2024年新高考数学复习资料专题22 圆锥曲线与重心问题(解析版).docx本文件免费下载 【共22页】

2024年新高考数学复习资料专题22 圆锥曲线与重心问题(解析版).docx
2024年新高考数学复习资料专题22 圆锥曲线与重心问题(解析版).docx
2024年新高考数学复习资料专题22 圆锥曲线与重心问题(解析版).docx
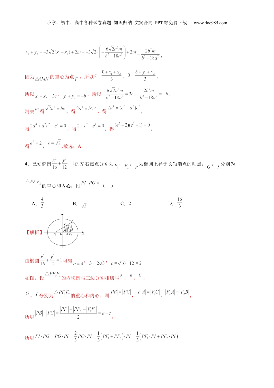
小学、初中、高中各种试卷真题知识归纳文案合同PPT等免费下载www.doc985.com专题22圆锥曲线与重心问题限时:120分钟满分:150分一、单选题:本大题共8小题,每个小题5分,共40分.在每小题给出的选项中,只有一项是符合题目要求的.1.已知分别为椭圆的左、右焦点,是椭圆E上一动点,G点是三角形的重心,则点G的轨迹方程为()A.B.C.D.【解析】分别为椭圆的左、右焦点,设,G点是三角形的重心,则,得,又是椭圆E上一动点,,即,又G点是三角形的重心,,所以点G的轨迹方程为,故选:B2.已知是抛物线上三个动点,且的重心为抛物线的焦点,若,两点均在轴上方,则的斜率的最小值为()A.1B.C.D.【解析】依题意,设,,,由,在轴上方,故,,小学、初中、高中各种试卷真题知识归纳文案合同PPT等免费下载www.doc985.com因为抛物线为,所以,则,所以,则,注意到,故,即,又,代入可得,故,即,解得,当且仅当时,等号成立,因而.故选:B.3.已知点为双曲线的虚轴的上顶点,为双曲线的右焦点,存在斜率为的直线交双曲线于点两点,且的重心为点,则双曲线的离心率为()A.B.C.2D.【解析】,设,设斜率为的直线为,联立,消去并整理得,,,即,设,,则,小学、初中、高中各种试卷真题知识归纳文案合同PPT等免费下载www.doc985.com,因为的重心为点,所以,,所以,,所以,,消去得,得,得,得,得,得,得,.故选:A4.已知椭圆的左右焦点分别为,,为椭圆上异于长轴端点的动点,,分别为的重心和内心,则()A.B.C.2D.【解析】由椭圆可得,,如图,设的内切圆与三边分别相切与,,,,分别为的重心和内心.则,,,所以,所以小学、初中、高中各种试卷真题知识归纳文案合同PPT等免费下载www.doc985.com,故选:D5.椭圆的右焦点为,上顶点为,若存在直线与椭圆交于不同两点,重心为,直线的斜率取值范围是()A.B.C.D.【解析】设椭圆的半焦距为,由已知,,设,因为重心为,所以,所以,又,所以,所以,所以直线的斜率,当且仅当时等号成立,又,所以直线的斜率取值范围是,故选:B.6.设双曲线的右焦点为,,若直线与的右支交于两点,且为的重心,则的离心率的取值范围为()A.B.小学、初中、高中各种试卷真题知识归纳文案合同PPT等免费下载www.doc985.comC.D.【解析】由题意,双曲线的右焦点为,且,设点为的中点,因为为的重心,所以,即,解得,即,因为直线与的右支交于两点,则满足,整理得,解得或(舍去),当离心率为时,即时,可得,此时,设,可得,又由,两式相减可得,即直线的斜率为,又因为,所以,此时四点共线,此时不满足题意,综上可得,双曲线的离心率的取值范围为.故选:A.7.已知F为抛物线的焦点,A,B,C为该抛物线上的三点,O为坐标原点,,,面积分别为,若F为的重心,且,则该抛物线的方程为()小学、初中、高中各种试卷真题知识归纳文案合同PPT等免费下载www.doc985.comA.B.C.D.【解析】设、、三点的坐标分别为,,,,,,抛物线的焦点的坐标为,,,,、、在抛物线上,,,,由此可得:,点是的重心,,可得,因此,,解得(负值舍去),故该抛物线的方程为,故选:.8.抛物线的焦点为,点、、在上,且的重心为,则的取值范围为A.B.C.D.【解析】由题意知,抛物线的焦点为,设点、、,由重心的坐标公式得,,,设直线的方程为,由,消去得,小学、初中、高中各种试卷真题知识归纳文案合同PPT等免费下载www.doc985.com,由韦达定理得,,所以,,故,,将点的坐标代入抛物线的方程得,得,则,得,则.不在直线上,则,此时,,则.因此,的取值范围是.故选:A.二、多选题:本大题共4小题,每个小题5分,共20分.在每小题给出的选项中,只有一项或者多项是符合题目要求的.9.椭圆的左、右焦点分别是,是椭圆第一象限上的一点(不包括轴上的点),的重心是,的角平分线交x轴于点(m,0),下列说法正确的有()A.G的轨迹是椭圆的一部分B.的长度范围是C.取值范围是D.【解析】设重心,又,∴,即,又是椭圆上一点,小学、初中、高中各种试卷真题知识归纳文案合同PPT等免费下载www.doc985.com∴,即,故A正确; G的轨...

