2024年新高考数学复习资料专题18 函数背景下的不等式问题(含2021-2023高考真题)(原卷版).docx本文件免费下载 【共8页】

2024年新高考数学复习资料专题18 函数背景下的不等式问题(含2021-2023高考真题)(原卷版).docx
2024年新高考数学复习资料专题18 函数背景下的不等式问题(含2021-2023高考真题)(原卷版).docx
2024年新高考数学复习资料专题18 函数背景下的不等式问题(含2021-2023高考真题)(原卷版).docx
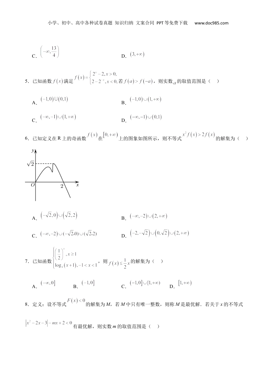
小学、初中、高中各种试卷真题知识归纳文案合同PPT等免费下载www.doc985.com专题18函数背景下的不等式问题考点一利用图像解不等式一、单选题1.函数f(x)的图象如图所示,则的解集为()A.B.C.D.2.已知函数的图像如图所示,则不等式的解集是()A.B.C.D.3.已知函数,若,则实数的取值范围是()A.B.C.D.[0,1]4.若关于的不等式在上有解,则实数的取值范围是()A.B.小学、初中、高中各种试卷真题知识归纳文案合同PPT等免费下载www.doc985.comC.D.5.已知函数满足若,则实数的取值范围是()A.B.C.D.6.已知定义在R上的奇函数在上的图象如图所示,则不等式的解集为()A.B.C.D.7.已知函数,则的解集为()A.B.C.D.8.定义:设不等式的解集为M,若M中只有唯一整数,则称M是最优解.若关于x的不等式有最优解,则实数m的取值范围是()小学、初中、高中各种试卷真题知识归纳文案合同PPT等免费下载www.doc985.comA.B.C.D.9.定义在上函数满足,.当时,,则下列选项能使成立的为()A.B.C.D.10.定义在上的函数满足,时,若的解集为,其中,则实数的取值范围为()A.B.C.D.11.已知函数,若满足的整数解恰有3个,则实数的范围为()A.B.C.D.二、多选题12.若,则下列选项可能成立的是()A.B.C.D.13.函数,若不等式恒成立,则a的值可以为()小学、初中、高中各种试卷真题知识归纳文案合同PPT等免费下载www.doc985.comA.B.C.1D.14.已知函数是定义在上的奇函数,当时,的图象如图所示,那么满足不等式的x的可能取值是().A.B.C.D.2三、填空题15.若函数定义在上的奇函数,且在上是增函数,又,则不等式的解集为_____________16.不等式的解集为________.17.已知函数,则不等式的解集是______.18.已知函数若函数有四个不同的零点,,,,则的取值范围是________.考点二利用函数性质解不等式1.奇函数在定义域上是减函数,若,则的取值范围是()小学、初中、高中各种试卷真题知识归纳文案合同PPT等免费下载www.doc985.comA.B.C.D.2.已知为定义在上的奇函数,,若总有.则不等式的解集为()A.B.C.D.3.已知函数,则关于x的不等式的解集为()A.B.C.D.4.已知函数的定义域为,,对任意,,则不等式的解集为()A.B.C.D.5.已知函数在上为奇函数,则不等式的解集满足()A.B.C.D.6.已知函数若对任意的,存在,使小学、初中、高中各种试卷真题知识归纳文案合同PPT等免费下载www.doc985.com,则实数的取值范围是()A.B.C.D.7.设函数在定义域上满足,若在上是减函数,且,则不等式的解集为()A.B.C.D.8.已知定义域为的奇函数的图象是一条连续不断的曲线,当时,,当时,,且,则关于的不等式的解集为()A.B.C.D.9.已知函数是定义在上的偶函数,其导函数为,当时,,且,则不等式的解集是()A.B.C.D.小学、初中、高中各种试卷真题知识归纳文案合同PPT等免费下载www.doc985.com10.已知函数,对任意的,都有,当时,,若,则实数的取值范围为()A.B.C.D.11.已知函数,若,不等式恒成立,则正实数的取值范围为()A.B.C.D.12.已知函数,若对任意正数,,都有恒成立,则实数的取值范围为()A.B.C.D.13.已知实数,,且满足恒成立,则的最小值为()A.2B.1C.D.414.已知函数的定义域为,其导函数为,若为奇函数,为偶函数,记,且当时,,则不等式的解集为()A.B.C.D.二、填空题15.已知函数的定义域为,是偶函数,当时,,则不等式小学、初中、高中各种试卷真题知识归纳文案合同PPT等免费下载www.doc985.com的解集为______.16.已知奇函数是定义在上的可导函数,其导函数为,当时,有,则的解集为________.

