2024年新高考数学复习资料押天津卷第18题教师版.docx本文件免费下载 【共43页】

2024年新高考数学复习资料押天津卷第18题教师版.docx
2024年新高考数学复习资料押天津卷第18题教师版.docx
2024年新高考数学复习资料押天津卷第18题教师版.docx
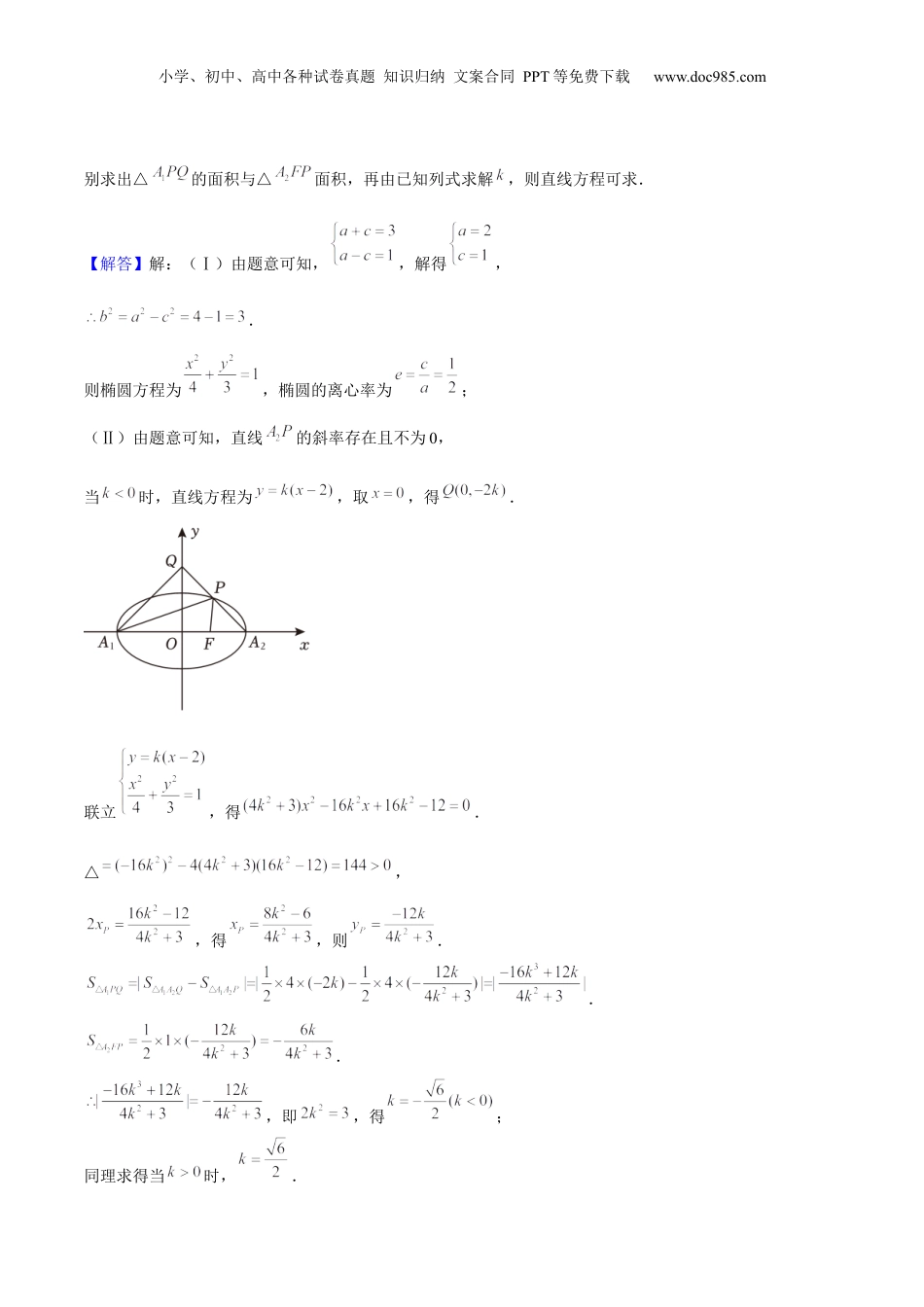
小学、初中、高中各种试卷真题知识归纳文案合同PPT等免费下载www.doc985.com押天津卷18题椭圆大题考点2年考题考情分析解析几何之椭圆大题2023年天津卷第18题2022年天津卷第19题近两年高考对于椭圆的考察整体难度中等,利用题干给的信息进行分析,得到需要的方程求解,分析难度整体不大,计算量较大。圆锥曲线椭圆大题的难度多来自联立方程之后的计算,往往需要考生有比较扎实的计算功底。题型一椭圆18.(15分)(2023•天津)设椭圆的左、右顶点分别为,,右焦点为,已知,.(Ⅰ)求椭圆方程及其离心率;(Ⅱ)已知点是椭圆上一动点(不与顶点重合),直线交轴于点,若△的面积是△面积的二倍,求直线的方程.【分析】(Ⅰ)由题意可得,求解与的值,再由隐含条件求解,则椭圆方程可求;(Ⅱ)由题意可知,直线的斜率存在且不为0,设直线方程为,取,得,分小学、初中、高中各种试卷真题知识归纳文案合同PPT等免费下载www.doc985.com别求出△的面积与△面积,再由已知列式求解,则直线方程可求.【解答】解:(Ⅰ)由题意可知,,解得,.则椭圆方程为,椭圆的离心率为;(Ⅱ)由题意可知,直线的斜率存在且不为0,当时,直线方程为,取,得.联立,得.△,,得,则...,即,得;同理求得当时,.小学、初中、高中各种试卷真题知识归纳文案合同PPT等免费下载www.doc985.com直线的方程为.19.(15分)(2022•天津)椭圆的右焦点为、右顶点为,上顶点为,且满足.(1)求椭圆的离心率;(2)直线与椭圆有唯一公共点,与轴相交于异于.记为坐标原点,若,且的面积为,求椭圆的标准方程.【答案】(1);(2).【分析】(1)根据建立,的等式,再转化为,的等式,从而得离心率的值;(2)先由(1)将椭圆方程转化为,再设直线为,联立椭圆方程求出点的坐标,再由△及,且的面积为建立方程组,再解方程组即可得解.