高考数学模拟卷(广东专用)模拟卷08(广东专用)-(参考答案).docx本文件免费下载 【共9页】

高考数学模拟卷(广东专用)模拟卷08(广东专用)-(参考答案).docx
高考数学模拟卷(广东专用)模拟卷08(广东专用)-(参考答案).docx
高考数学模拟卷(广东专用)模拟卷08(广东专用)-(参考答案).docx
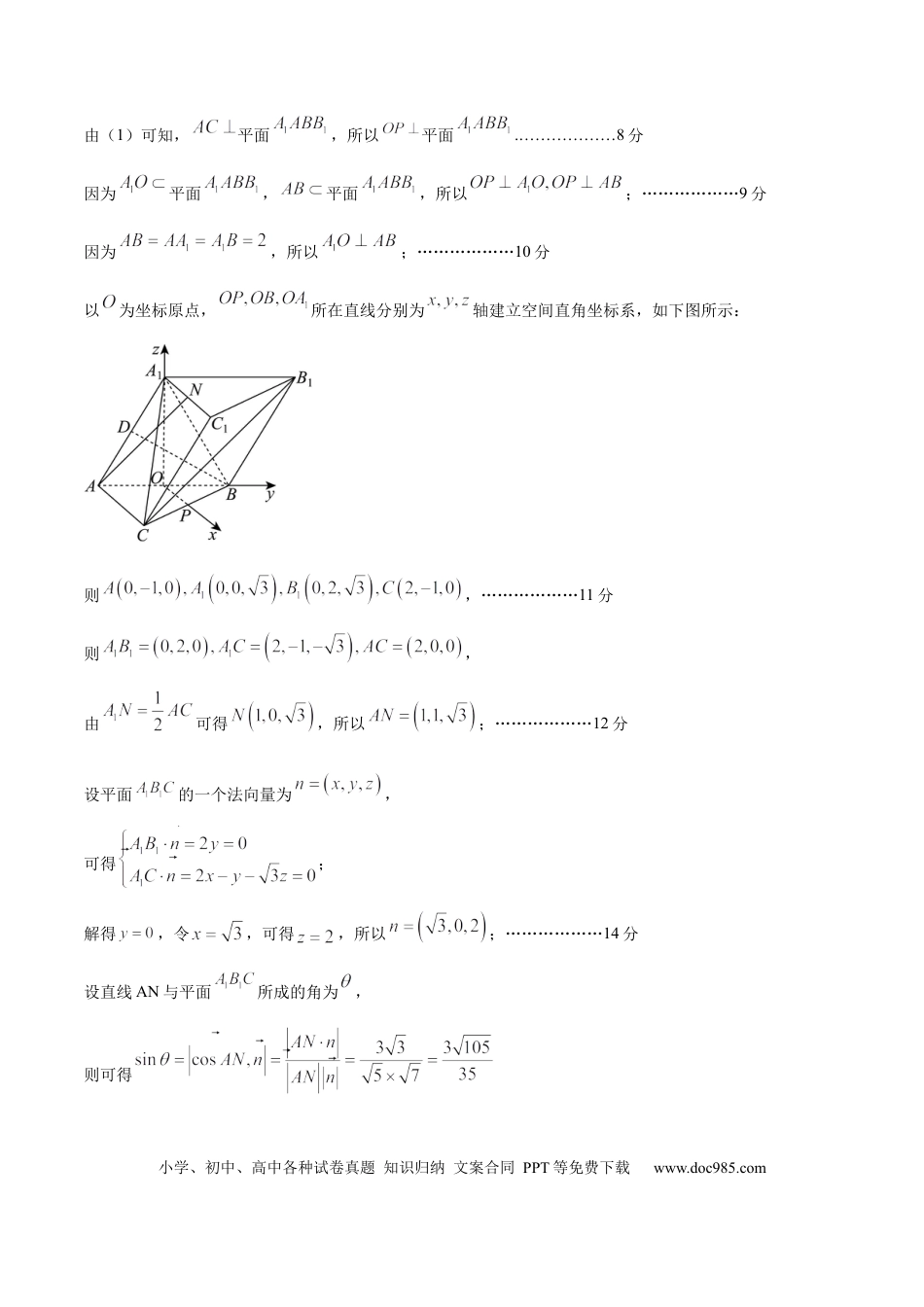
小学、初中、高中各种试卷真题知识归纳文案合同PPT等免费下载www.doc985.com【赢在高考·黄金8卷】备战2025年高考数学模拟卷(广东专用)黄金卷08·参考答案(考试时间:120分钟试卷满分:150分)第I卷(选择题)一、单项选择题:本题共8小题,每小题5分,共40分,在每小题给出的四个选项中,只有一项是符合要求的。12345678DBDDBCAC二、选择题:本题共3小题,每小题6分,共18分.在每小题给出的选项中,有多项符合题目要求.全部选对的得6分,部分选对的得部分分,有选错的得0分.91011ACBCDABD第II卷(非选择题)三、填空题:本题共3小题,每小题5分,共15分。12.13.sinA∶sinB∶sinC=a∶b∶c=6∶5∶414.①.;②.四、解答题:本题共5小题,共77分,解答应写出必要的文字说明、证明过程及验算步骤。15.(13分)【详解】(1)记“低碳出行”为事件,估计,…………………2分则,………………………5分;……………………………6分小学、初中、高中各种试卷真题知识归纳文案合同PPT等免费下载www.doc985.com(2)由(1)知,则有,………………………8分记“今年参加活动的游客明年继续参加活动”为事件,……………9分由题意,,………………………12分所以.……………13分16.(15分)【详解】(1)【小问1详解】证明:取棱的中点为,连接,……………………………………………1分因为,所以,……………………………………………2分因为,所以,…………………………………3分又因为与的距离为,可得,又,可得;…………………………………4分因为,,满足,所以;同理可得;…………………………………5分显然,且平面,所以平面;又因为平面,所以平面平面;…………………………………6分(2)【小问2详解】取的中点为,连接,取的中点为,连接,则.