2024年新高考数学复习资料“8+3+3”小题强化训练(18)(新高考九省联考题型)(解析版).docx本文件免费下载 【共9页】

2024年新高考数学复习资料“8+3+3”小题强化训练(18)(新高考九省联考题型)(解析版).docx
2024年新高考数学复习资料“8+3+3”小题强化训练(18)(新高考九省联考题型)(解析版).docx
2024年新高考数学复习资料“8+3+3”小题强化训练(18)(新高考九省联考题型)(解析版).docx
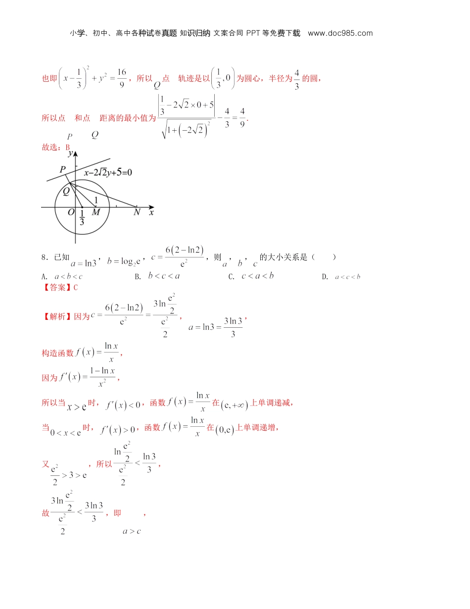
小、初中、高中各卷知文案合同学种试真题识归纳PPT等免下费载www.doc985.com2024届高三二轮复习“8+3+3”小题强化训练(18)一、选择题:本题共8小题,每小题5分,共40分.在每小题给出的四个选项中,只有一项是符合题目要求的.1.有8位同学一次数学测试的分数分别是:111,118,125,130,130,132,136,140,则这组数据的75百分位数是()A.130B.132C.134D.136【答案】C【解析】,,故选:C2.已知复数(为虚数单位),则z的共轭复数()A.B.C.D.【答案】A【解析】故故选:A.3.若向量,则“”是“”的()A.充分不必要条件B.必要不充分条件C.充要条件D.既不充分也不必要条件【答案】C【解析】由题意,则“”是“”的充要条件.故选:C.4.若,则()A.B.C.D.【答案】D【解析】因为,则.故选:D.5.口袋里有红黄蓝绿的小球各四个,这些球除了颜色之外完全相同,现在从口袋里任意取出四个小球,则不同的方法有()种.A.48B.77C.35D.39【答案】C【解析】根据条件,取出的四个球可以分为一种,两种,三种,四种颜色,当取出的球只有一种颜色时:有种;当取出的球只有二种颜色时:有种;小、初中、高中各卷知文案合同学种试真题识归纳PPT等免下费载www.doc985.com当取出的球只有三种颜色时:有种;当取出的球只有四种颜色时:有种;共有:种.故C项正确.故选:C.6.科技是一个国家强盛之根,创新是一个民族进步之魂,科技创新铸就国之重器,极目一号(如图1)是中国科学院空天信息研究院自主研发的系留浮空器.2022年5月,“极目一号”III型浮空艇成功完成10次升空大气科学观测,最高升空至9050米,超过珠穆朗玛峰,创造了浮空艇大气科学观测海拔最高的世界纪录,彰显了中国的实力.“极目一号”III型浮空艇长55米,高19米,若将它近似看作一个半球、一个圆柱和一个圆台的组合体,正视图如图2所示,则“极目一号”III型浮空艇的体积约为()(参考数据:,,,)A.B.C.D.【答案】A【解析】由图2得半球、圆柱底面和圆台一个底面的半径为(m),而圆台一个底面的半径为(m),则(m3),(m3),(m3),所以(m3).故选:A.7.已知点为直线上的动点,平面内的动点到两定点,的距离分别为和,且,则点和点距离的最小值为()A.B.C.D.【答案】【解析】设,由得,即,即,小、初中、高中各卷知文案合同学种试真题识归纳PPT等免下费载www.doc985.com也即,所以点的轨迹是以为圆心,半径为的圆,所以点和点距离的最小值为.故选:B8.已知,,,则,,的大小关系是()A.B.C.D.【答案】C【解析】因为,,构造函数,因为,所以当时,,函数在上单调递减,当时,,函数在上单调递增,又,所以,故,即,小、初中、高中各卷知文案合同学种试真题识归纳PPT等免下费载www.doc985.com因为,,因为,,所以,,所以,即,所以,故选:C.二、选择题:本题共3小题,每小题6分,共18分.在每小题给出的选项中,有多项符合题目要求.全部选对的得6分,部分选对的得部分分,有选错的得0分.9.关于函数,则下列命题正确的是()A.的图象关于点对称B.函数的最小正周期为C.在区间上单调递增D.将图象上所有点的横坐标伸长为原来的2倍,再把图象向右平移个单位长度得到的函数为【答案】ACD【解析】由于,所以,故的图象关于点对称,A正确,函数的最小正周期为,故B错误,当时,,故C正确,将图象上所有点的横坐标伸长为原来的2倍,得到,再把图象向右平移个单位长度得到的函数为,D正确,故选:ACD10.已知离散型随机变量服从二项分布,其中,记为奇数的概率为,为偶数的概率为,则下列说法中正确的有()A.B.时,小、初中、高中各卷知文案合同学种试真题识归纳PPT等免下费载www.doc985.comC.时,随着的增大而增大D.时,随着的增大而减小【答案】ABC【解析】对于A选项,由概率的基本性质可知,,故A正确,对于B选项,由时,离散型随机变量服从二项分布,则,所以,,所以,故B正确,对于C,D选项,,当时,为正项且单调递增的数列,故随着的增大而增大故选项C正确,当时,为正负交替的摆动数列,故选项D不正确.故选:ABC.11.在直四棱柱中,所有棱长均2,,P为的中点,点Q在四边形内(包括边界)运动,下列...

