【中考历年真题】精品解析:2023年山东省东营市中考数学真题(原卷版)(1).docx本文件免费下载 【共9页】

【中考历年真题】精品解析:2023年山东省东营市中考数学真题(原卷版)(1).docx
【中考历年真题】精品解析:2023年山东省东营市中考数学真题(原卷版)(1).docx
【中考历年真题】精品解析:2023年山东省东营市中考数学真题(原卷版)(1).docx
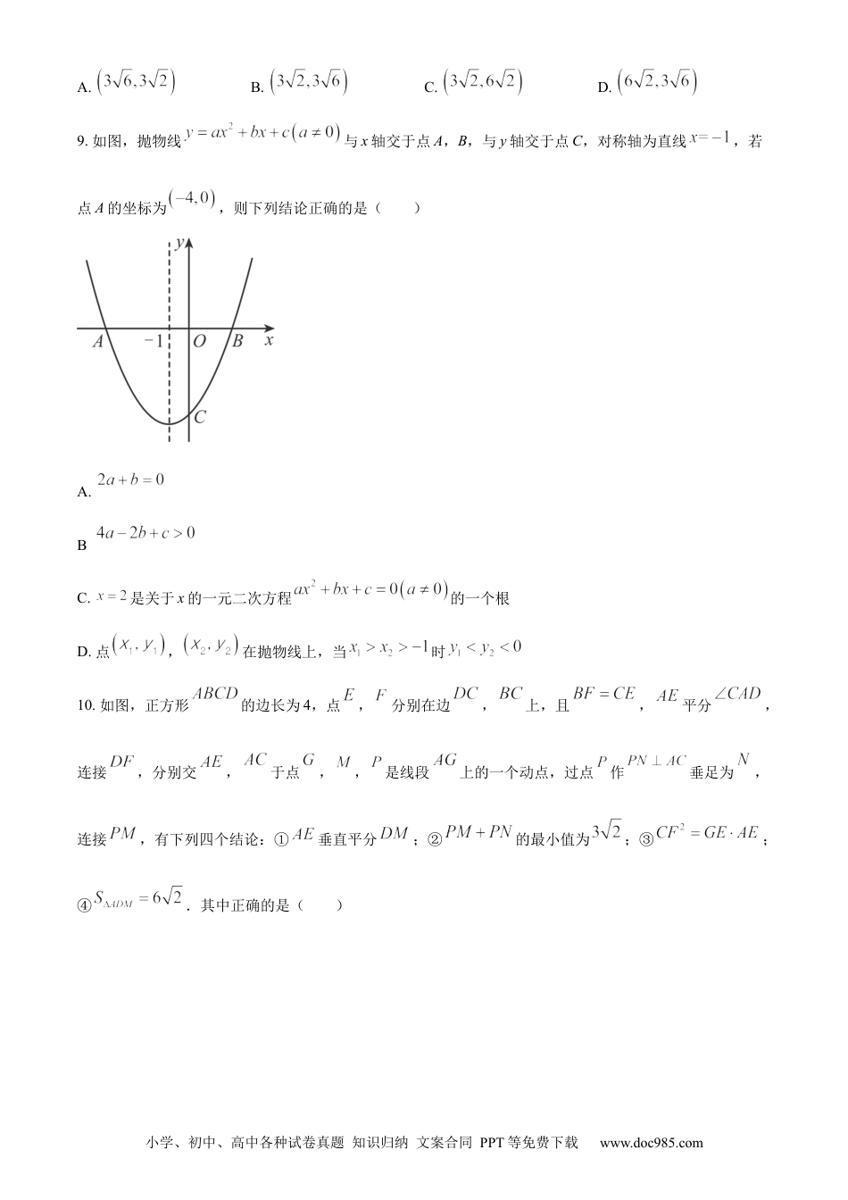
小学、初中、高中各种试卷真题知识归纳文案合同PPT等免费下载www.doc985.com二○二三年东营市初中学业水平考试数学试题(总分120分,考试时间120分钟)第Ⅰ卷(选择题共30分)一、选择题:本大题共10小题,在每小题给出的四个选项中,只有一项是正确的,请把正确的选项选出来.每小题选对得3分,选错、不选或选出的答案超过一个均记零分.1.的相反数是()A.B.C.D.2.下列运算结果正确的是()A.B.C.D.3.如图,,点在线段上(不与点,重合),连接,若,,则()A.B.C.D.4.剪纸是中国最古老的民间艺术之一,先后入选中国国家级非物质文化遗产名录和人类非物质文化遗产代表作名录.小文购买了以“剪纸图案”为主题的5张书签,他想送给好朋友小乐一张.小文将书签背面朝上(背面完全相同),让小乐从中随机抽取一张,则小乐抽到的书签图案既是轴对称图形又是中心对称图形的概率是()A.B.C.D.5.为扎实推进“五育”并举工作,加强劳动教育,东营市某中学针对七年级学生开设了“跟我学面点”烹小学、初中、高中各种试卷真题知识归纳文案合同PPT等免费下载www.doc985.com饪课程,课程开设后学校花费6000元购进第一批面粉,用完后学校又花费9600元购进了第二批面粉,第二批面粉的采购量是第一批采购量的1.5倍,但每千克面粉价格提高了0.4元.设第一批面粉采购量为x千克,依题意所列方程正确的是()A.B.C.D.6.如果圆锥侧面展开图的面积是,母线长是,则这个圆锥的底面半径是()A.3B.4C.5D.67.如图,为等边三角形,点,分别在边,上,,若,,则的长为()A.B.C.D.8.如图,在平面直角坐标系中,菱形的边长为,点在轴的正半轴上,且,将菱形绕原点逆时针方向旋转,得到四边形点与点重合,则点的坐标是()小学、初中、高中各种试卷真题知识归纳文案合同PPT等免费下载www.doc985.comA.B.C.D.9.