2024年新高考数学复习资料抢分模拟卷02(解析版).docx本文件免费下载 【共17页】

2024年新高考数学复习资料抢分模拟卷02(解析版).docx
2024年新高考数学复习资料抢分模拟卷02(解析版).docx
2024年新高考数学复习资料抢分模拟卷02(解析版).docx
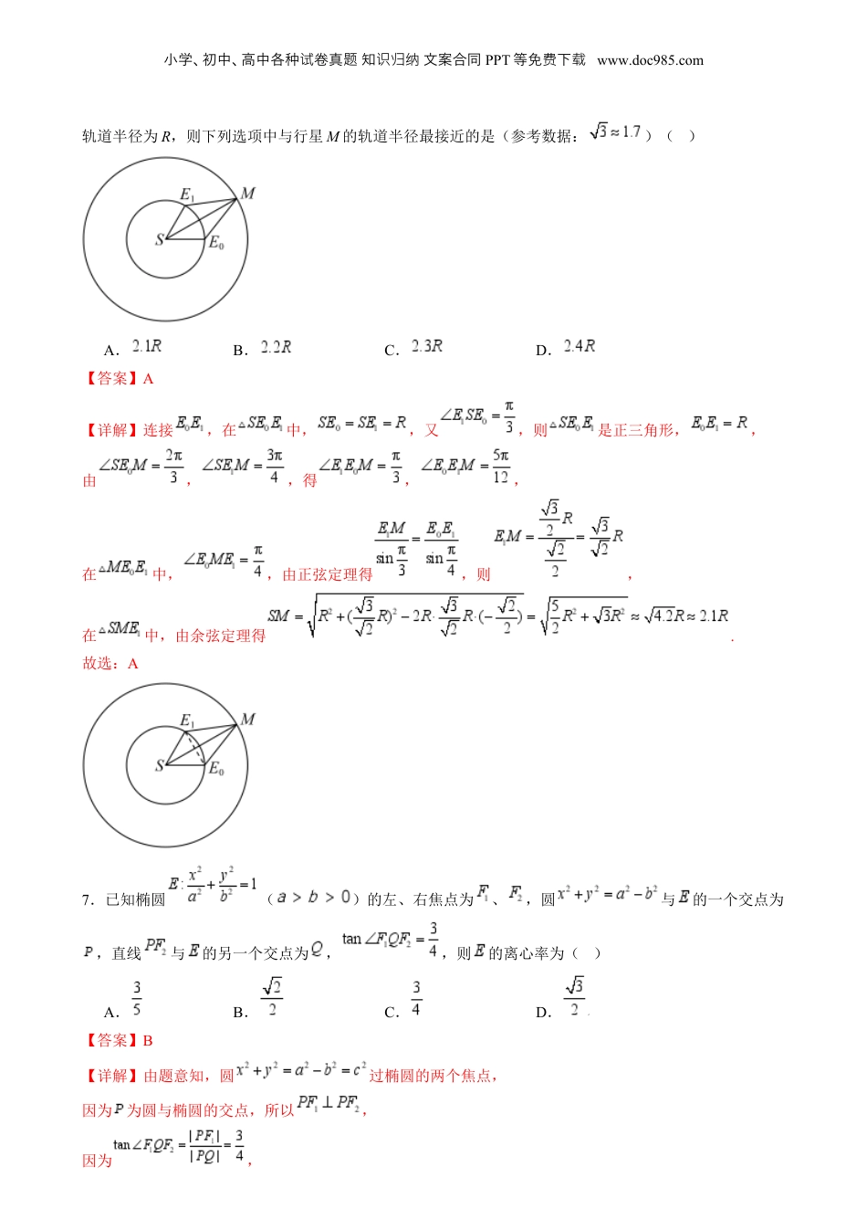
小学、初中、高中各种卷真知文案合同试题识归纳PPT等免下费载www.doc985.com抢分模拟卷02(考试时间:120分钟试卷满分:150分)第Ⅰ卷一、选择题:本题共8小题,每小题5分,共40分,在每小题给出的四个选项中,只有一项是符合要求的。1.已知集合,,则()A.(0,ln3)B.(-1,ln3)C.(0,1]D.[-3,ln3)【答案】C【详解】由,即,解得,所以,又,所以.故选:C.2.已知,且,则是的()A.充要条件B.充分不必要条件C.必要不充分条件D.既不充分也不必要条件【答案】D【详解】若,符合,但此时,不满足充分性,若,符合,但是,不满足必要性.故选:D3.的值为()A.B.C.D.【答案】A【详解】,故选:A.4.如图,已知AB是圆的直径,是圆上一点,,点是线段BC上的动点,且的面积记为,圆的面积记为,当取得最大值时,()小学、初中、高中各种卷真知文案合同试题识归纳PPT等免下费载www.doc985.comA.B.C.D.【答案】A【详解】由题意可知:,以为坐标原点建立平面直角坐标系,不妨设,则,可知直线对应的一次函数解析式为,可设,可得,则,且,因为开口向上,对称轴为,且,可知当时,即点与点重合时,取到最大值,此时,且,所以.故选:A.5.在的展开式中,含项的系数是()A.16B.19C.21D.24【答案】B【详解】因为展开式的通项为,所以的展开式中含项为,所以展开式中含项的系数是.故选:B6.早期天文学家常采用“三角法”测量行星的轨道半径.假设一种理想状态:地球E和某小行星M绕太阳S在同一平面上的运动轨道均为圆,三个星体的位置如图所示.地球在位置时,测出;行星M绕太阳运动一周回到原来位置,地球运动到了位置,测出,.若地球的小学、初中、高中各种卷真知文案合同试题识归纳PPT等免下费载www.doc985.com轨道半径为R,则下列选项中与行星M的轨道半径最接近的是(参考数据:)()A.B.C.D.