2024年新高考数学复习资料专题23 圆锥曲线与内心问题(解析版).docx本文件免费下载 【共27页】

2024年新高考数学复习资料专题23 圆锥曲线与内心问题(解析版).docx
2024年新高考数学复习资料专题23 圆锥曲线与内心问题(解析版).docx
2024年新高考数学复习资料专题23 圆锥曲线与内心问题(解析版).docx
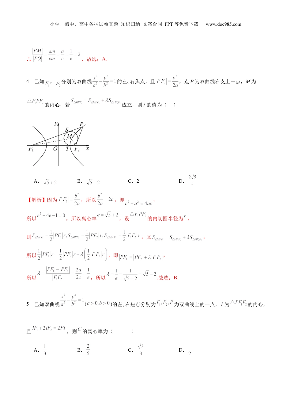
小学、初中、高中各种试卷真题知识归纳文案合同PPT等免费下载www.doc985.com专题23圆锥曲线与内心问题限时:120分钟满分:150分一、单选题:本大题共8小题,每个小题5分,共40分.在每小题给出的选项中,只有一项是符合题目要求的.1.已知点,分别是椭圆:的左、右焦点,点P是椭圆E上的一点,若的内心是G,且,则椭圆E的离心率为()A.B.C.D.【解析】设点G到各边的距离为,由,得,即,由椭圆定义知,,于是,所以椭圆E的离心率.故选:B2.已知、是椭圆的左右焦点,点为上一动点,且,若为的内心,则面积的取值范围是()A.B.C.D.【解析】由椭圆的方程可得,,,小学、初中、高中各种试卷真题知识归纳文案合同PPT等免费下载www.doc985.com设内切圆的半径为,则,可得,而,所以,所以,所以,因为,所以,即.故选:C.3.若椭圆的离心率为,两个焦点分别为,,为椭圆上异于顶点的任意一点,点是的内心,连接并延长交于点,则()A.2B.C.4D.【解析】如图,连接,,设到轴距离为,到轴距离为,则设△内切圆的半径为,则,,∴,不妨设,则,∴,因为椭圆的离心率为,小学、初中、高中各种试卷真题知识归纳文案合同PPT等免费下载www.doc985.com∴,故选:A.4.已知,分别为双曲线的左、右焦点,且,点P为双曲线右支上一点,M为的内心,若成立,则λ的值为()A.B.C.2D.【解析】因为,所以,即,所以,所以离心率,设的内切圆半径为,则,又,所以,即,所以,所以.故选:B.5.已知双曲线()的左、右焦点分别为为双曲线上的一点,为的内心,且,则的离心率为()A.B.C.D.小学、初中、高中各种试卷真题知识归纳文案合同PPT等免费下载www.doc985.com【解析】如下图示,延长到且,延长到且,所以,即,故是△的重心,即,又,所以,而是的内心,则,由,则,故,即.故选:D6.已知双曲线的左、右焦点分别为,离心率为2,焦点到渐近线的距离为.过作直线交双曲线的右支于两点,若分别为与的内心,则的取值范围为()A.B.C.D.【解析】由题意,在中,根据焦点到渐近线的距可得,离心率为2,∴,解得:,∴∴双曲线的方程为.小学、初中、高中各种试卷真题知识归纳文案合同PPT等免费下载www.doc985.com记的内切圆在边,,上的切点分别为,则,横坐标相等,,,由,即,得,即,记的横坐标为,则,于是,得,同理内心的横坐标也为,故轴.设直线的倾斜角为,则,(Q为坐标原点),在中,,由于直线与的右支交于两点,且的一条渐近线的斜率为,倾斜角为,∴,即,∴的范围是.故选:D.7.设为椭圆上的动点,为椭圆的焦点,为的内心,则直线和直线的斜率之积()小学、初中、高中各种试卷真题知识归纳文案合同PPT等免费下载www.doc985.comA.是定值B.非定值,但存在最大值C.非定值,但存在最小值D.非定值,且不存在最值【解析】连接并延长交轴于,则由内角平分线定理可得:,,;设,,,则,,,则,又,则.,则,,,则,直线和直线的斜率之积是定值.故选:A.8.已知双曲线的左、右焦点分别为,过右焦点的直线与双曲线的右支交于两点,小学、初中、高中各种试卷真题知识归纳文案合同PPT等免费下载www.doc985.com若的内心分别为,则与面积之和的取值范围是()A.B.C.D.【解析】由双曲线方程得:,,则,设内切圆与三边相切于点,,,,,又,,,设,则,解得:,即;同理可知:内切圆与轴相切于点;分别为的角平分线,,又,∽,则,设内切圆半径分别为,,,即,,双曲线的渐近线斜率,直线的倾斜角,,则,小学、初中、高中各种试卷真题知识归纳文案合同PPT等免费下载www.doc985.com,解得:,又在上单调递减,在上单调递增,当时,;当时,;当时,;,.故选:A.二、多选题:本大题共4小题,每个小题5分,共20分.在每小题给出的选项中,只有一项或者多项是符合题目要求的.9.已知,分别为双曲线的左、右焦点,M为C的右顶点,过的直线与C的右支交于A,B两点(其中点A在第一象限),设点P,Q分别为,的内心,R,r分别为,内切圆的半径,则()A.点M在直线PQ上B.点M在直线PQ的左侧C.D.【解析】先证明一个结论:焦点在x轴上的双曲线焦点三角形的内切圆圆心横坐...

