高一数学 第2节 常规的数列求和方法(有答案).pdf本文件免费下载 【共6页】

高一数学 第2节 常规的数列求和方法(有答案).pdf
高一数学 第2节 常规的数列求和方法(有答案).pdf
高一数学 第2节 常规的数列求和方法(有答案).pdf

1、当您付费下载文档后,您只拥有了使用权限,并不意味着购买了版权,文档只能用于自身使用,不得用于其他商业用途(如 [转卖]进行直接盈利或[编辑后售卖]进行间接盈利)。
2、本站所有内容均由合作方或网友上传,本站不对文档的完整性、权威性及其观点立场正确性做任何保证或承诺!文档内容仅供研究参考,付费前请自行鉴别。
3、如文档内容存在违规,或者侵犯商业秘密、侵犯著作权等,请点击“违规举报”。

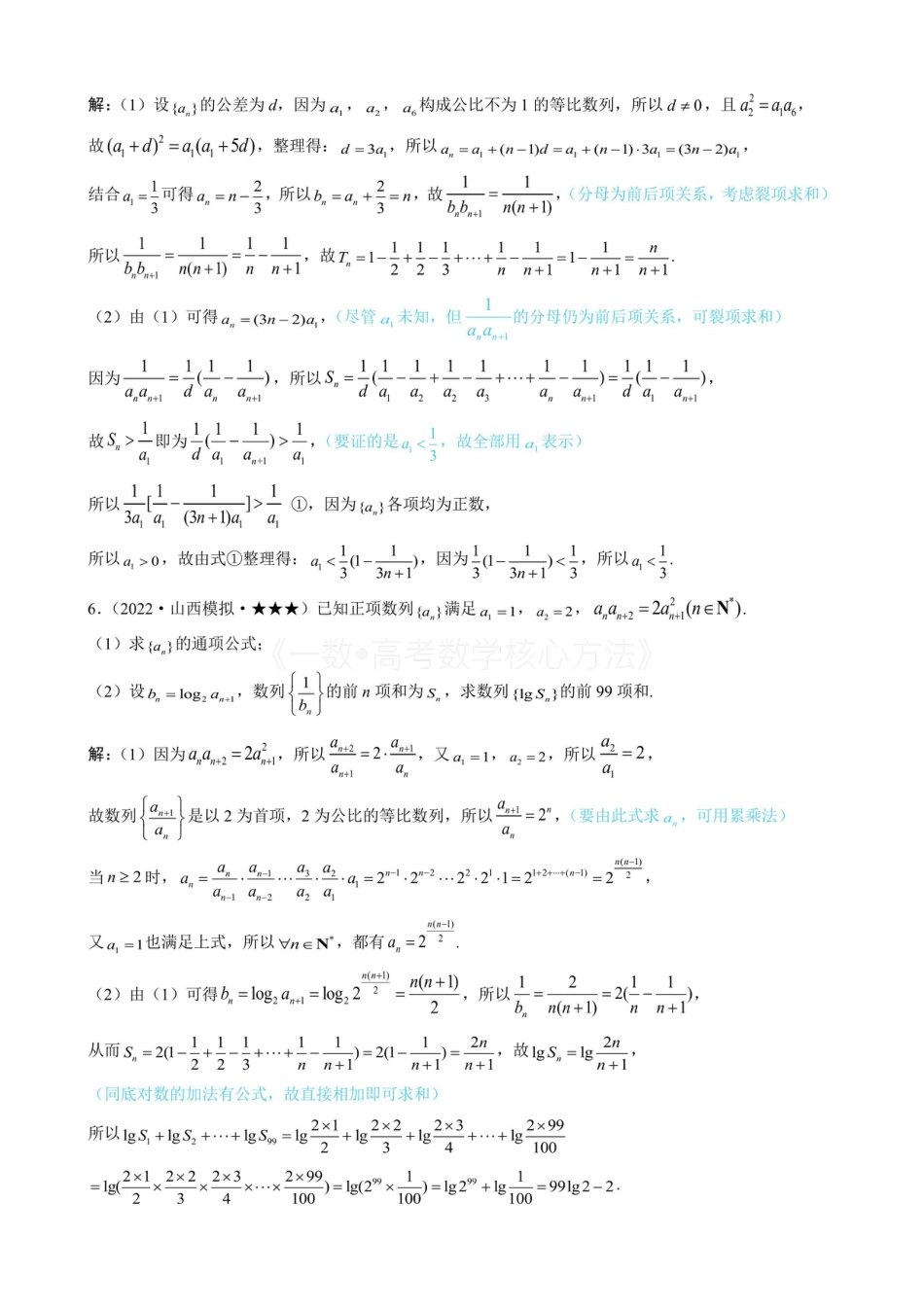
碎片内容

与本文档类似文档
高一数学 第2节 空间向量的应用:证平行、垂直与求角:练习册答案+解析 (1).pdf
高一数学 第2节 空间向量的应用:证平行、垂直与求角:练习册答案+解析 (1).pdf
免费
0下载
高一数学期中测试卷01(人教A版2019)(测试范围:必修第二册第六、七、八章)(原卷版).doc
高一数学期中测试卷01(人教A版2019)(测试范围:必修第二册第六、七、八章)(原卷版).doc
免费
24下载
高中数学 必修1单元卷(原卷).docx
高中数学 必修1单元卷(原卷).docx
免费
0下载
高一数学期中测试卷02(人教A版2019)(测试范围:必修第二册第六、七、八章)(解析版).doc
高一数学期中测试卷02(人教A版2019)(测试范围:必修第二册第六、七、八章)(解析版).doc
免费
22下载
高中数学 必修2   【新教材精创】8.6.2 直线与平面垂直(第2课时)直线与平面垂直的性质 练习(1)(原卷版).docx
高中数学 必修2 【新教材精创】8.6.2 直线与平面垂直(第2课时)直线与平面垂直的性质 练习(1)(原卷版).docx
免费
0下载
高一数学 2解三角形中的化边类问题(有答案).pdf
高一数学 2解三角形中的化边类问题(有答案).pdf
免费
0下载
高一数学2.2.1基本不等式限时作业(第一课时)-【新教材】人教A版(2019)高中数学必修第一册限时作业.doc
高一数学2.2.1基本不等式限时作业(第一课时)-【新教材】人教A版(2019)高中数学必修第一册限时作业.doc
免费
17下载
高中 2023二轮专项分层特训卷•数学·理科【统考版】4.7.docx
高中 2023二轮专项分层特训卷•数学·理科【统考版】4.7.docx
免费
0下载
高中 2023二轮专项分层特训卷•数学·文科【统考版】主观题专练 8.docx
