5.3.1 平行线的性质-七年级数学人教版(下册)(解析版).doc本文件免费下载 【共7页】

5.3.1 平行线的性质-七年级数学人教版(下册)(解析版).doc
5.3.1 平行线的性质-七年级数学人教版(下册)(解析版).doc
5.3.1 平行线的性质-七年级数学人教版(下册)(解析版).doc
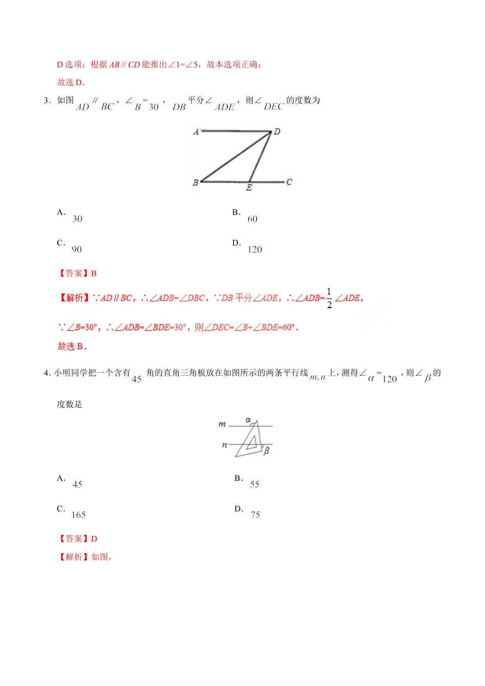
第五章相交线与平行线5.3.1平行线的性质一、选择题:在每小题给出的四个选项中,只有一项是符合题目要求的.1.如果两个角的两边分别平行,且其中一个角比另一个角的4倍少,那么这两个角是A.和B.都是C.和或都是D.以上都不对【答案】C2.如图AB∥CD,那么A.∠1=∠4B.∠1=∠3C.∠2=∠3D.∠1=∠5【答案】D【解析】A选项:根据AB∥CD不能推出∠1=∠4,故本选项错误;B选项:根据AB∥CD不能推出∠1=∠3,故本选项错误;C选项:根据AB∥CD不能推出∠2=∠3,故本选项错误;D选项:根据AB∥CD能推出∠1=∠5,故本选项正确;故选D.3.如图∥,∠=,平分∠,则∠的度数为A.B.C.D.【答案】B4.小明同学把一个含有角的直角三角板放在如图所示的两条平行线上,测得∠=,则∠的度数是A.B.C.D.【答案】D【解析】如图,∵m∥n,∴∠1=∠2,∵∠α=∠2+∠3,而∠3=45°,∠α=120°,∴∠2=120°–45°=75°,∴∠1=75°,∴∠β=75°.故选D.二、填空题:请将答案填在题中横线上.5.如图,已知∥,∠1=,则∠2=__________.【答案】6.如图,若∠1=∠2,∠=,则∠的度数是__________.【答案】【解析】∵∠1=∠2,∴AD∥BC,∴∠+∠=180°,又∵∠=,∴∠=(180–78)°=.故答案是:.7.同一平面内有四条直线a,b,c,d,若a∥b,⊥,⊥,则直线的位置关系__________.【答案】c∥d【解析】如图:∵a∥b,a⊥c,∴c⊥b,又∵b⊥d,∴c∥d.故答案是:c∥d.8.如图,∥,∥,则∠+∠的度数为__________.【答案】180°【解析】∵BC∥DE,∴∠E=∠BFO;∵AB∥EF,∴∠B+∠OFB=180°;∴∠E+∠B=180°.故答案为:180°.学@#科网三、解答题:解答应写出文字说明、证明过程或演算步骤.9.如图,AB∥CD,AE,DF分别是∠BAD,∠CDA的平分线,AE与DF平行吗?为什么?10.如图,是小明设计的智力拼图玩具,现在小明遇到了下面两个问题,请你帮助解决.(1)如图(1),∠D=,∠ACD=.为保证AB∥DE,∠A应等于多少度?请说明理由;(2)如图(2),若GP∥HQ,则∠G,∠F,∠H之间有什么样的关系?请说明理由.11.如图,已知直线l1∥l2,且l3和l1,l2分别交于A,B两点,点P在AB上.(1)试找出∠1,∠2,∠3之间的关系并说出理由;(2)如果点P在A,B两点之间运动,问∠1,∠2,∠3之间的关系是否发生变化?(3)如果点P在A,B两点外侧运动,试探究∠1,∠2,∠3之间的关系(点P和A,B不重合).【解析】(1)∠1+∠2=∠3.理由:过点P作l1的平行线PQ.