1、当您付费下载文档后,您只拥有了使用权限,并不意味着购买了版权,文档只能用于自身使用,不得用于其他商业用途(如 [转卖]进行直接盈利或[编辑后售卖]进行间接盈利)。
2、本站所有内容均由合作方或网友上传,本站不对文档的完整性、权威性及其观点立场正确性做任何保证或承诺!文档内容仅供研究参考,付费前请自行鉴别。
3、如文档内容存在违规,或者侵犯商业秘密、侵犯著作权等,请点击“违规举报”。

碎片内容

与本文档类似文档
2024年新高考数学复习资料专题08 活用三角函数的图象与性质(6大核心考点)(讲义)(解析版).docx
2024年新高考数学复习资料专题08 活用三角函数的图象与性质(6大核心考点)(讲义)(解析版).docx
免费
0下载
高考数学复习  2025届新高三阶段性检测01 能力版(范围:集合、常用逻辑用语、不等式、函数、导数)(原卷版).docx
高考数学复习 2025届新高三阶段性检测01 能力版(范围:集合、常用逻辑用语、不等式、函数、导数)(原卷版).docx
免费
0下载
高中数学·选择性必修·第一册·(RJ-A版)课时作业WORD  本册过关检测.docx
高中数学·选择性必修·第一册·(RJ-A版)课时作业WORD 本册过关检测.docx
免费
8下载
2024年新高考数学复习资料第03讲《集合与简易逻辑》章节测试 (原卷版).docx
2024年新高考数学复习资料第03讲《集合与简易逻辑》章节测试 (原卷版).docx
免费
0下载
2015年上海市闵行区高考数学一模试卷(理科).doc
2015年上海市闵行区高考数学一模试卷(理科).doc
免费
0下载
2023《大考卷》二轮专项分层特训卷•数学·理科【统考版】2.13.docx
2023《大考卷》二轮专项分层特训卷•数学·理科【统考版】2.13.docx
免费
7下载
2011年高考数学试卷(理)(天津)(空白卷).pdf
2011年高考数学试卷(理)(天津)(空白卷).pdf
免费
0下载
2022年高考数学试卷(新高考Ⅱ卷)(解析卷) (1).pdf
2022年高考数学试卷(新高考Ⅱ卷)(解析卷) (1).pdf
免费
0下载
2024年高考数学试卷(文)(全国甲卷)(空白卷) (4).docx
2024年高考数学试卷(文)(全国甲卷)(空白卷) (4).docx
免费
0下载
高中数学•选择性必修·第二册(BSD版)课时作业WORD  课时作业(十).docx
高中数学•选择性必修·第二册(BSD版)课时作业WORD 课时作业(十).docx
免费
25下载
2010年高考数学真题(文科)(安徽自主命题).doc
2010年高考数学真题(文科)(安徽自主命题).doc
免费
14下载
2024年新高考数学复习资料第09讲 二次函数与幂函数(精讲)【一轮复习讲义】2024年高考数学高频考点题型归纳与方法总结(新高考通用)解析版.docx
2024年新高考数学复习资料第09讲 二次函数与幂函数(精讲)【一轮复习讲义】2024年高考数学高频考点题型归纳与方法总结(新高考通用)解析版.docx
免费
0下载
高中数学高考数学10大专题技巧--专题07 构造函数法解决导数不等式问题(二)(教师版).docx
高中数学高考数学10大专题技巧--专题07 构造函数法解决导数不等式问题(二)(教师版).docx
免费
0下载
2005年高考数学真题(广东自主命题).doc
2005年高考数学真题(广东自主命题).doc
免费
24下载
2024年新高考数学复习资料第16练 导数与函数的极值、最值(精练:基础+重难点)【一轮复习讲义】2024年高考数学高频考点题型归纳与方法总结(新高考通用)原卷版.docx
2024年新高考数学复习资料第16练 导数与函数的极值、最值(精练:基础+重难点)【一轮复习讲义】2024年高考数学高频考点题型归纳与方法总结(新高考通用)原卷版.docx
免费
0下载
2014年全国统一高考数学试卷(理科)(新课标ⅱ)(含解析版).doc
2014年全国统一高考数学试卷(理科)(新课标ⅱ)(含解析版).doc
免费
15下载
2016年上海高考文科数学真题(解析版).docx
2016年上海高考文科数学真题(解析版).docx
免费
0下载
2000年高考数学真题(文科)(陕西自主命题).doc
2000年高考数学真题(文科)(陕西自主命题).doc
免费
29下载
2013年高考数学试卷(理)(大纲版)(解析卷).pdf
2013年高考数学试卷(理)(大纲版)(解析卷).pdf
免费
0下载
2020年高考数学试卷(上海)(秋考)(解析卷).docx
2020年高考数学试卷(上海)(秋考)(解析卷).docx
免费
0下载
我的小文库
实名认证
内容提供者

提供高质量免费文档试卷下载,如果满意请告诉您身边的人,如果不满意请告诉我们,您的意见对于我们很重要,是我们不断进步的动力

阅读排行

确认删除?
回到顶部
客服号
  • 客服QQ点击这里给我发消息
QQ群
  • QQ群点击这里加入QQ群
提交所需资料详情,我们来帮找资料