高考数学解题技巧归纳专题05 焦点三角形(新高考地区专用)(原卷版).docx本文件免费下载 【共11页】

高考数学解题技巧归纳专题05 焦点三角形(新高考地区专用)(原卷版).docx
高考数学解题技巧归纳专题05 焦点三角形(新高考地区专用)(原卷版).docx
高考数学解题技巧归纳专题05 焦点三角形(新高考地区专用)(原卷版).docx
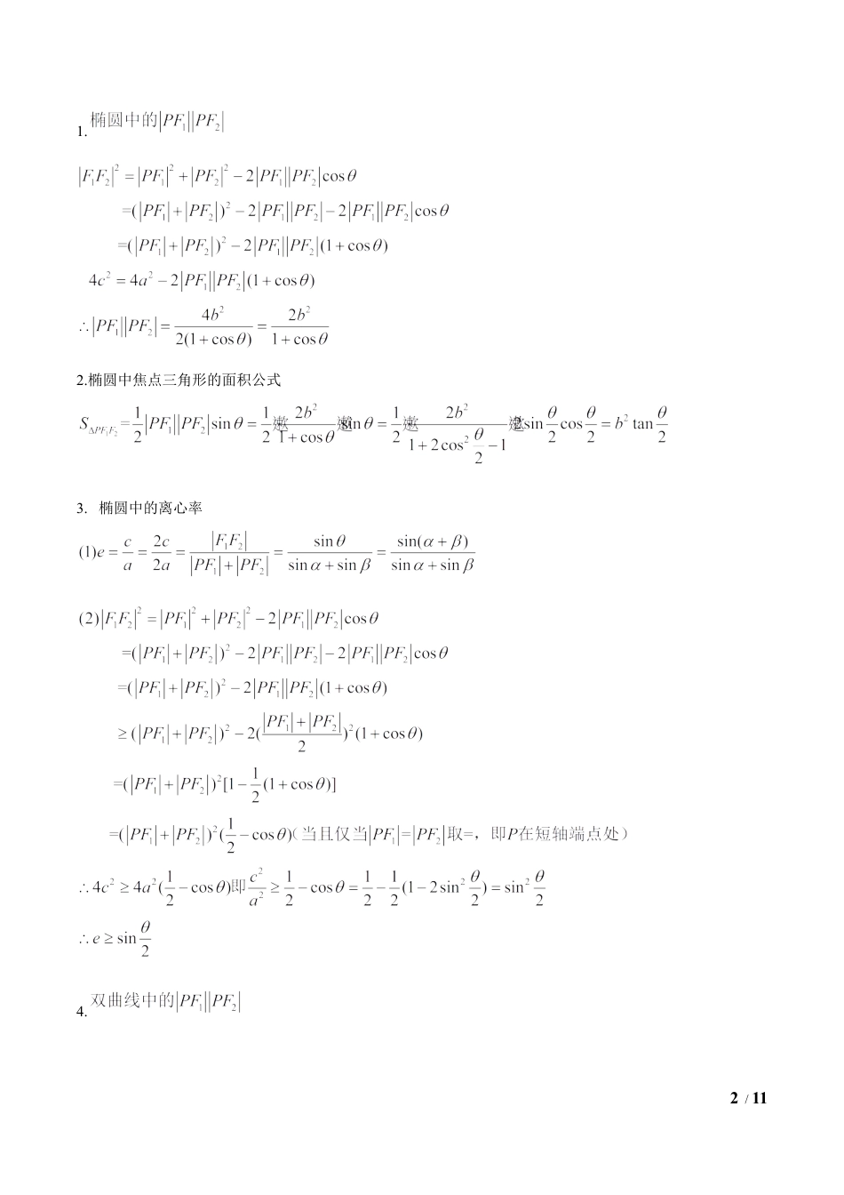
1/11专题05焦点三角形一.技巧内容二.技巧推导过程技巧导图技巧详讲椭圆双曲线图形周长2a+2c2b21+cosθ2b21−cosθ离心率2/111.2.椭圆中焦点三角形的面积公式3.椭圆中的离心率4.3/115.双曲线中焦点三角形的面积公式6.双曲线中的离心率技巧1焦点三角形的周长【例1】(2020·黑龙江)已知点分别是椭圆的左、右焦点,点在此椭圆上,则的周长等于()A.20B.16C.18D.14【举一反三】1.(2020·西藏南木林县第一中学高三月考)若椭圆(其中a>b>0)的离心率为,两焦点分别为F1,F2,M为椭圆上一点,且△F1F2M的周长为16,则椭圆C的方程为()A.B.C.D.例题举证4/112.(2019·广西南宁)定义:椭圆上一点与两焦点构成的三角形为椭圆的焦点三角形,已知椭圆的焦距为,焦点三角形的周长为,则椭圆的方程是__________.技巧2焦点三角形的面积【例2-1】(2020·安徽省定远中学)已知椭圆的左、右焦点分别为、,为椭圆上一点,且,若的面积为9,则__________.【例2-2】(2020·山西大同)已知、为双曲线的左、右焦点,点P在C上,,则的面积为【举一反三】1.(2020·云南陆良)已知、为双曲线C:的左、右焦点,点P在C上,∠P=,则()A.2B.4C.6D.82(2020·广东汕头)若椭圆上一点P与椭圆的两个焦点、的连线互相垂直,则的面积为()A.36B.16C.20D.245/113.(2020·上海普陀·高三三模)设为双曲线()的上一点,,(为左、右焦点),则的面积等于()A.B.C.D.技巧3焦点三角形的离心率【例3-1】设椭圆的左、右焦点分别为,是上的点,,,则的离心率为()A.B.C.D.【例3-2】(2020·河北衡水中学)已知分别是椭圆的左、右焦点,若椭圆上存在点,使,则椭圆的离心率的取值范围为()A.B.C.D.【举一反三】1.(2020·沙坪坝·重庆一中高三月考(理))已知点P在以为左,右焦点的椭圆上,在中,若,,则()6/11A.B.C.D.2.