【答案】A【详解】连接,在中,,又,则是正三角形,,由,,得,,在中,,由正弦定理得,则,在中,由余弦定理得.故选:A7.已知椭圆()的左、右焦点为、,圆与的一个交点为,直线与的另一个交点为,,则的离心率为()A.B.C.D.【答案】B【详解】由题意知,圆过椭圆的两个焦点,因为为圆与椭圆的交点,所以,因为,小学、初中、高中各种卷真知文案合同试题识归纳PPT等免下费载www.doc985.com设,可得,,所以,所以,在中,,即,解得或,解得或(舍去),此时点为椭圆短轴的顶点,又,解得(负值舍去),且,,在中,由余弦定理可得,整理可得,所以.故选:B.8.分形几何学是美籍法国数学家伯努瓦-曼德尔布罗特在20世纪70年代创立的一门新学科,它的创立为解决传统科学领域的众多难题提供了全新的思路.下图展示了如何按照图①的分形规律生长成一个图②的树形图,则在图②中第2023行的黑心圈的个数是()小学、初中、高中各种卷真知文案合同试题识归纳PPT等免下费载www.doc985.comA.B.C.D.【答案】A【详解】设题图②中第行白心圈的个数为,黑心圈的个数为,依题意可得,且有,故有,所以是以为首项,3为公比的等比数列,为常数数列,且,所以是以为首项,1为公比的等比数列,故故所以.故选:A.二、选择题:本题共3小题,每小题6分,共18分.在每小题给出的选项中,有多项符合题目要求.全部选对的得6分,部分选对的得部分分,有选错的得0分.9.若复数z满足(i为虚数单位),则下列说法正确的是()A.B.z的虚部为C.D.若复数ω满足,则的最大值为【答案】AC【详解】对于A,因为,所以,所以,A正确;对于B,由上可知,z的虚部为,故B错误,对于C,因为,所以,故C正确;小学、初中、高中各种卷真知文案合同试题识归纳PPT等免下费载www.doc985.com对于D,记复数对应的点为,复数对应的点为,则由可得,即点在以B为圆心,1为半径的圆上,所以,的最大值为,即的最大值为,D错误.故选:AC10.下列说法中,正确的是()A.设有一个经验回归方程为,变量增加1个单位时,平均增加2个单位B.已知随机变量,若,则C.两组样本数据和.若已知且,则D.已知一系列样本点的经验回归方程为,若样本点与的残差相等,则【答案】BC【详解】若有一个经验...