………………7分小学、初中、高中各种试卷真题知识归纳文案合同PPT等免费下载www.doc985.com由(1)可知,平面,所以平面.………………8分因为平面,平面,所以;………………9分因为,所以;………………10分以为坐标原点,所在直线分别为轴建立空间直角坐标系,如下图所示:则,………………11分则,由可得,所以;………………12分设平面的一个法向量为,可得;解得,令,可得,所以;………………14分设直线AN与平面所成的角为,则可得小学、初中、高中各种试卷真题知识归纳文案合同PPT等免费下载www.doc985.com即直线AN与平面所成角的正弦值为.………………15分17.(15分)【解析】【小问1详解】双曲线可化为……………2分,即……………4分双曲线C的标准方程为.……………5分【小问2详解】设直线l的方程为,A(x1,y1),B(x2,y2),……………6分联立双曲线C与直线l:消去x可得:,,则恒成立,又直线与双曲线交于右支两点,故,,即,……………9分进而可得,即AB中点M为,……………11分线段AB的中垂线为,……………12分则,即.……………13分小学、初中、高中各种试卷真题知识归纳文案合同PPT等免费下载www.doc985.com.……………14分即为定值1.……………15分18.(17分)【小问1详解】定义域为,,……………2分若时,即时,在单调递增,……………3分若,即时,有两个零点,且,当或时,,当时,,故在和上单调递增,在单调递减;……………6分小学、初中、高中各种试卷真题知识归纳文案合同PPT等免费下载www.doc985.com综上所述,当时,在单调递增;当时,在和上单调递增,在上单调递减;……………7分【小问2详解】因为,所以,……………8分所以,……………9分,……………10分要证,只需证,……………11分即证,……………12分不妨设,则只需证,即证,……………13分设,则只需证①,……………14分由(1)可知在上单调递增,小学、初中、高中各种试卷真题知识归纳文案合同PPT等免费下载www.doc985.com则当时,,所以,……………15分设,则,所以在上单调递增,所以,……………16分又因为,所以要证①成立,只需证,设,则,所以在上单调递增.所以,得证.……………17分19.(17分)【小问1详解】因为,,,成等差数列,,,设前项的公差为,所以,所以,,……………2分又数列是项数为的对称数...

