2016-2021六年真题——有机推断.pdf本文件免费下载 【共65页】

2016-2021六年真题——有机推断.pdf
2016-2021六年真题——有机推断.pdf
2016-2021六年真题——有机推断.pdf
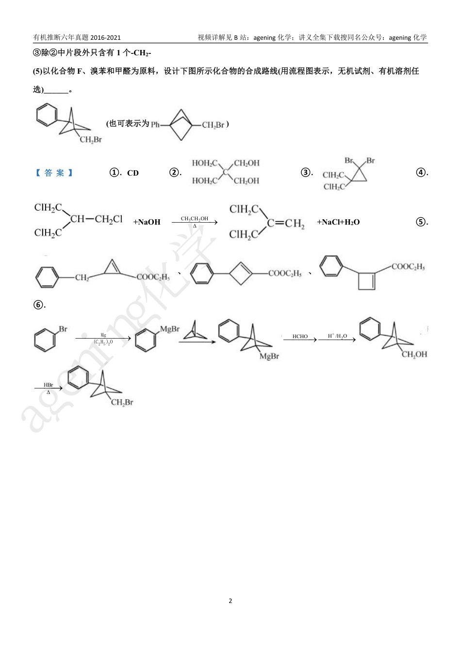
有机推断六年真题2016-2021视频详解见B站:agening化学;讲义全集下载搜同名公众号:agening化学12021年有机推断真题1【2021浙江1月卷】某课题组合成了一种非天然氨基酸X,合成路线如下(Ph—表示苯基):已知:R1—CH=CH—R23CHBrNaOHR3Br252Mg(CH)OR3MgBr请回答:(1)下列说法正确的是______。A.化合物B的分子结构中含有亚甲基和次甲基B.1H-NMR谱显示化合物F中有2种不同化学环境的氢原子C.G→H的反应类型是取代反应D.化合物X的分子式是C13H15NO2(2)化合物A的结构简式是______;化合物E的结构简式是______。(3)C→D的化学方程式是______。(4)写出3种同时符合下列条件的化合物H的同分异构体的结构简式(不包括立体异构体)______。①包含;②包含(双键两端的C不再连接H)片段;agening化学有机推断六年真题2016-2021视频详解见B站:agening化学;讲义全集下载搜同名公众号:agening化学2③除②中片段外只含有1个-CH2-(5)以化合物F、溴苯和甲醛为原料,设计下图所示化合物的合成路线(用流程图表示,无机试剂、有机溶剂任选)______。(也可表示为)【答案】①.CD②.③.④.+NaOH32CHCHOHΔ+NaCl+H2O⑤.、、⑥.252Mg(CH)O+2H/HOHCHOHBrΔagening化学有机推断六年真题2016-2021视频详解见B站:agening化学;讲义全集下载搜同名公众号:agening化学32.【2021浙江6月卷】某课题组研制了一种具有较高玻璃化转变温度的聚合物P,合成路线如下:已知:请回答:(1)化合物A的结构简式是_______;化合物E的结构简式是_______。(2)下列说法不正确...的是_______。A.化合物B分子中所有的碳原子共平面B.化合物D的分子式为121264CHNOC.化合物D和F发生缩聚反应生成PD.聚合物P属于聚酯类物质(3)化合物C与过量NaOH溶液反应的化学方程式是_______。(4)在制备聚合物P的过程中还生成了一种分子式为201886CHNO的环状化合物。用键线式...表示其结构_______。(5)写出3种同时满足下列条件的化合物F的同分异构体的结构简式(不考虑立体异构体):_______。①HNMR谱显示只有2种不同化学环境的氢原子②只含有六元环③含有结构片段,不含CC键(6)以乙烯和丙炔酸为原料,设计如下化合物的合成路线(用流程图表示,无机试剂、有机溶剂任选)_______。agening化学有机推断六年真题2016-2021视频详解见B站:agening化学;讲义全集下载搜同名公众号:agening化学4【答案】①.②.HOCH2CH2Br③.C④.+4NaOHΔ+2+2NaBr⑤.⑥.、、、(任写3种)⑦.3【2021北京卷】17.治疗抑郁症的药物帕罗西汀的合成路线如下。已知:i.R1CHO+CH2(COOH)2+①吡啶,Δ②HR1CH=CHCOOHii.R2OH32CHSOCl三乙胺3ROHNaHR2OR3(1)A分子含有的官能团是_______。agening化学有机推断六年真题2016-2021视频详解见B站:agening化学;讲义全集下载搜同名公众号:agening化学5(2)已知:B为反式结构。下列有关B的说法正确的是(填序号)_______。a.核磁共振氢谱有5组峰b.能使酸性KMnO4溶液褪色c.存在2个六元环的酯类同分异构体d.存在含苯环和碳碳三键的羧酸类同分异构体(3)E→G的化学方程式是_______。(4)J分子中有3个官能团,包括1个酯基。J的结构简式是_______。(5)L的分子式为C7H6O3。L的结构简式是_______。(6)从黄樟素经过其同分异构体N可制备L。已知:i.R1CH=CHR232OZnHO①②,R1CHO+R2CHOii.写出制备L时中间产物N、P、Q的结构简式:_______、_______、_______。异构化N→P→Q+H①水解②L【答案】(1)氟原子(或碳氟键)、醛基(2)abc(3)NC-CH2-COOH+HOCH2CH3浓硫酸ΔNC-CH2-COOCH2CH3+H2O(4)(5)(6)①.②.③.agening化学有机推断六年真题2016-2021视频详解见B站:agening化学;讲义全集下载搜同名公众号:agening化学64.【2021福建卷】帕比司他是治疗某些恶性肿瘤的药物,其中间体(E)的合成路线如下:回答下列问题:(1)A分子含有的官能团名称为_______。(2)反应Ⅱ分两步进行:2222CH(COOH)-HO,-COPyXBXC。第一步反应为加成反应,则X的结...