1、当您付费下载文档后,您只拥有了使用权限,并不意味着购买了版权,文档只能用于自身使用,不得用于其他商业用途(如 [转卖]进行直接盈利或[编辑后售卖]进行间接盈利)。
2、本站所有内容均由合作方或网友上传,本站不对文档的完整性、权威性及其观点立场正确性做任何保证或承诺!文档内容仅供研究参考,付费前请自行鉴别。
3、如文档内容存在违规,或者侵犯商业秘密、侵犯著作权等,请点击“违规举报”。

碎片内容

与本文档类似文档
2020年高考数学真题(理科)(新课标Ⅲ)(原卷版).doc
2020年高考数学真题(理科)(新课标Ⅲ)(原卷版).doc
免费
0下载
上海市普陀区2022年高三第一学期期末(一模)学科质量检测数学试卷(word原卷版).docx
上海市普陀区2022年高三第一学期期末(一模)学科质量检测数学试卷(word原卷版).docx
免费
0下载
1993年湖北高考理科数学真题及答案.doc
1993年湖北高考理科数学真题及答案.doc
免费
11下载
1990年广西高考理科数学真题及答案.doc
1990年广西高考理科数学真题及答案.doc
免费
20下载
2025年新高考数学复习资料2025高考总复习专项复习--圆锥曲线的方程专题六.doc
2025年新高考数学复习资料2025高考总复习专项复习--圆锥曲线的方程专题六.doc
免费
0下载
2024年高考数学试卷(新课标Ⅱ卷)(解析卷) (10).pdf
2024年高考数学试卷(新课标Ⅱ卷)(解析卷) (10).pdf
免费
0下载
2019年高考数学试卷(理)(新课标Ⅰ)(解析卷) (6).pdf
2019年高考数学试卷(理)(新课标Ⅰ)(解析卷) (6).pdf
免费
0下载
2024年新高考数学复习资料专题04 点到平面的距离(典型题型归类训练)(原卷版).docx
2024年新高考数学复习资料专题04 点到平面的距离(典型题型归类训练)(原卷版).docx
免费
0下载
2025年新高考数学复习资料专题22 数列的概念与表示(思维导图+知识清单+核心素养分析+方法归纳).docx
2025年新高考数学复习资料专题22 数列的概念与表示(思维导图+知识清单+核心素养分析+方法归纳).docx
免费
0下载
1993年吉林高考理科数学真题及答案.doc
1993年吉林高考理科数学真题及答案.doc
免费
18下载
2015年湖南高考文科数学试题及答案word版.doc
2015年湖南高考文科数学试题及答案word版.doc
免费
17下载
高中2023《微专题·小练习》·数学·文科·L-2专练9.docx
高中2023《微专题·小练习》·数学·文科·L-2专练9.docx
免费
0下载
高中2023《微专题·小练习》·数学·文科·L-2专练1.docx
高中2023《微专题·小练习》·数学·文科·L-2专练1.docx
免费
0下载
2011年高考数学试卷(理)(大纲版)(空白卷) (2).pdf
2011年高考数学试卷(理)(大纲版)(空白卷) (2).pdf
免费
0下载
高考数学复习  集合与常用逻辑用语——2025高考数学一轮复习易混易错专项复习(含解析).docx
高考数学复习 集合与常用逻辑用语——2025高考数学一轮复习易混易错专项复习(含解析).docx
免费
0下载
高中数学·选择性必修·第二册·(RJ-B版)课时作业(word)  模块质量检测.docx
高中数学·选择性必修·第二册·(RJ-B版)课时作业(word) 模块质量检测.docx
免费
19下载
2024年新高考数学复习资料思想03 运用函数与方程的思想方法解题(4大核心考点)(讲义)(解析版).docx
2024年新高考数学复习资料思想03 运用函数与方程的思想方法解题(4大核心考点)(讲义)(解析版).docx
免费
0下载
高考数学复习  热点专题 2-7 函数与方程【8类题型】(解析版)- 2025年高考数学热点题型追踪与重难点专题突破(新高考专用) .docx
高考数学复习 热点专题 2-7 函数与方程【8类题型】(解析版)- 2025年高考数学热点题型追踪与重难点专题突破(新高考专用) .docx
免费
0下载
2008年高考数学试卷(理)(四川)(延考区)(空白卷).doc
2008年高考数学试卷(理)(四川)(延考区)(空白卷).doc
免费
0下载
【高考数学】备战2024年专题15 排列组合(6大易错点分析+解题模板+举一反三+易错题通关)(新高考专用)(原卷版).docx
【高考数学】备战2024年专题15 排列组合(6大易错点分析+解题模板+举一反三+易错题通关)(新高考专用)(原卷版).docx
免费
0下载
我的小文库
实名认证
内容提供者

提供高质量免费文档试卷下载,如果满意请告诉您身边的人,如果不满意请告诉我们,您的意见对于我们很重要,是我们不断进步的动力

阅读排行

确认删除?
回到顶部
客服号
  • 客服QQ点击这里给我发消息
QQ群
  • QQ群点击这里加入QQ群
提交所需资料详情,我们来帮找资料