(2020·安徽合肥·高三二模(文))记,为椭圆的两个焦点,若上存在点满足,则实数取值范围是()A.B.C.D.1.(2020·全国高三单元测试)已知F1,F2是椭圆+=1的两焦点,过点F2的直线交椭圆于A,B两点.在△AF1B中,若有两边之和是10,则第三边的长度为()A.6B.5C.4D.32.(2020·广西钦州一中)设椭圆C:(a>0,b>0)的左右焦点分别为、,,离心率为.P是C上一点,且⊥.若的面积为4,则a=()A.1B.2C.4D.83.(2020·河南高三其他(文))椭圆的左、右焦点分别为,,椭圆上的技巧强化7/11点满足:,且,则()A.1B.C.D.2.4.(2020·黑龙江绥化·高三其他(理))已知对任意正实数m,n,p,q,有如下结论成立:若,则有成立,现已知椭圆上存在一点P,,为其焦点,在中,,,则椭圆的离心率为()A.B.C.D.5.(2020·山西临汾)已知椭圆的左,右焦点分别为,若上的点到的距离为,则△的面积为()A.B.C.D.8/116.(2020·陆川中学)已知,分别是椭圆的左、右焦点,若椭圆上存在点,使得,则该椭圆的离心率的取值范围是()A.B.C.D.7.(2020·全国高三一模(文))设椭圆的两焦点为,,若椭圆上存在点,使,则椭圆的离心率的最小值为()A.B.C.D.8.(2019·江西南昌十中))已知点F1,F2分别是椭圆C1和双曲线C2的公共焦点,e1,e2分别是C1和C2的离心率,点P为C1和C2的一个公共点,且,若,则e1的取值范围是()A.B.C.D.9.(2020·伊美区第二中学)设是双曲线的两个焦点,是双曲线上的一点,且,则的面积等于()9/11A.B.C.24D.4810.(2020·四川青羊·树德中学高二月考(文))设、分别为双曲线的左、右焦点,双曲线上存在一点使得,,则该双曲线的离心率为()A.B.C.D.11.(2020·吉林松原·高三其他(文))已知点是双曲线上一点,,分别为双曲线的左右焦点,若、的外接圆半径为4,且为锐角,则()A.15B.16C.18D.2012.(2020·陕西省丹凤中学高三一模(理))设,分别是双曲线的左右焦点.若点在双曲线上,且,则等于()A.B.C.D.13.(2020·陕西高三其他(文))已知双曲线:(,)的左、右焦点分别为10/11,,点在双曲线的右支上,若,则的取值范围是()A.B.C.D.14.(2020·河北张家口·...