1、当您付费下载文档后,您只拥有了使用权限,并不意味着购买了版权,文档只能用于自身使用,不得用于其他商业用途(如 [转卖]进行直接盈利或[编辑后售卖]进行间接盈利)。
2、本站所有内容均由合作方或网友上传,本站不对文档的完整性、权威性及其观点立场正确性做任何保证或承诺!文档内容仅供研究参考,付费前请自行鉴别。
3、如文档内容存在违规,或者侵犯商业秘密、侵犯著作权等,请点击“违规举报”。

碎片内容

与本文档类似文档
高中2024版考评特训卷·数学·理科【统考版】点点练 32.docx
高中2024版考评特训卷·数学·理科【统考版】点点练 32.docx
免费
1下载
2014年高考数学试卷(理)(新课标Ⅱ)(空白卷) (1).pdf
2014年高考数学试卷(理)(新课标Ⅱ)(空白卷) (1).pdf
免费
1下载
高中2023《微专题·小练习》·数学·理科·L-3专练14 导数与函数的极值、最值.docx
高中2023《微专题·小练习》·数学·理科·L-3专练14 导数与函数的极值、最值.docx
免费
1下载
2024年新高考数学复习资料素养拓展10 导数中的隐零点问题(精讲+精练)【一轮复习讲义】2024年高考数学高频考点题型归纳与方法总结(新高考通用)原卷版.docx
2024年新高考数学复习资料素养拓展10 导数中的隐零点问题(精讲+精练)【一轮复习讲义】2024年高考数学高频考点题型归纳与方法总结(新高考通用)原卷版.docx
免费
2下载
2025年新高考数学复习资料专题突破卷08 三角形中的“四心”问题(解析版).docx
2025年新高考数学复习资料专题突破卷08 三角形中的“四心”问题(解析版).docx
免费
1下载
2024高考试卷上海数学-答案-p.docx
2024高考试卷上海数学-答案-p.docx
免费
21下载
2024版《微专题》·数学(理 )·统考版专练 19.docx
2024版《微专题》·数学(理 )·统考版专练 19.docx
免费
28下载
2014年重庆市高考数学试卷(文科).doc
2014年重庆市高考数学试卷(文科).doc
免费
1下载
2022·微专题·小练习·数学·理科【统考版】专练26.docx
2022·微专题·小练习·数学·理科【统考版】专练26.docx
免费
17下载
专题30数列第六缉(原卷版)-备战2022年高中数学联赛之历年真题分类汇编(2015-2021).docx
专题30数列第六缉(原卷版)-备战2022年高中数学联赛之历年真题分类汇编(2015-2021).docx
免费
1下载
2009年上海高考数学真题(理科)试卷(word解析版)word版.doc
2009年上海高考数学真题(理科)试卷(word解析版)word版.doc
免费
17下载
高中2024版考评特训卷·数学【新教材】考点练56.docx
高中2024版考评特训卷·数学【新教材】考点练56.docx
免费
1下载
高中2024版考评特训卷·数学·文科【统考版】点点练 22.docx
高中2024版考评特训卷·数学·文科【统考版】点点练 22.docx
免费
1下载
2014年四川省高考数学试卷(理科).doc
2014年四川省高考数学试卷(理科).doc
免费
2下载
2014年山东省高考数学试卷(文科)往年高考真题.doc
2014年山东省高考数学试卷(文科)往年高考真题.doc
免费
1下载
专题16+妙解离心率问题(12大核心考点)(课件)-2024年高考数学二轮复习讲练测(新教材新高考).pptx
专题16+妙解离心率问题(12大核心考点)(课件)-2024年高考数学二轮复习讲练测(新教材新高考).pptx
免费
1下载
1999年高考数学真题(理科)(湖北自主命题).doc
1999年高考数学真题(理科)(湖北自主命题).doc
免费
9下载
2018年高考数学试卷(文)(新课标Ⅲ)(空白卷) (3).pdf
2018年高考数学试卷(文)(新课标Ⅲ)(空白卷) (3).pdf
免费
1下载
2024年新高考数学复习资料第18讲 章末检测三(解析版).docx
2024年新高考数学复习资料第18讲 章末检测三(解析版).docx
免费
1下载
高中2022·微专题·小练习·数学【新高考】专练45.docx
高中2022·微专题·小练习·数学【新高考】专练45.docx
免费
1下载

发表评论取消回复

参与评论可获取积分奖励  
我的小文库
实名认证
内容提供者

提供高质量免费文档试卷下载,如果满意请告诉您身边的人,如果不满意请告诉我们,您的意见对于我们很重要,是我们不断进步的动力

阅读排行

确认删除?
回到顶部
客服号
  • 客服QQ点击这里给我发消息
QQ群
  • QQ群点击这里加入QQ群
提交所需资料详情,我们来帮找资料