如图,抛物线与x轴交于点A,B,与y轴交于点C,对称轴为直线,若点A的坐标为,则下列结论正确的是()A.B.C.是关于x的一元二次方程的一个根D.点,在抛物线上,当时10.如图,正方形的边长为4,点,分别在边,上,且,平分,连接,分别交,于点,,是线段上的一个动点,过点作垂足为,连接,有下列四个结论:①垂直平分;②的最小值为;③;④.其中正确的是()小学、初中、高中各种试卷真题知识归纳文案合同PPT等免费下载www.doc985.comA.①②B.②③④C.①③④D.①③第Ⅱ卷(非选择题共90分)二、填空题:本大题共8小题,其中11-14题每小题3分,15-18题每小题4分,共28分.只要求填写最后结果.11.我国古代数学家祖冲之推算出的近似值为,它与的误差小于0.0000003,将0.0000003用科学记数法可以表示为______.12.因式分解:___________.13.如图,一束光线从点出发,经过y轴上的点反射后经过点,则的值是___________.14.为备战东营市第十二届运动会,某县区对甲、乙、丙、丁四名射击运动员进行射击测试,他们射击测试成绩的平均数(单位:环)及方差(单位:环2)如下表所示:甲乙丙丁根据表中数据,要从中选择一名成绩好且发挥稳定的运动员参加比赛,应选择___________.15.一艘船由A港沿北偏东60°方向航行30km至B港,然后再沿北偏西30°方向航行40km至C港,则A,小学、初中、高中各种试卷真题知识归纳文案合同PPT等免费下载www.doc985.comC两港之间的距离为___________km.16.“圆材埋壁”是我国古代数学名著《九章算术》中的一个问题:“今有圆材,埋在壁中,不知大小,以锯锯之,深一寸,锯道长一尺.问:径几何?”.用现在的几何语言表达即:如图,为的直径,弦,垂足为点,寸,寸,则直径的长度是________寸.17.如图,在中,以点为圆心,任意长为半径作弧,分别交,于点,;分别以点,为圆心,大于的长为半径作弧,两弧交于点;作射线交于点,若,,的面积为,则的面积为___________.18.如图,在平面直角坐标系中,直线l:与x轴交于点,以为边作正方形点在y轴上,延长交直线l于点,以为边作正方形,点在y轴上,以同样的方式依次作正方形,…,正方形,则点的横坐标是___________.小学、初中、高中各种试卷真题知识归纳文案合同PPT等免费下载www.doc985.com三、解答题:本大题共7小题,共62...