1、当您付费下载文档后,您只拥有了使用权限,并不意味着购买了版权,文档只能用于自身使用,不得用于其他商业用途(如 [转卖]进行直接盈利或[编辑后售卖]进行间接盈利)。
2、本站所有内容均由合作方或网友上传,本站不对文档的完整性、权威性及其观点立场正确性做任何保证或承诺!文档内容仅供研究参考,付费前请自行鉴别。
3、如文档内容存在违规,或者侵犯商业秘密、侵犯著作权等,请点击“违规举报”。

碎片内容

与本文档类似文档
2023《微专题·小练习》·语文·新教材·XL-1第13练.docx
2023《微专题·小练习》·语文·新教材·XL-1第13练.docx
免费
28下载
2024年高考地理一轮复习讲义(新人教版)第6讲 地球的公转及其地理意义.docx
2024年高考地理一轮复习讲义(新人教版)第6讲 地球的公转及其地理意义.docx
免费
4下载
第十一课 创新思维要善于联想 学案(原卷版)【抢分秘籍】2025年高考政治一轮复习精讲精练.doc
第十一课 创新思维要善于联想 学案(原卷版)【抢分秘籍】2025年高考政治一轮复习精讲精练.doc
免费
0下载
上海市金山区2022年高三第一学期期末(一模)化学答题纸.doc
上海市金山区2022年高三第一学期期末(一模)化学答题纸.doc
免费
0下载
2015年北京市高考地理试卷(原卷版).doc
2015年北京市高考地理试卷(原卷版).doc
免费
16下载
2009年全国统一高考生物试卷(全国卷ⅰ)(原卷版).doc
2009年全国统一高考生物试卷(全国卷ⅰ)(原卷版).doc
免费
17下载
高中2024版考评特训卷·英语【新教材】课下天天练(二十三).docx
高中2024版考评特训卷·英语【新教材】课下天天练(二十三).docx
免费
0下载
2024年新高考物理资料 第45讲 测量电阻的多种方法(讲义)(原卷版).docx
2024年新高考物理资料 第45讲 测量电阻的多种方法(讲义)(原卷版).docx
免费
0下载
高中数学高考数学10大专题技巧--专题24  长度和距离型取值范围模型(教师版).docx
高中数学高考数学10大专题技巧--专题24 长度和距离型取值范围模型(教师版).docx
免费
0下载
2025年新高考历史资料  (四) 突破“开放性试题”,培养思维品质.pptx
2025年新高考历史资料 (四) 突破“开放性试题”,培养思维品质.pptx
免费
0下载
2013年北京市高考语文试卷.doc
2013年北京市高考语文试卷.doc
免费
0下载
2022年高考生物真题(湖南自主命题)(解析版).docx
2022年高考生物真题(湖南自主命题)(解析版).docx
免费
1下载
高考复习专项练习二轮语文任务突破练2 论证分析——关注论据判定,辨清论证思路.docx
高考复习专项练习二轮语文任务突破练2 论证分析——关注论据判定,辨清论证思路.docx
免费
28下载
2025年新高考政治资料  第02讲  只有社会主义才能救中国(讲义)(解析版).docx
2025年新高考政治资料 第02讲 只有社会主义才能救中国(讲义)(解析版).docx
免费
0下载
2025年新高考历史资料  板块四 第十四单元 第39讲 第一次世界大战与战后国际秩序 (1).docx
2025年新高考历史资料 板块四 第十四单元 第39讲 第一次世界大战与战后国际秩序 (1).docx
免费
0下载
高考数学专题10 直线和圆的方程(4大易错点分析+解题模板+举一反三+易错题通关)(新高考专用)(原卷版).docx
高考数学专题10 直线和圆的方程(4大易错点分析+解题模板+举一反三+易错题通关)(新高考专用)(原卷版).docx
免费
0下载
2016年高考历史真题(北京自主命题)(原卷版).doc
2016年高考历史真题(北京自主命题)(原卷版).doc
免费
21下载
2024年高考英语一轮复习讲义(新人教版)第一章 十一、征文投稿.docx
2024年高考英语一轮复习讲义(新人教版)第一章 十一、征文投稿.docx
免费
27下载
2022·微专题·小练习·生物【统考版】专练64.docx
2022·微专题·小练习·生物【统考版】专练64.docx
免费
15下载
【高考政治】备战2024年(新高考专用)选择性必修1《当代国际政治与经济》  选择题专练50题 (原卷版)-备战2024年高考政治考试易错题(新高考专用).docx
【高考政治】备战2024年(新高考专用)选择性必修1《当代国际政治与经济》 选择题专练50题 (原卷版)-备战2024年高考政治考试易错题(新高考专用).docx
免费
0下载
我的小文库
实名认证
内容提供者

提供高质量免费文档试卷下载,如果满意请告诉您身边的人,如果不满意请告诉我们,您的意见对于我们很重要,是我们不断进步的动力

阅读排行

确认删除?
回到顶部
客服号
  • 客服QQ点击这里给我发消息
QQ群
  • QQ群点击这里加入QQ群