高中数学 必修2 8.2 立体图形的直观图(原卷版).doc本文件免费下载 【共5页】

高中数学 必修2   8.2 立体图形的直观图(原卷版).doc
高中数学 必修2   8.2 立体图形的直观图(原卷版).doc
高中数学 必修2   8.2 立体图形的直观图(原卷版).doc
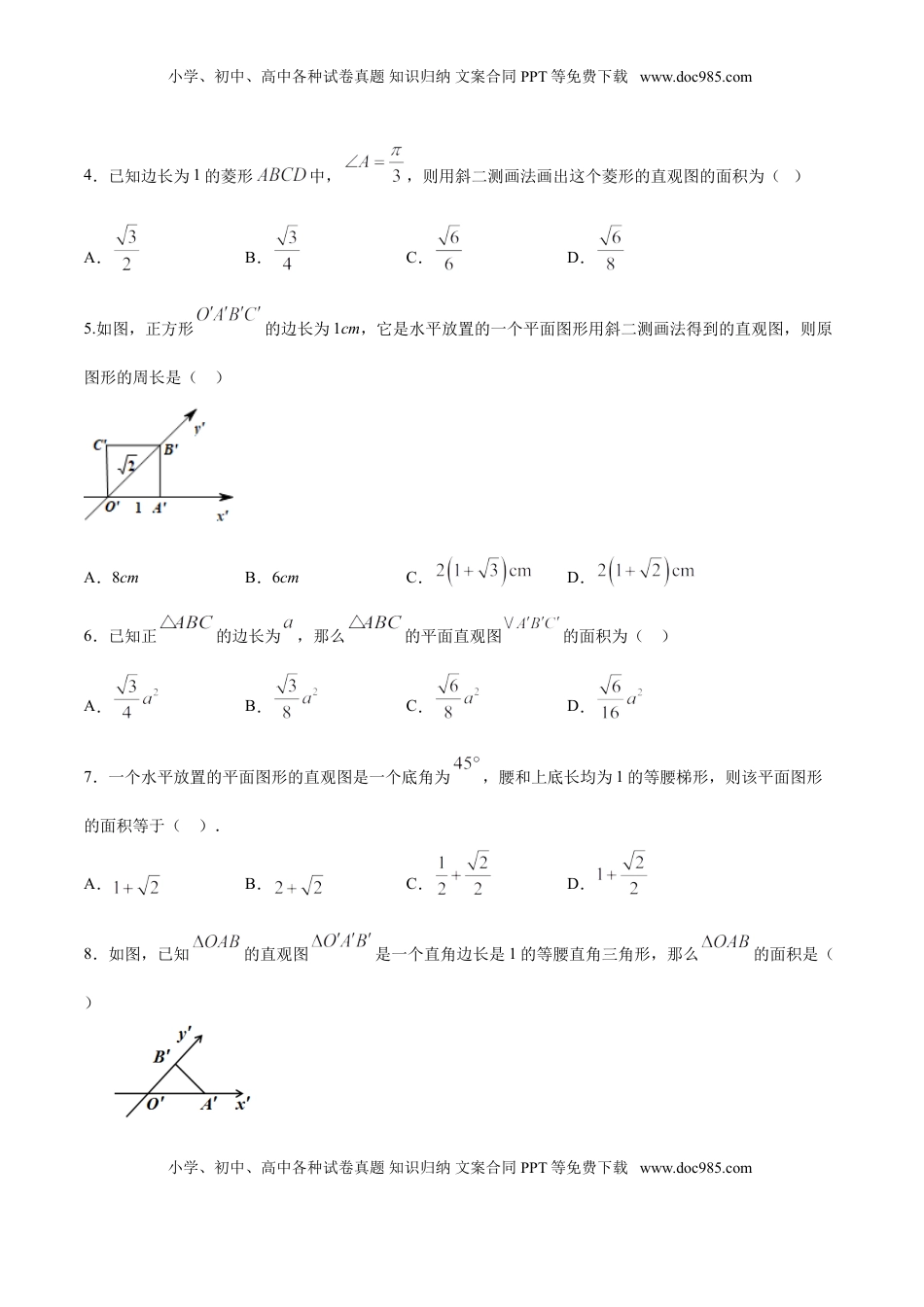
小学、初中、高中各种试卷真题知识归纳文案合同PPT等免费下载www.doc985.com第八章立体几何初步8.2立体图形的直观图一、基础巩固1.已知水平放置的△ABC是按“斜二测画法”得到如图所示的直观图,其中B′O′=C′O′=1,A′O′=,那么原△ABC的面积是()A.B.2C.D.2.利用斜二测画法得到的:①三角形的直观图是三角形;②平行四边形的直观图是平行四边形;③正方形的直观图是正方形;④菱形的直观图是菱形.以上结论正确的是()A.①②B.①C.③④D.①②③④3.用斜二测画法画出的某平面图形的直观图如图,边AB平行于y轴,BC,AD平行于x轴.已知四边形ABCD的面积为cm2,则原平面图形的面积为()A.4cm2B.cm2C.8cm2D.cm2小学、初中、高中各种试卷真题知识归纳文案合同PPT等免费下载www.doc985.com小学、初中、高中各种试卷真题知识归纳文案合同PPT等免费下载www.doc985.com4.已知边长为1的菱形中,,则用斜二测画法画出这个菱形的直观图的面积为()A.B.C.D.5.如图,正方形的边长为1cm,它是水平放置的一个平面图形用斜二测画法得到的直观图,则原图形的周长是()A.8cmB.6cmC.D.6.已知正的边长为,那么的平面直观图的面积为()A.B.C.D.7.一个水平放置的平面图形的直观图是一个底角为,腰和上底长均为1的等腰梯形,则该平面图形的面积等于().A.B.C.D.8.