1、当您付费下载文档后,您只拥有了使用权限,并不意味着购买了版权,文档只能用于自身使用,不得用于其他商业用途(如 [转卖]进行直接盈利或[编辑后售卖]进行间接盈利)。
2、本站所有内容均由合作方或网友上传,本站不对文档的完整性、权威性及其观点立场正确性做任何保证或承诺!文档内容仅供研究参考,付费前请自行鉴别。
3、如文档内容存在违规,或者侵犯商业秘密、侵犯著作权等,请点击“违规举报”。

碎片内容

与本文档类似文档
初中七年级上册数学专题06 整式的加减专题复习——规律探究(解析版).docx
初中七年级上册数学专题06 整式的加减专题复习——规律探究(解析版).docx
免费
0下载
初中七年级数学上册4.3.2 角的比较与运算-七年级数学人教版(上册)(原卷版).doc
初中七年级数学上册4.3.2 角的比较与运算-七年级数学人教版(上册)(原卷版).doc
免费
19下载
初中七年级上册数学4.2 直线、射线、线段测试(答题卡)(人教版) .docx
初中七年级上册数学4.2 直线、射线、线段测试(答题卡)(人教版) .docx
免费
18下载
初中数学沪教版暑假衔接(小升初)专题05 分数的意义和性质(原卷版).docx
初中数学沪教版暑假衔接(小升初)专题05 分数的意义和性质(原卷版).docx
免费
0下载
抚州市2016-2017学年北师大七年级上期中数学试卷含答案解析.doc
抚州市2016-2017学年北师大七年级上期中数学试卷含答案解析.doc
免费
5下载
2017-2018学年天津市红桥区七年级数学上期中模拟试卷(1)含答案.doc
2017-2018学年天津市红桥区七年级数学上期中模拟试卷(1)含答案.doc
免费
11下载
七年级数学上册 同步练习1.3有理数的大小.doc
七年级数学上册 同步练习1.3有理数的大小.doc
免费
21下载
七年级上册 数学第02讲 求解一元一次方程(6类热点题型讲练)(原卷版).pdf
七年级上册 数学第02讲 求解一元一次方程(6类热点题型讲练)(原卷版).pdf
免费
0下载
北师大版七年级数学上册第1章《丰富的图形世界》单元测试试卷及答案(1)(喜子的商铺)(1).doc
北师大版七年级数学上册第1章《丰富的图形世界》单元测试试卷及答案(1)(喜子的商铺)(1).doc
免费
10下载
初中数学暑假衔接(小升初)第02讲 整式(原卷版)-【暑假尖子生课堂】新七年级数学知识衔接大串讲(沪教版).docx
初中数学暑假衔接(小升初)第02讲 整式(原卷版)-【暑假尖子生课堂】新七年级数学知识衔接大串讲(沪教版).docx
免费
0下载
初中数学暑假衔接(小升初)专题18 图形的翻折-七年级数学暑假基础提高班专题(沪教版).docx
初中数学暑假衔接(小升初)专题18 图形的翻折-七年级数学暑假基础提高班专题(沪教版).docx
免费
0下载
初中七年级数学上册05 【人教版】七年级上第三次月考数学试题(含答案).doc
初中七年级数学上册05 【人教版】七年级上第三次月考数学试题(含答案).doc
免费
18下载
【七年级上册】2.2 数字变化类规律问题(压轴题专项讲练)(人教版)(教师版).docx
【七年级上册】2.2 数字变化类规律问题(压轴题专项讲练)(人教版)(教师版).docx
免费
25下载
七年级数学下册专题9.6解一元一次不等式(组)大题专练(重难点培优30题)-【拔尖特训】2023培优(解析版)【人教版】.docx
七年级数学下册专题9.6解一元一次不等式(组)大题专练(重难点培优30题)-【拔尖特训】2023培优(解析版)【人教版】.docx
免费
0下载
专题04 整式中加减无关型的三种考法-2023年初中数学7年级上册同步压轴题(学生版).docx
专题04 整式中加减无关型的三种考法-2023年初中数学7年级上册同步压轴题(学生版).docx
免费
12下载
初中数学暑假衔接(小升初)七年级同步第9讲:乘法公式(二)-教师版.docx
初中数学暑假衔接(小升初)七年级同步第9讲:乘法公式(二)-教师版.docx
免费
0下载
初中七年级数学上册第3章单元测试2.doc
初中七年级数学上册第3章单元测试2.doc
免费
14下载
初中数学暑假衔接(小升初)作业04 一元一次方程-六年级数学暑假作业(沪教版)(原卷版).doc
初中数学暑假衔接(小升初)作业04 一元一次方程-六年级数学暑假作业(沪教版)(原卷版).doc
免费
0下载
【2024新教材数学七年级下册】2023-2024学年下册期中模拟测试预测题(1)(考察内容:第五、六、七章)(人教版)(原卷版).docx
【2024新教材数学七年级下册】2023-2024学年下册期中模拟测试预测题(1)(考察内容:第五、六、七章)(人教版)(原卷版).docx
免费
0下载
初中七年级数学下册《用尺规作角》综合练习1.doc
初中七年级数学下册《用尺规作角》综合练习1.doc
免费
8下载
我的小文库
实名认证
内容提供者

提供高质量免费文档试卷下载,如果满意请告诉您身边的人,如果不满意请告诉我们,您的意见对于我们很重要,是我们不断进步的动力

相关文档

阅读排行

确认删除?
回到顶部
客服号
  • 客服QQ点击这里给我发消息
QQ群
  • QQ群点击这里加入QQ群