1、当您付费下载文档后,您只拥有了使用权限,并不意味着购买了版权,文档只能用于自身使用,不得用于其他商业用途(如 [转卖]进行直接盈利或[编辑后售卖]进行间接盈利)。
2、本站所有内容均由合作方或网友上传,本站不对文档的完整性、权威性及其观点立场正确性做任何保证或承诺!文档内容仅供研究参考,付费前请自行鉴别。
3、如文档内容存在违规,或者侵犯商业秘密、侵犯著作权等,请点击“违规举报”。

碎片内容

与本文档类似文档
2015年北京市高考数学试卷(文科)往年高考真题.doc
2015年北京市高考数学试卷(文科)往年高考真题.doc
免费
0下载
2025年新高考数学复习资料微专题15 三角中的最值、范围问题.docx
2025年新高考数学复习资料微专题15 三角中的最值、范围问题.docx
免费
0下载
2025年新高考数学复习资料2025版新教材高考数学第二轮复习专题练--6.5 数列的综合(含答案).docx
2025年新高考数学复习资料2025版新教材高考数学第二轮复习专题练--6.5 数列的综合(含答案).docx
免费
0下载
2024年新高考数学复习资料专题16 抛物线的焦点弦、中点弦、弦长问题(解析版).docx
2024年新高考数学复习资料专题16 抛物线的焦点弦、中点弦、弦长问题(解析版).docx
免费
0下载
第01讲 计数原理(三大题型)(课件).pptx
第01讲 计数原理(三大题型)(课件).pptx
免费
0下载
2024年新高考数学复习资料专题4.2 三角函数的图象与性质【八大题型】(举一反三)(新高考专用)(原卷版).docx
2024年新高考数学复习资料专题4.2 三角函数的图象与性质【八大题型】(举一反三)(新高考专用)(原卷版).docx
免费
0下载
2023年北京卷高考真题数学试题 Word版含解析.doc
2023年北京卷高考真题数学试题 Word版含解析.doc
免费
16下载
2024版《大考卷》全程考评特训卷·数学·文科【统考版】素养训练(五).docx
2024版《大考卷》全程考评特训卷·数学·文科【统考版】素养训练(五).docx
免费
30下载
2025年新高考数学复习资料第01讲 导数的概念及其意义、导数的运算(十二大题型)(练习)(原卷版)(1).docx
2025年新高考数学复习资料第01讲 导数的概念及其意义、导数的运算(十二大题型)(练习)(原卷版)(1).docx
免费
0下载
高中数学高考数学10大专题技巧--专题17 单变量不含参不等式证明方法之虚设零点(教师版).docx
高中数学高考数学10大专题技巧--专题17 单变量不含参不等式证明方法之虚设零点(教师版).docx
免费
0下载
专题04 三角函数与解三角形(三大类型题)精选15区真题(解析版).docx
专题04 三角函数与解三角形(三大类型题)精选15区真题(解析版).docx
免费
0下载
2023年高考数学真题(新高考Ⅰ)(解析版).docx
2023年高考数学真题(新高考Ⅰ)(解析版).docx
免费
1下载
2013年浙江省高考数学【理】(原卷版).doc
2013年浙江省高考数学【理】(原卷版).doc
免费
18下载
7. 衡水中学高考积累与改错_高三数学(第3本)_126页.pdf
7. 衡水中学高考积累与改错_高三数学(第3本)_126页.pdf
免费
18下载
2012年上海市黄浦区高考数学一模试卷(理科).doc
2012年上海市黄浦区高考数学一模试卷(理科).doc
免费
0下载
高中数学高考数学10大专题技巧--专题30  证明数量关系型问题(学生版).docx.doc
高中数学高考数学10大专题技巧--专题30 证明数量关系型问题(学生版).docx.doc
免费
0下载
2024年新高考数学复习资料专题14 双曲线中的向量问题(解析版).docx
2024年新高考数学复习资料专题14 双曲线中的向量问题(解析版).docx
免费
0下载
精品解析:上海市崇明区2024届高三二模数学试题(原卷版).docx
精品解析:上海市崇明区2024届高三二模数学试题(原卷版).docx
免费
0下载
精品解析:江苏省扬州中学、盐城中学、淮阴中学、丹阳中学四校2023-2024学年高三下学期调研测试联考数学试卷(解析版).docx
精品解析:江苏省扬州中学、盐城中学、淮阴中学、丹阳中学四校2023-2024学年高三下学期调研测试联考数学试卷(解析版).docx
免费
0下载
高考数学专题10 直线和圆的方程(4大易错点分析+解题模板+举一反三+易错题通关)-备战2024年高考数学考试易错题(新高考专用)(解析版).docx
高考数学专题10 直线和圆的方程(4大易错点分析+解题模板+举一反三+易错题通关)-备战2024年高考数学考试易错题(新高考专用)(解析版).docx
免费
0下载
我的小文库
实名认证
内容提供者

提供高质量免费文档试卷下载,如果满意请告诉您身边的人,如果不满意请告诉我们,您的意见对于我们很重要,是我们不断进步的动力

阅读排行

确认删除?
回到顶部
客服号
  • 客服QQ点击这里给我发消息
QQ群
  • QQ群点击这里加入QQ群