原卷版).docx
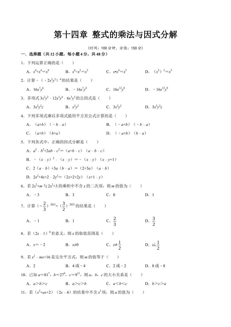
第十四章整式的乘法与因式分解(时间:100分钟,分值:150分)一.选择题(共12小题,每小题4分,共48分)1.下列运算正确的是()A.x4+x4=x8B.x6÷x2=x3C.x•x4=x5D.(x2)3=x52.计算﹣(﹣2x3y2)4的结果是()A.16x7y6B.﹣16x7y6C.16x12y8D.﹣16x12y83.多项式3x2y212﹣x2y46﹣x3y3的公因式是()A.3x2y2zB.x2y2C.3x2y2D.3x3y2z4.下列多项式乘以多项式能用平方差公式计算的是()A.(a+b)(﹣b﹣a)B.(﹣a+b)(﹣b﹣a)C.(a+b)(b+a)D.(﹣a+b)(b﹣a)5.下列各式中,正确的因式分解是()A.a2﹣b2+2ab﹣c2=(a+b﹣c)(a﹣b﹣c)B.﹣(x﹣y)2﹣(x﹣y)=﹣(x﹣y)(x﹣y+1)C.2(a﹣b)+3a(b﹣a)=(2+3a)(a﹣b)D.2x2+4x+22﹣y2=(2x+2+2y)(x+1﹣y)6.若2x2+m与2x2+3的乘积中不含x的二次项,则m的值为()A.﹣3B.3C.0D.17.计算(−23)2021×(32)2021的结果是()A.﹣1B.1C.23D.328.若(2x1﹣)0有意义,则x的取值范围是()A.x=﹣2B.x≠0C.x≠12D.x¿129.若x2﹣mx+16是完全平方式,则m的值等于()A.2B.4或﹣4C.2或﹣2D.8或﹣810.已知a=817,b=279,c=913,则a,b,c的大小关系是()A.a>b>cB.a>c>bC.a<b<cD.b>c>a11.若(x2+ax+2)(2x4﹣)的结果中不含x2项,则a的值为()A.0B.2C.12D.﹣212.如图所示的是4个全等的小长方形与1个小正方形密铺而成的正方形图案,已知该图案的面积为64,小正方形的面积为16,若分别为x,y(x>y)表示为小长方形的长和宽,则下列关系式中不正确的是()A.x+y=8B.xy=24C.x2﹣y2=32D.4xy+16=64二.填空题(共4小题,每小题4分,共16分)13.计算:6m3÷2m=.14.若am=2,an=5,则a2m+2n=.15.计算:202122020×2022﹣=.16.小丽在计算3×(4+1)×(42+1)时,把3写成(41﹣)后,发现可以连续运用平方差公式进行计算.用类似方法计算:(1+12)×(1+122)×(1+124)×(1+128)+1215=¿.三.解答题(共8大题,共86分)17.(8分)计算:(1)√9−|3|+﹣(π3.14﹣)0﹣(﹣1);(2)199×201;18.(8分)计算:(1)(4a2b+6a2b2﹣ab2)÷2ab;(2)(2x-3y)219.(8分)计算:(1)(x+y2﹣z)(x﹣y+2z).(2)(x﹣y)(2x+y)﹣(x+y)(x﹣y).20.(12分)因式分解:(1)﹣3a3b2+6ab3(2)4x29﹣;(3)2m212﹣m+18.(3)(a2﹣b)2﹣(3a2﹣b)221.(12分)解方程或不等式:(1)(x3﹣)(x2﹣)+18=(x+9)(x+1)(2)x(3x2﹣)<3(x2﹣)(x+1)22.(12分)在计算(x+a)(x+b)时,甲把b错看成了6,得到结果是:x2+8x+12.(1)求出a的值;(2)在(1)的条件下,且b=﹣3时,计算(x+a)(x+b)的结果.23.(12分)如图1是一个长为4a、宽为b的长方形,沿图中虚线用剪刀平均分成四块小长方形,然后用四块小长方形拼成一个“回形“正方形(如图2).(1)观察图2请你写出(a+b)2、(a﹣b)2、ab之间的等量关系是;(2)根据(1)中的结论,若x+y=5,xy¿94,则(x﹣y)2=;(3)拓展应用:若(2019﹣m)2+(m2020﹣)2=7,求(2019﹣m)(m2020﹣)的值.24.(14)对于一个图形,通过两种不同的方法计算它的面积,可以得到一个数学等式.(1)如图1所示的大正方形,是由两个正方形和两个形状大小完全相同的长方形拼成的.用两种不同的方法计算图中阴影部分的面积,可以得到的数学等式是;(2)如图2所示的大正方形,是由四个三边长分别为a、b、c的全等的直角三角形(a、b为直角边)和一个正方形拼成,试通过两种不同的方法计算中间正方形的面积,并探究a、b、c之间满足怎样的等量关系;(3)利用(1)(2)的结论,如果直角三角形两直角边满足a+b=17,ab=60,求斜边c的值.