如图,已知的直观图是一个直角边长是1的等腰直角三角形,那么的面积是()小学、初中、高中各种试卷真题知识归纳文案合同PPT等免费下载www.doc985.com小学、初中、高中各种试卷真题知识归纳文案合同PPT等免费下载www.doc985.comA.B.C.1D.9.下列说法正确的是()A.互相垂直的两条直线的直观图仍然是互相垂直的两条直线B.梯形的直观图可能是平行四边形C.矩形的直观图可能是梯形D.正方形的直观图可能是平行四边形10.如图所示,正方形的边长为1,它是水平放置的一个平面图形的直观图,则原图形的周长是()A.6B.8C.D.11.用斜二测画法画水平放置的的直观图,得到如图所示的等腰直角三角形.已知点是斜边的中点,且,则的边边上的高为()A.1B.2C.D.12.如图所示,△A′B′C′是水平放置的△ABC的直观图,则在△ABC的三边及中线AD中,最长的线段是()小学、初中、高中各种试卷真题知识归纳文案合同PPT等免费下载www.doc985.com小学、初中、高中各种试卷真题知识归纳文案合同PPT等免费下载www.doc985.comA.ABB.ADC.BCD.AC二、拓展提升13.如图为一几何体的平面展开图,按图中虚线将它折叠起来,画出它的直观图.14.如图,正方形的边长为1cm,它是水平放置的一个平面图形的直观图.请画出原来的平面图形的形状,并求原图形的周长与面积.15.圆台的上、下底面半径分别为、,母线长,从圆台母线的中点拉一条绳子绕圆台侧面转到点(在下底面),求:小学、初中、高中各种试卷真题知识归纳文案合同PPT等免费下载www.doc985.com小学、初中、高中各种试卷真题知识归纳文案合同PPT等免费下载www.doc985.com(1)绳子的最短长度;(2)在绳子最短时,上底圆周上的点到绳子的最短距离.小学、初中、高中各种试卷真题知识归纳文案合同PPT等免费下载www.doc985.com