【解答】解:(1),,,,,;小学、初中、高中各种试卷真题知识归纳文案合同PPT等免费下载www.doc985.com(2)由(1)可知椭圆为,即,设直线,联立,消去可得:,又直线与椭圆只有一个公共点,△,,又,,又,,解得,,又的面积为,,,又,,,,椭圆的标准方程为.1.弦长公式设直线与椭圆的交点坐标为A(x1,y1),B(x2,y2),则|AB|=|x1-x2|=或|AB|=|y1-y2|=,k为直线斜率且k≠0.2.常用结论已知椭圆+=1(a>b>0).(1)通径的长度为.小学、初中、高中各种试卷真题知识归纳文案合同PPT等免费下载www.doc985.com(2)过左焦点的弦AB,A(x1,y1),B(x2,y2),则焦点弦|AB|=2a+e(x1+x2);过右焦点弦CD,C(x3,y3),D(x4,y4),则焦点弦|CD|=2a-e(x3+x4).(e为椭圆的离心率)(3)A1,A2为椭圆的长轴顶点,P是椭圆上异于A1,A2的任一点,则.(4)AB是椭圆的不平行于对称轴的弦,O为原点,M为AB的中点,则kOM·kAB=-.(5)过原点的直线交椭圆于A,B两点,P是椭圆上异于A,B的任一点,则kPA·kPB=-.(6)点P(x0,y0)在椭圆上,过点P的切线方程为+=1.3.做题技巧1若直线经过x轴上一点时可以考虑解设直线方程为。2如果直线不明确经过椭圆内一点时,需要考虑计算△。3直线与椭圆相切时△=0,此外切点的横坐标1.设椭圆的离心率等于,抛物线的焦点是椭圆的一个顶点,、分别是椭圆的左右顶点.(1)求椭圆的方程;(2)动点、为椭圆上异于、的两点,设直线,的斜率分别为,,且,求证:直线经过定点.【答案】(1);(2)证明过程见详解,定点,.【分析】(1)由抛物线的方程可得焦点的坐标,由椭圆的离心率的值和它的一个顶点,可得,的值,即求出椭圆的方程;(2)设直线的方程,与椭圆的方程联立,可得的坐标,同理可得的坐标,进而求出直线的方小学、初中、高中各种试卷真题知识归纳文案合同PPT等免费下载www.doc985.com程,可证得直线恒过定点的坐标.【解答】(1)解:的焦点的坐标,由,,,因为,得,所以椭圆的方程为:;(2)证明:由(1)可知,,由题意可知,直线的斜率存在,且不为0,设直线的斜率,直线的方程为,联立,整理可得:,直线过点,所以,可得,代入,得,即,直线的方程为,代入椭圆方程,同理:,若,即,小学、初中、高中各种试卷...