1、当您付费下载文档后,您只拥有了使用权限,并不意味着购买了版权,文档只能用于自身使用,不得用于其他商业用途(如 [转卖]进行直接盈利或[编辑后售卖]进行间接盈利)。
2、本站所有内容均由合作方或网友上传,本站不对文档的完整性、权威性及其观点立场正确性做任何保证或承诺!文档内容仅供研究参考,付费前请自行鉴别。
3、如文档内容存在违规,或者侵犯商业秘密、侵犯著作权等,请点击“违规举报”。

碎片内容

与本文档类似文档
2011年广东高考(理科)数学(原卷版).doc
2011年广东高考(理科)数学(原卷版).doc
免费
24下载
2024年新高考数学复习资料专题10 导数的综合运用(原卷版).docx
2024年新高考数学复习资料专题10 导数的综合运用(原卷版).docx
免费
0下载
高中2024版《微专题》·数学(文)·统考版专练 1.docx
高中2024版《微专题》·数学(文)·统考版专练 1.docx
免费
0下载
2019年高考数学试卷(文)(新课标Ⅱ)(解析卷) (1).pdf
2019年高考数学试卷(文)(新课标Ⅱ)(解析卷) (1).pdf
免费
0下载
1999年西藏高考文科数学真题及答案.doc
1999年西藏高考文科数学真题及答案.doc
免费
20下载
高考数学复习  2025届新高三阶段性检测01 基础版(范围:集合、常用逻辑用语、不等式、函数、导数)(解析版).docx
高考数学复习 2025届新高三阶段性检测01 基础版(范围:集合、常用逻辑用语、不等式、函数、导数)(解析版).docx
免费
0下载
上海市奉贤区2022年高三第一学期期末(一模)学科质量检测数学试卷(word原卷版).doc
上海市奉贤区2022年高三第一学期期末(一模)学科质量检测数学试卷(word原卷版).doc
免费
0下载
2016年广东高考(文科)数学(原卷版).docx
2016年广东高考(文科)数学(原卷版).docx
免费
24下载
2024年新高考数学复习资料素养拓展5 嵌套函数的零点问题(精讲+精练)【一轮复习讲义】2024年高考数学高频考点题型归纳与方法总结(新高考通用)解析版.docx
2024年新高考数学复习资料素养拓展5 嵌套函数的零点问题(精讲+精练)【一轮复习讲义】2024年高考数学高频考点题型归纳与方法总结(新高考通用)解析版.docx
免费
0下载
2017年高考数学试卷(理)(新课标Ⅰ)(解析卷) (1).pdf
2017年高考数学试卷(理)(新课标Ⅰ)(解析卷) (1).pdf
免费
0下载
高中2024版考评特训卷·数学·理科【统考版】点点练 38.docx
高中2024版考评特训卷·数学·理科【统考版】点点练 38.docx
免费
0下载
高中数学·必修第一册(北师大版)课时作业WORD  课时作业(四十五).doc
高中数学·必修第一册(北师大版)课时作业WORD 课时作业(四十五).doc
免费
28下载
2018年高考数学试卷(理)(新课标Ⅱ)(空白卷).doc
2018年高考数学试卷(理)(新课标Ⅱ)(空白卷).doc
免费
0下载
2024年新高考数学复习资料专题7.1 基本立体图形(解析版).docx
2024年新高考数学复习资料专题7.1 基本立体图形(解析版).docx
免费
0下载
2025届高中数学一轮复习课件:第五章 第3讲 第1课时基本公式(共77张ppt).pptx
2025届高中数学一轮复习课件:第五章 第3讲 第1课时基本公式(共77张ppt).pptx
免费
0下载
2024年高考押题预测卷数学(北京卷01)(全解全析).docx
2024年高考押题预测卷数学(北京卷01)(全解全析).docx
免费
18下载
2025年新高考数学复习资料2025版新教材高考数学第二轮复习专题练--5.1 平面向量(含答案).docx
2025年新高考数学复习资料2025版新教材高考数学第二轮复习专题练--5.1 平面向量(含答案).docx
免费
0下载
2024版《大考卷》全程考评特训卷·数学·理科【统考版】素养训练(一).docx
2024版《大考卷》全程考评特训卷·数学·理科【统考版】素养训练(一).docx
免费
1下载
高中数学高考数学10大专题技巧--专题05 用构造辅助数列通项公式(学生版).docx.doc
高中数学高考数学10大专题技巧--专题05 用构造辅助数列通项公式(学生版).docx.doc
免费
0下载
2015年高考数学试卷(理)(新课标Ⅱ)(解析卷) (9).pdf
2015年高考数学试卷(理)(新课标Ⅱ)(解析卷) (9).pdf
免费
0下载
我的小文库
实名认证
内容提供者

提供高质量免费文档试卷下载,如果满意请告诉您身边的人,如果不满意请告诉我们,您的意见对于我们很重要,是我们不断进步的动力

阅读排行

确认删除?
回到顶部
客服号
  • 客服QQ点击这里给我发消息
QQ群
  • QQ群点击这里加入QQ群
提交所需资料详情,我们来帮找资料