1、当您付费下载文档后,您只拥有了使用权限,并不意味着购买了版权,文档只能用于自身使用,不得用于其他商业用途(如 [转卖]进行直接盈利或[编辑后售卖]进行间接盈利)。
2、本站所有内容均由合作方或网友上传,本站不对文档的完整性、权威性及其观点立场正确性做任何保证或承诺!文档内容仅供研究参考,付费前请自行鉴别。
3、如文档内容存在违规,或者侵犯商业秘密、侵犯著作权等,请点击“违规举报”。

碎片内容

与本文档类似文档
2013年浙江省高考数学【文】(原卷版).doc
2013年浙江省高考数学【文】(原卷版).doc
免费
29下载
2025年新高考数学复习资料2025届高考数学二轮复习:专题七 空间向量与立体几何(含解析).docx
2025年新高考数学复习资料2025届高考数学二轮复习:专题七 空间向量与立体几何(含解析).docx
免费
0下载
2010年高考真题数学【文】(山东卷)(含解析版).doc
2010年高考真题数学【文】(山东卷)(含解析版).doc
免费
10下载
高中数学高考数学10大专题技巧--专题六 平面向量与三角函数(教师版).docx
高中数学高考数学10大专题技巧--专题六 平面向量与三角函数(教师版).docx
免费
0下载
2020年高考数学试卷(理)(新课标Ⅱ)(空白卷) (7).pdf
2020年高考数学试卷(理)(新课标Ⅱ)(空白卷) (7).pdf
免费
0下载
2025年新高考数学复习资料2024年新高考Ⅰ卷真题知识点平行模拟卷(全解全析)-2025年高考数学一轮复习讲义及高频考点归纳与方法总结(新高考通用).docx
2025年新高考数学复习资料2024年新高考Ⅰ卷真题知识点平行模拟卷(全解全析)-2025年高考数学一轮复习讲义及高频考点归纳与方法总结(新高考通用).docx
免费
0下载
2014年高考数学试卷(理)(江西)(空白卷).pdf
2014年高考数学试卷(理)(江西)(空白卷).pdf
免费
0下载
高中数学高考数学10大专题技巧--专题04 函数的单调性(教师版).docx
高中数学高考数学10大专题技巧--专题04 函数的单调性(教师版).docx
免费
0下载
2017年高考数学真题(文科)(新课标Ⅰ)(解析版).doc
2017年高考数学真题(文科)(新课标Ⅰ)(解析版).doc
免费
13下载
2024年新高考数学复习资料2024年高考数学一轮复习(新高考版) 第4章 §4.4 简单的三角恒等变换.docx
2024年新高考数学复习资料2024年高考数学一轮复习(新高考版) 第4章 §4.4 简单的三角恒等变换.docx
免费
0下载
2024年新高考数学复习资料微考点6-6 圆锥曲线中斜率和积与韦达定理的应用(原卷版).docx
2024年新高考数学复习资料微考点6-6 圆锥曲线中斜率和积与韦达定理的应用(原卷版).docx
免费
0下载
2012年高考数学试卷(文)(湖南)(解析卷).doc
2012年高考数学试卷(文)(湖南)(解析卷).doc
免费
0下载
二轮专项分层特训卷··高三数学·文科解析几何(10).doc
二轮专项分层特训卷··高三数学·文科解析几何(10).doc
免费
28下载
2016年高考数学试卷(文)(新课标Ⅰ)(空白卷) (6).pdf
2016年高考数学试卷(文)(新课标Ⅰ)(空白卷) (6).pdf
免费
0下载
高考数学专题07 事件与概率(古典概率、条件概率、全概率公式、贝叶斯公式)小题综合(学生卷)- 十年(2015-2024)高考真题数学分项汇编(全国通用).docx
高考数学专题07 事件与概率(古典概率、条件概率、全概率公式、贝叶斯公式)小题综合(学生卷)- 十年(2015-2024)高考真题数学分项汇编(全国通用).docx
免费
0下载
高中数学高考数学10大专题技巧--专题18 单变量不含参不等式证明方法之凹凸反转(学生版).docx.doc
高中数学高考数学10大专题技巧--专题18 单变量不含参不等式证明方法之凹凸反转(学生版).docx.doc
免费
0下载
2015年江苏高考数学试题及答案.doc
2015年江苏高考数学试题及答案.doc
免费
13下载
2022·微专题·小练习·数学·理科【统考版】专练18.docx
2022·微专题·小练习·数学·理科【统考版】专练18.docx
免费
13下载
2015年高考数学试卷(文)(北京)(空白卷).doc
2015年高考数学试卷(文)(北京)(空白卷).doc
免费
0下载
2024年新高考数学复习资料大题07 新定义题型(10大题型)(原卷版).docx
2024年新高考数学复习资料大题07 新定义题型(10大题型)(原卷版).docx
免费
0下载
我的小文库
实名认证
内容提供者

提供高质量免费文档试卷下载,如果满意请告诉您身边的人,如果不满意请告诉我们,您的意见对于我们很重要,是我们不断进步的动力

阅读排行

确认删除?
回到顶部
客服号
  • 客服QQ点击这里给我发消息
QQ群
  • QQ群点击这里加入QQ群
提交所需资料详情,我们来帮找资料