1、当您付费下载文档后,您只拥有了使用权限,并不意味着购买了版权,文档只能用于自身使用,不得用于其他商业用途(如 [转卖]进行直接盈利或[编辑后售卖]进行间接盈利)。
2、本站所有内容均由合作方或网友上传,本站不对文档的完整性、权威性及其观点立场正确性做任何保证或承诺!文档内容仅供研究参考,付费前请自行鉴别。
3、如文档内容存在违规,或者侵犯商业秘密、侵犯著作权等,请点击“违规举报”。

碎片内容

与本文档类似文档
2015年北京市高考数学试卷(文科)往年高考真题.doc
2015年北京市高考数学试卷(文科)往年高考真题.doc
免费
0下载
2025年新高考数学复习资料微专题15 三角中的最值、范围问题.docx
2025年新高考数学复习资料微专题15 三角中的最值、范围问题.docx
免费
0下载
2025年新高考数学复习资料2025版新教材高考数学第二轮复习专题练--6.5 数列的综合(含答案).docx
2025年新高考数学复习资料2025版新教材高考数学第二轮复习专题练--6.5 数列的综合(含答案).docx
免费
0下载
2024年新高考数学复习资料专题16 抛物线的焦点弦、中点弦、弦长问题(解析版).docx
2024年新高考数学复习资料专题16 抛物线的焦点弦、中点弦、弦长问题(解析版).docx
免费
0下载
第01讲 计数原理(三大题型)(课件).pptx
第01讲 计数原理(三大题型)(课件).pptx
免费
0下载
2024年新高考数学复习资料专题4.2 三角函数的图象与性质【八大题型】(举一反三)(新高考专用)(原卷版).docx
2024年新高考数学复习资料专题4.2 三角函数的图象与性质【八大题型】(举一反三)(新高考专用)(原卷版).docx
免费
0下载
2023年北京卷高考真题数学试题 Word版含解析.doc
2023年北京卷高考真题数学试题 Word版含解析.doc
免费
16下载
2024版《大考卷》全程考评特训卷·数学·文科【统考版】素养训练(五).docx
2024版《大考卷》全程考评特训卷·数学·文科【统考版】素养训练(五).docx
免费
30下载
2025年新高考数学复习资料第01讲 导数的概念及其意义、导数的运算(十二大题型)(练习)(原卷版)(1).docx
2025年新高考数学复习资料第01讲 导数的概念及其意义、导数的运算(十二大题型)(练习)(原卷版)(1).docx
免费
0下载
高中数学高考数学10大专题技巧--专题17 单变量不含参不等式证明方法之虚设零点(教师版).docx
高中数学高考数学10大专题技巧--专题17 单变量不含参不等式证明方法之虚设零点(教师版).docx
免费
0下载
专题04 三角函数与解三角形(三大类型题)精选15区真题(解析版).docx
专题04 三角函数与解三角形(三大类型题)精选15区真题(解析版).docx
免费
0下载
2023年高考数学真题(新高考Ⅰ)(解析版).docx
2023年高考数学真题(新高考Ⅰ)(解析版).docx
免费
1下载
2013年浙江省高考数学【理】(原卷版).doc
2013年浙江省高考数学【理】(原卷版).doc
免费
18下载
7. 衡水中学高考积累与改错_高三数学(第3本)_126页.pdf
7. 衡水中学高考积累与改错_高三数学(第3本)_126页.pdf
免费
18下载
2012年上海市黄浦区高考数学一模试卷(理科).doc
2012年上海市黄浦区高考数学一模试卷(理科).doc
免费
0下载
高中数学高考数学10大专题技巧--专题30  证明数量关系型问题(学生版).docx.doc
高中数学高考数学10大专题技巧--专题30 证明数量关系型问题(学生版).docx.doc
免费
0下载
2024年新高考数学复习资料专题14 双曲线中的向量问题(解析版).docx
2024年新高考数学复习资料专题14 双曲线中的向量问题(解析版).docx
免费
0下载
精品解析:上海市崇明区2024届高三二模数学试题(原卷版).docx
精品解析:上海市崇明区2024届高三二模数学试题(原卷版).docx
免费
0下载
精品解析:江苏省扬州中学、盐城中学、淮阴中学、丹阳中学四校2023-2024学年高三下学期调研测试联考数学试卷(解析版).docx
精品解析:江苏省扬州中学、盐城中学、淮阴中学、丹阳中学四校2023-2024学年高三下学期调研测试联考数学试卷(解析版).docx
免费
0下载
高考数学专题10 直线和圆的方程(4大易错点分析+解题模板+举一反三+易错题通关)-备战2024年高考数学考试易错题(新高考专用)(解析版).docx
高考数学专题10 直线和圆的方程(4大易错点分析+解题模板+举一反三+易错题通关)-备战2024年高考数学考试易错题(新高考专用)(解析版).docx
免费
0下载
我的小文库
实名认证
内容提供者

提供高质量免费文档试卷下载,如果满意请告诉您身边的人,如果不满意请告诉我们,您的意见对于我们很重要,是我们不断进步的动力

阅读排行

确认删除?
回到顶部
客服号
  • 客服QQ点击这里给我发消息
QQ群
  • QQ群点击这里加入QQ群