1、当您付费下载文档后,您只拥有了使用权限,并不意味着购买了版权,文档只能用于自身使用,不得用于其他商业用途(如 [转卖]进行直接盈利或[编辑后售卖]进行间接盈利)。
2、本站所有内容均由合作方或网友上传,本站不对文档的完整性、权威性及其观点立场正确性做任何保证或承诺!文档内容仅供研究参考,付费前请自行鉴别。
3、如文档内容存在违规,或者侵犯商业秘密、侵犯著作权等,请点击“违规举报”。

碎片内容

与本文档类似文档
高一数学 第2节 空间向量的应用:证平行、垂直与求角:练习册答案+解析 (1).pdf
高一数学 第2节 空间向量的应用:证平行、垂直与求角:练习册答案+解析 (1).pdf
免费
0下载
高一数学期中测试卷01(人教A版2019)(测试范围:必修第二册第六、七、八章)(原卷版).doc
高一数学期中测试卷01(人教A版2019)(测试范围:必修第二册第六、七、八章)(原卷版).doc
免费
24下载
高中数学 必修1单元卷(原卷).docx
高中数学 必修1单元卷(原卷).docx
免费
0下载
高一数学期中测试卷02(人教A版2019)(测试范围:必修第二册第六、七、八章)(解析版).doc
高一数学期中测试卷02(人教A版2019)(测试范围:必修第二册第六、七、八章)(解析版).doc
免费
22下载
高中数学 必修2   【新教材精创】8.6.2 直线与平面垂直(第2课时)直线与平面垂直的性质 练习(1)(原卷版).docx
高中数学 必修2 【新教材精创】8.6.2 直线与平面垂直(第2课时)直线与平面垂直的性质 练习(1)(原卷版).docx
免费
0下载
高一数学 2解三角形中的化边类问题(有答案).pdf
高一数学 2解三角形中的化边类问题(有答案).pdf
免费
0下载
高一数学2.2.1基本不等式限时作业(第一课时)-【新教材】人教A版(2019)高中数学必修第一册限时作业.doc
高一数学2.2.1基本不等式限时作业(第一课时)-【新教材】人教A版(2019)高中数学必修第一册限时作业.doc
免费
17下载
高中 2023二轮专项分层特训卷•数学·理科【统考版】4.7.docx
高中 2023二轮专项分层特训卷•数学·理科【统考版】4.7.docx
免费
0下载
高中 2023二轮专项分层特训卷•数学·文科【统考版】主观题专练 8.docx
高中 2023二轮专项分层特训卷•数学·文科【统考版】主观题专练 8.docx
免费
0下载
高一数学 第3节 不等式的三角换元方法:方法册+练习册.pdf
高一数学 第3节 不等式的三角换元方法:方法册+练习册.pdf
免费
0下载
江苏省南京市2022-2023学年高一上学期期末数学试题(教师版含解析).docx
江苏省南京市2022-2023学年高一上学期期末数学试题(教师版含解析).docx
免费
0下载
高中 数学·必修第二册·湘教版课时作业WORD课时作业(七).docx
高中 数学·必修第二册·湘教版课时作业WORD课时作业(七).docx
免费
0下载
浙江省嘉兴市2022-2023学年高一下学期期末数学试题(教师版含解析).docx
浙江省嘉兴市2022-2023学年高一下学期期末数学试题(教师版含解析).docx
免费
0下载
高一数学【新教材精创】6.4.1 平面几何中的向量方法 练习(1)(原卷版).docx
高一数学【新教材精创】6.4.1 平面几何中的向量方法 练习(1)(原卷版).docx
免费
8下载
高一数学【新教材精创】10.1.2 事件的关系和运算 练习(1)(原卷版).docx
高一数学【新教材精创】10.1.2 事件的关系和运算 练习(1)(原卷版).docx
免费
10下载
高中 数学·必修第一册(RJ-B版)课时作业(word)章末质量检测(三) .docx
高中 数学·必修第一册(RJ-B版)课时作业(word)章末质量检测(三) .docx
免费
0下载
高中 数学·选择性必修·第三册·(RJ-A版)课时作业WORD课时作业(六).docx
高中 数学·选择性必修·第三册·(RJ-A版)课时作业WORD课时作业(六).docx
免费
0下载
高中 数学·选择性必修·第二册·湘教版课时作业WORD课时作业(八).docx
高中 数学·选择性必修·第二册·湘教版课时作业WORD课时作业(八).docx
免费
0下载
高一数学期末综合测试卷一-【新教材】人教A版(2019)高中数学必修第一册.docx
高一数学期末综合测试卷一-【新教材】人教A版(2019)高中数学必修第一册.docx
免费
31下载
高中 数学·选择性必修·第一册·北师大版课时作业WORD课时作业(十一).doc
高中 数学·选择性必修·第一册·北师大版课时作业WORD课时作业(十一).doc
免费
0下载
我的小文库
实名认证
内容提供者

提供高质量免费文档试卷下载,如果满意请告诉您身边的人,如果不满意请告诉我们,您的意见对于我们很重要,是我们不断进步的动力

相关文档

阅读排行

确认删除?
回到顶部
客服号
  • 客服QQ点击这里给我发消息
QQ群
  • QQ群点击这里加入QQ群
提交所需资料详情,我们来帮找资料