高中 2023二轮专项分层特训卷•数学·文科【统考版】主观题专练 8.docx
免费
0下载
高一数学 第3节 不等式的三角换元方法:方法册+练习册.pdf
高一数学 第3节 不等式的三角换元方法:方法册+练习册.pdf
免费
0下载
江苏省南京市2022-2023学年高一上学期期末数学试题(教师版含解析).docx
江苏省南京市2022-2023学年高一上学期期末数学试题(教师版含解析).docx
免费
0下载
高中 数学·必修第二册·湘教版课时作业WORD课时作业(七).docx
高中 数学·必修第二册·湘教版课时作业WORD课时作业(七).docx
免费
0下载
浙江省嘉兴市2022-2023学年高一下学期期末数学试题(教师版含解析).docx
浙江省嘉兴市2022-2023学年高一下学期期末数学试题(教师版含解析).docx
免费
0下载
高一数学【新教材精创】6.4.1 平面几何中的向量方法 练习(1)(原卷版).docx
高一数学【新教材精创】6.4.1 平面几何中的向量方法 练习(1)(原卷版).docx
免费
8下载
高一数学【新教材精创】10.1.2 事件的关系和运算 练习(1)(原卷版).docx
高一数学【新教材精创】10.1.2 事件的关系和运算 练习(1)(原卷版).docx
免费
10下载
高中 数学·必修第一册(RJ-B版)课时作业(word)章末质量检测(三) .docx
高中 数学·必修第一册(RJ-B版)课时作业(word)章末质量检测(三) .docx
免费
0下载
高中 数学·选择性必修·第三册·(RJ-A版)课时作业WORD课时作业(六).docx
高中 数学·选择性必修·第三册·(RJ-A版)课时作业WORD课时作业(六).docx
免费
0下载
高中 数学·选择性必修·第二册·湘教版课时作业WORD课时作业(八).docx
高中 数学·选择性必修·第二册·湘教版课时作业WORD课时作业(八).docx
免费
0下载
高一数学期末综合测试卷一-【新教材】人教A版(2019)高中数学必修第一册.docx
高一数学期末综合测试卷一-【新教材】人教A版(2019)高中数学必修第一册.docx
免费
31下载
高中 数学·选择性必修·第一册·北师大版课时作业WORD课时作业(十一).doc
高中 数学·选择性必修·第一册·北师大版课时作业WORD课时作业(十一).doc
免费
0下载
我的小文库
实名认证
内容提供者

提供高质量免费文档试卷下载,如果满意请告诉您身边的人,如果不满意请告诉我们,您的意见对于我们很重要,是我们不断进步的动力

相关文档

阅读排行

确认删除?
回到顶部
客服号
  • 客服QQ点击这里给我发消息
QQ群
  • QQ群点击这里加入QQ群
提交所需资料详情,我们来帮找资料