1、当您付费下载文档后,您只拥有了使用权限,并不意味着购买了版权,文档只能用于自身使用,不得用于其他商业用途(如 [转卖]进行直接盈利或[编辑后售卖]进行间接盈利)。
2、本站所有内容均由合作方或网友上传,本站不对文档的完整性、权威性及其观点立场正确性做任何保证或承诺!文档内容仅供研究参考,付费前请自行鉴别。
3、如文档内容存在违规,或者侵犯商业秘密、侵犯著作权等,请点击“违规举报”。

碎片内容

与本文档类似文档
人教八年级数学下册 专题34 一次函数与全等三角形结合(解析版).docx
人教八年级数学下册 专题34 一次函数与全等三角形结合(解析版).docx
免费
1下载
初中八年级上册数学第十二章 全等三角形(B·能力提升)-【过关检测】2022-2023学年八年级数学上学期单元测试卷(人教版)(原卷版).docx
初中八年级上册数学第十二章 全等三角形(B·能力提升)-【过关检测】2022-2023学年八年级数学上学期单元测试卷(人教版)(原卷版).docx
免费
4下载
20.3 课题学习 体质健康测试中的数据分析(原卷版)-2020-2021学年八年级数学下册精讲精练(人教版).docx
20.3 课题学习 体质健康测试中的数据分析(原卷版)-2020-2021学年八年级数学下册精讲精练(人教版).docx
免费
7下载
人教八年级数学上册 专题27 (x+a)(x+b)型乘法(解析版).docx
人教八年级数学上册 专题27 (x+a)(x+b)型乘法(解析版).docx
免费
1下载
人教八年级数学下册 期末测试卷02(A卷).doc
人教八年级数学下册 期末测试卷02(A卷).doc
免费
1下载
八年级数学上册第3课时 三角形的内角和.doc
八年级数学上册第3课时 三角形的内角和.doc
免费
30下载
初中八年级下册数学第十八章 平行四边形周周测7(18.2.3).doc
初中八年级下册数学第十八章 平行四边形周周测7(18.2.3).doc
免费
21下载
新8年级(七升八)-初中数学暑假衔接作业10 直角坐标平面内点的运动-七年级数学暑假作业(沪教版)(解析版).docx
新8年级(七升八)-初中数学暑假衔接作业10 直角坐标平面内点的运动-七年级数学暑假作业(沪教版)(解析版).docx
免费
1下载
初中八年级下册数学第17章 勾股定理(20页).doc
初中八年级下册数学第17章 勾股定理(20页).doc
免费
9下载
初中八年级下册数学2.1 不等关系1.doc
初中八年级下册数学2.1 不等关系1.doc
免费
12下载
初中八年级下册数学4.3 第2课时 完全平方公式2.doc
初中八年级下册数学4.3 第2课时 完全平方公式2.doc
免费
25下载
初中八年级上册数学1.3 勾股定理的应用同步检测试卷含答案.doc
初中八年级上册数学1.3 勾股定理的应用同步检测试卷含答案.doc
免费
2下载
新8年级(七升八)-初中数学暑假衔接第5讲 二次根式的运算(教师版).doc
新8年级(七升八)-初中数学暑假衔接第5讲 二次根式的运算(教师版).doc
免费
1下载
八年级数学下册 同步练习第04课  二次根式全章复习与巩固(教师版).docx
八年级数学下册 同步练习第04课 二次根式全章复习与巩固(教师版).docx
免费
11下载
人教八年级数学上册 专项03 三角形角度计算常考模型(原卷版).docx
人教八年级数学上册 专项03 三角形角度计算常考模型(原卷版).docx
免费
1下载
八年级上册 数学第03讲 等腰三角形(原卷版).pdf
八年级上册 数学第03讲 等腰三角形(原卷版).pdf
免费
1下载
初中八年级下册数学2019-2020学年度安徽省庐江县第二学期期末检测八年级数学试题(图片版,无答案).docx
初中八年级下册数学2019-2020学年度安徽省庐江县第二学期期末检测八年级数学试题(图片版,无答案).docx
免费
21下载
初中八年级下册数学第十九章 一次函数周周测2(19.1).doc
初中八年级下册数学第十九章 一次函数周周测2(19.1).doc
免费
9下载
新8年级(七升八)-初中数学暑假衔接作业02 数的开方-七年级数学暑假作业(沪教版)(解析版).docx
新8年级(七升八)-初中数学暑假衔接作业02 数的开方-七年级数学暑假作业(沪教版)(解析版).docx
免费
1下载
人教八年级数学下册 专题19.1函数专项提升训练(重难点培优)-【拔尖特训售后微信 403032929】2023年培优(解析版)【人教版】.docx
人教八年级数学下册 专题19.1函数专项提升训练(重难点培优)-【拔尖特训售后微信 403032929】2023年培优(解析版)【人教版】.docx
免费
1下载
我的小文库
实名认证
内容提供者

提供高质量免费文档试卷下载,如果满意请告诉您身边的人,如果不满意请告诉我们,您的意见对于我们很重要,是我们不断进步的动力

相关文档

阅读排行

确认删除?
回到顶部
客服号
  • 客服QQ点击这里给我发消息
QQ群
  • QQ群点击这里加入QQ群
提交所需资料详情,我们来帮找资料