六年级上册数学1.3 整数乘法运算定律推广到分数.doc本文件免费下载 【共2页】

六年级上册数学1.3 整数乘法运算定律推广到分数.doc
六年级上册数学1.3 整数乘法运算定律推广到分数.doc
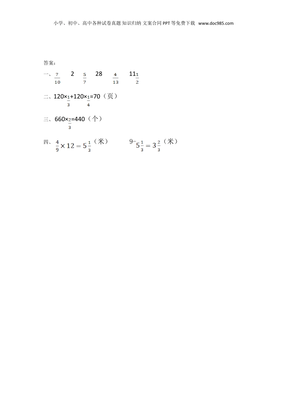
小学、初中、高中各种试卷真题知识归纳文案合同PPT等免费下载www.doc985.com1.3整数乘法运算定律推广到分数一、用简便方法计算。××9×4+×+×(+)×27×××(20-)二、一本书有120页,小红第一周读了这本书的,第二周读了这本书的。两周一共读了多少页?三、我国约有660个城市,其中约有的城市供水不足,其中有的城市严重缺水,那么全国供水不足的城市大约有多少个?四、一根木材长9米,做一个工具用米,已经做了12个这样的工具,还剩多少米?小学、初中、高中各种试卷真题知识归纳文案合同PPT等免费下载www.doc985.com答案:一、22811二、120×+120×=70(页)三、660×=440(个)四、(米)9-(米)

1、当您付费下载文档后,您只拥有了使用权限,并不意味着购买了版权,文档只能用于自身使用,不得用于其他商业用途(如 [转卖]进行直接盈利或[编辑后售卖]进行间接盈利)。
2、本站所有内容均由合作方或网友上传,本站不对文档的完整性、权威性及其观点立场正确性做任何保证或承诺!文档内容仅供研究参考,付费前请自行鉴别。
3、如文档内容存在违规,或者侵犯商业秘密、侵犯著作权等,请点击“违规举报”。

碎片内容

与本文档类似文档
江苏省南通市重点中学2020年七年级分班考试数学试卷一(教师版).docx
江苏省南通市重点中学2020年七年级分班考试数学试卷一(教师版).docx
免费
2下载
精品解析:2021-2022学年江苏省扬州市经济技术开发区苏教版六年级下册期末测试数学试卷(原卷版).docx
精品解析:2021-2022学年江苏省扬州市经济技术开发区苏教版六年级下册期末测试数学试卷(原卷版).docx
免费
7下载
2022年重庆开州区小学毕业水平测试数学试卷.docx
2022年重庆开州区小学毕业水平测试数学试卷.docx
免费
2下载
2018年广东省广州市数学小升初试卷 含解析.docx
2018年广东省广州市数学小升初试卷 含解析.docx
免费
1下载
【A3原卷】学易金卷:2023年小升初数学模拟卷一(普通校)(人教版).docx
【A3原卷】学易金卷:2023年小升初数学模拟卷一(普通校)(人教版).docx
免费
1下载
2023年湖北省襄阳市枣阳市小升初数学试卷 解析版.docx
2023年湖北省襄阳市枣阳市小升初数学试卷 解析版.docx
免费
1下载
【专项复习】2022年小学六年级下册小升初数学专题复习(14)长方体、正方体的特征(知识归纳+典例精析+拔高训练).docx
【专项复习】2022年小学六年级下册小升初数学专题复习(14)长方体、正方体的特征(知识归纳+典例精析+拔高训练).docx
免费
1下载
2021-2022学年六年级数学下册第三单元圆柱与圆锥检测卷(基础卷)(含答案)人教版.docx
2021-2022学年六年级数学下册第三单元圆柱与圆锥检测卷(基础卷)(含答案)人教版.docx
免费
1下载
六年级上册数学第三单元达标测试卷2.docx
六年级上册数学第三单元达标测试卷2.docx
免费
1下载
江苏省南通市2023-2024学年小升初分班考数学冲刺卷(苏教版).docx
江苏省南通市2023-2024学年小升初分班考数学冲刺卷(苏教版).docx
免费
1下载
山东省济南市长清区2023年小升初数学试卷(教师版).docx
山东省济南市长清区2023年小升初数学试卷(教师版).docx
免费
1下载
【小升初专项训练】8 凑字谜_36383093.doc
【小升初专项训练】8 凑字谜_36383093.doc
免费
1下载
数学 六年级寒假班第4讲:有理数的章节复习-教师版.docx
数学 六年级寒假班第4讲:有理数的章节复习-教师版.docx
免费
10下载
精品解析:2021年江苏省南京市秦淮区苏教版小升初考试数学试卷(原卷版).docx
精品解析:2021年江苏省南京市秦淮区苏教版小升初考试数学试卷(原卷版).docx
免费
1下载
精品解析:2021-2022学年江苏省扬州市江都区苏教版六年级上册期末测试数学试卷(原卷版).docx
精品解析:2021-2022学年江苏省扬州市江都区苏教版六年级上册期末测试数学试卷(原卷版).docx
免费
7下载
2024年河南省南阳市社旗县小升初数学试卷(含答案).pdf
2024年河南省南阳市社旗县小升初数学试卷(含答案).pdf
免费
1下载
广东省东莞市2018年小升初数学试卷(教师版).docx
广东省东莞市2018年小升初数学试卷(教师版).docx
免费
1下载
【精品】小学学科网微课堂-小升初数学知识点精讲(正、负数).pptx
【精品】小学学科网微课堂-小升初数学知识点精讲(正、负数).pptx
免费
1下载
精品解析:江西省景德镇市乐平市2022年人教版小升初考试数学试卷(解析版).docx
精品解析:江西省景德镇市乐平市2022年人教版小升初考试数学试卷(解析版).docx
免费
2下载
精品解析:云南省文山州砚山县2021年部编版小升初语文试卷(原卷版).docx
精品解析:云南省文山州砚山县2021年部编版小升初语文试卷(原卷版).docx
免费
1下载
我的小文库
实名认证
内容提供者

提供高质量免费文档试卷下载,如果满意请告诉您身边的人,如果不满意请告诉我们,您的意见对于我们很重要,是我们不断进步的动力

相关文档

阅读排行

确认删除?
回到顶部
客服号
  • 客服QQ点击这里给我发消息
QQ群
  • QQ群点击这里加入QQ群
提交所需资料详情,我们来帮找资料