1、当您付费下载文档后,您只拥有了使用权限,并不意味着购买了版权,文档只能用于自身使用,不得用于其他商业用途(如 [转卖]进行直接盈利或[编辑后售卖]进行间接盈利)。
2、本站所有内容均由合作方或网友上传,本站不对文档的完整性、权威性及其观点立场正确性做任何保证或承诺!文档内容仅供研究参考,付费前请自行鉴别。
3、如文档内容存在违规,或者侵犯商业秘密、侵犯著作权等,请点击“违规举报”。

碎片内容

与本文档类似文档
2015年北京市高考数学试卷(文科)往年高考真题.doc
2015年北京市高考数学试卷(文科)往年高考真题.doc
免费
0下载
2025年新高考数学复习资料微专题15 三角中的最值、范围问题.docx
2025年新高考数学复习资料微专题15 三角中的最值、范围问题.docx
免费
0下载
2025年新高考数学复习资料2025版新教材高考数学第二轮复习专题练--6.5 数列的综合(含答案).docx
2025年新高考数学复习资料2025版新教材高考数学第二轮复习专题练--6.5 数列的综合(含答案).docx
免费
0下载
2024年新高考数学复习资料专题16 抛物线的焦点弦、中点弦、弦长问题(解析版).docx
2024年新高考数学复习资料专题16 抛物线的焦点弦、中点弦、弦长问题(解析版).docx
免费
0下载
第01讲 计数原理(三大题型)(课件).pptx
第01讲 计数原理(三大题型)(课件).pptx
免费
0下载
2024年新高考数学复习资料专题4.2 三角函数的图象与性质【八大题型】(举一反三)(新高考专用)(原卷版).docx
2024年新高考数学复习资料专题4.2 三角函数的图象与性质【八大题型】(举一反三)(新高考专用)(原卷版).docx
免费
0下载
2023年北京卷高考真题数学试题 Word版含解析.doc
2023年北京卷高考真题数学试题 Word版含解析.doc
免费
16下载
2024版《大考卷》全程考评特训卷·数学·文科【统考版】素养训练(五).docx
2024版《大考卷》全程考评特训卷·数学·文科【统考版】素养训练(五).docx
免费
30下载
2025年新高考数学复习资料第01讲 导数的概念及其意义、导数的运算(十二大题型)(练习)(原卷版)(1).docx
2025年新高考数学复习资料第01讲 导数的概念及其意义、导数的运算(十二大题型)(练习)(原卷版)(1).docx
免费
0下载
高中数学高考数学10大专题技巧--专题17 单变量不含参不等式证明方法之虚设零点(教师版).docx
高中数学高考数学10大专题技巧--专题17 单变量不含参不等式证明方法之虚设零点(教师版).docx
免费
0下载
专题04 三角函数与解三角形(三大类型题)精选15区真题(解析版).docx
专题04 三角函数与解三角形(三大类型题)精选15区真题(解析版).docx
免费
0下载
2023年高考数学真题(新高考Ⅰ)(解析版).docx
2023年高考数学真题(新高考Ⅰ)(解析版).docx
免费
1下载
2013年浙江省高考数学【理】(原卷版).doc
2013年浙江省高考数学【理】(原卷版).doc
免费
18下载
7. 衡水中学高考积累与改错_高三数学(第3本)_126页.pdf
7. 衡水中学高考积累与改错_高三数学(第3本)_126页.pdf
免费
18下载
2012年上海市黄浦区高考数学一模试卷(理科).doc
2012年上海市黄浦区高考数学一模试卷(理科).doc
免费
0下载
高中数学高考数学10大专题技巧--专题30  证明数量关系型问题(学生版).docx.doc
高中数学高考数学10大专题技巧--专题30 证明数量关系型问题(学生版).docx.doc
免费
0下载
2024年新高考数学复习资料专题14 双曲线中的向量问题(解析版).docx
2024年新高考数学复习资料专题14 双曲线中的向量问题(解析版).docx
免费
0下载
精品解析:上海市崇明区2024届高三二模数学试题(原卷版).docx
精品解析:上海市崇明区2024届高三二模数学试题(原卷版).docx
免费
0下载
精品解析:江苏省扬州中学、盐城中学、淮阴中学、丹阳中学四校2023-2024学年高三下学期调研测试联考数学试卷(解析版).docx
精品解析:江苏省扬州中学、盐城中学、淮阴中学、丹阳中学四校2023-2024学年高三下学期调研测试联考数学试卷(解析版).docx
免费
0下载
高考数学专题10 直线和圆的方程(4大易错点分析+解题模板+举一反三+易错题通关)-备战2024年高考数学考试易错题(新高考专用)(解析版).docx
高考数学专题10 直线和圆的方程(4大易错点分析+解题模板+举一反三+易错题通关)-备战2024年高考数学考试易错题(新高考专用)(解析版).docx
免费
0下载
我的小文库
实名认证
内容提供者

提供高质量免费文档试卷下载,如果满意请告诉您身边的人,如果不满意请告诉我们,您的意见对于我们很重要,是我们不断进步的动力

阅读排行

确认删除?
回到顶部
客服号
  • 客服QQ点击这里给我发消息
QQ群
  • QQ群点击这里加入QQ群