1、当您付费下载文档后,您只拥有了使用权限,并不意味着购买了版权,文档只能用于自身使用,不得用于其他商业用途(如 [转卖]进行直接盈利或[编辑后售卖]进行间接盈利)。
2、本站所有内容均由合作方或网友上传,本站不对文档的完整性、权威性及其观点立场正确性做任何保证或承诺!文档内容仅供研究参考,付费前请自行鉴别。
3、如文档内容存在违规,或者侵犯商业秘密、侵犯著作权等,请点击“违规举报”。

碎片内容

与本文档类似文档
九年级上册数学专题24.2 圆心角、弧、弦的关系【九大题型】(人教版)(原卷版).docx
九年级上册数学专题24.2 圆心角、弧、弦的关系【九大题型】(人教版)(原卷版).docx
免费
1下载
精品解析:2022年浙江省丽水市中考数学真题(原卷版).docx
精品解析:2022年浙江省丽水市中考数学真题(原卷版).docx
免费
8下载
【中考历年真题】2013年四川省成都市中考数学试卷及答案.doc
【中考历年真题】2013年四川省成都市中考数学试卷及答案.doc
免费
0下载
精品解析:湖南省株洲市2020年中考数学真题(原卷版).doc
精品解析:湖南省株洲市2020年中考数学真题(原卷版).doc
免费
2下载
【中考历年真题】精品解析:2022年贵州省铜仁市中考数学真题(原卷版).docx
【中考历年真题】精品解析:2022年贵州省铜仁市中考数学真题(原卷版).docx
免费
0下载
数学 九年级秋季班-第15讲:一模复习之填空压轴题.docx
数学 九年级秋季班-第15讲:一模复习之填空压轴题.docx
免费
9下载
2016年湖南省益阳市中考数学试卷(含解析版).doc
2016年湖南省益阳市中考数学试卷(含解析版).doc
免费
17下载
华东师大九年级数学上册第22章 一元二次方程测试题及答案.doc
华东师大九年级数学上册第22章 一元二次方程测试题及答案.doc
免费
27下载
2013年湖南省湘潭市中考数学试卷(含解析版).doc
2013年湖南省湘潭市中考数学试卷(含解析版).doc
免费
27下载
北京市2018年中考数学真题试题(含解析2).doc
北京市2018年中考数学真题试题(含解析2).doc
免费
5下载
2017年辽宁省营口市中考数学试卷(空白卷).doc
2017年辽宁省营口市中考数学试卷(空白卷).doc
免费
10下载
精品解析:四川省成都市2020年中考数学试题(原卷版)(1).doc
精品解析:四川省成都市2020年中考数学试题(原卷版)(1).doc
免费
26下载
【中考历年真题】精品解析:2023年河南省中考数学真题(原卷版).docx
【中考历年真题】精品解析:2023年河南省中考数学真题(原卷版).docx
免费
0下载
初中九年级数学上册人教版九年级数学上册:25.2 第二课时  用列举法求概率(2).doc
初中九年级数学上册人教版九年级数学上册:25.2 第二课时 用列举法求概率(2).doc
免费
8下载
2013年山东省威海市中考数学试卷.doc
2013年山东省威海市中考数学试卷.doc
免费
28下载
精品解析:2022年广西百色市中考数学真题(解析版).docx
精品解析:2022年广西百色市中考数学真题(解析版).docx
免费
18下载
【中考历年真题】2017年山西省中考数学试卷(含解析版).doc
【中考历年真题】2017年山西省中考数学试卷(含解析版).doc
免费
0下载
【中考历年真题】四川省成都市2019年中考数学真题试题(含解析).docx
【中考历年真题】四川省成都市2019年中考数学真题试题(含解析).docx
免费
0下载
人教九年级数学下册  专题25 含特殊角三角函数值的混合运算中考最新模拟30道(解析版).docx
人教九年级数学下册 专题25 含特殊角三角函数值的混合运算中考最新模拟30道(解析版).docx
免费
1下载
人教九年级数学上册  专题24.2 圆心角、弧、弦的关系【九大题型】(人教版)(原卷版).docx
人教九年级数学上册 专题24.2 圆心角、弧、弦的关系【九大题型】(人教版)(原卷版).docx
免费
1下载
我的小文库
实名认证
内容提供者

提供高质量免费文档试卷下载,如果满意请告诉您身边的人,如果不满意请告诉我们,您的意见对于我们很重要,是我们不断进步的动力

相关文档

阅读排行

确认删除?
回到顶部
客服号
  • 客服QQ点击这里给我发消息
QQ群
  • QQ群点击这里加入QQ群
提交所需资料详情,我们来帮找资料