小学数学三年级下册2.2笔算除法.doc本文件免费下载 【共2页】

小学数学三年级下册2.2笔算除法.doc
小学数学三年级下册2.2笔算除法.doc
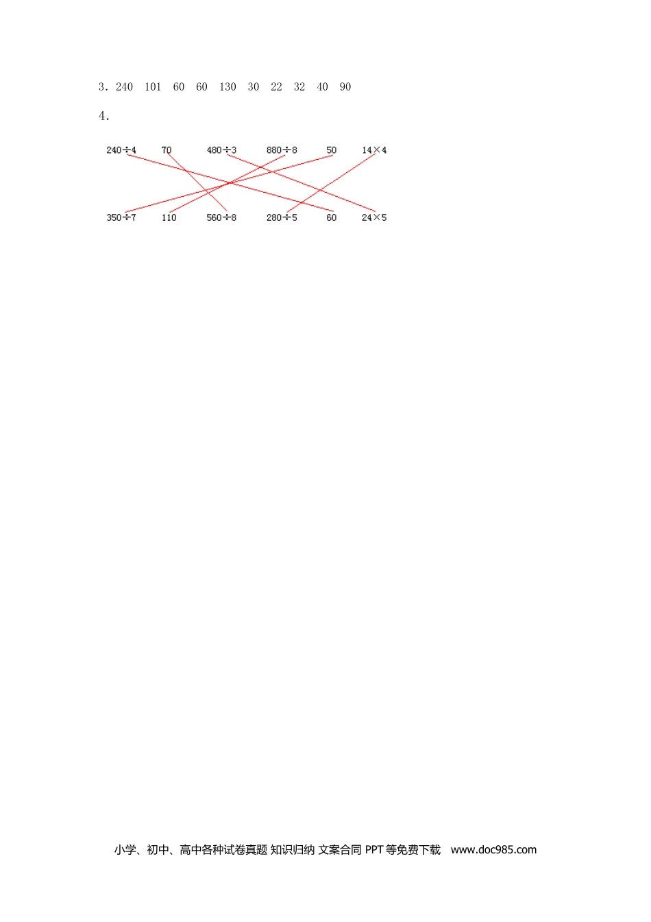
2.2笔算除法1.一双拖鞋3元,一个牙刷2元,一筒牙膏5元,用90元钱能买多少双拖鞋?多少个牙刷?多少筒牙膏?(请你口算出得数。)2.一双拖鞋、一个牙刷、一筒牙膏是一套,一套有多少钱?90元钱能买几套?3.计算下面算式的结果。480÷2=606÷6=300÷5=360÷6=260÷2=180÷6=88÷4=96÷3=120÷3=810÷9=4.把结果相等的式子用线连起来。240÷470480÷3880÷85014×4350÷7110560÷8280÷56024×5参考答案1.90÷3=30(双)90÷2=45(个)90÷5=18(筒)2.3+2+5=10(元)90÷10=9(套)小学、初中、高中各种试卷真题知识归纳文案合同PPT等免费下载www.doc985.com3.240101606013030223240904.小学、初中、高中各种试卷真题知识归纳文案合同PPT等免费下载www.doc985.com

1、当您付费下载文档后,您只拥有了使用权限,并不意味着购买了版权,文档只能用于自身使用,不得用于其他商业用途(如 [转卖]进行直接盈利或[编辑后售卖]进行间接盈利)。
2、本站所有内容均由合作方或网友上传,本站不对文档的完整性、权威性及其观点立场正确性做任何保证或承诺!文档内容仅供研究参考,付费前请自行鉴别。
3、如文档内容存在违规,或者侵犯商业秘密、侵犯著作权等,请点击“违规举报”。

碎片内容

与本文档类似文档
苏教小学数学三年级下册 单元知识点总结第九单元  数据的收集和整理(二)(1).doc
苏教小学数学三年级下册 单元知识点总结第九单元 数据的收集和整理(二)(1).doc
免费
0下载
【分层作业】2.5 被除数和除数末尾都有0的除法(同步练习) 四年级上册数学同步课时练 (苏教版,含答案).docx
【分层作业】2.5 被除数和除数末尾都有0的除法(同步练习) 四年级上册数学同步课时练 (苏教版,含答案).docx
免费
0下载
2026  3年级数学寒假讲义(人教版)单元自我检测03:长方形和正方形-三年级数学寒假自习课(人教版·新教材)(解析版).docx
2026 3年级数学寒假讲义(人教版)单元自我检测03:长方形和正方形-三年级数学寒假自习课(人教版·新教材)(解析版).docx
免费
0下载
三年级下册数学5.1面积和面积单位.doc
三年级下册数学5.1面积和面积单位.doc
免费
0下载
三年级下册数学教材过关卷(4).docx
三年级下册数学教材过关卷(4).docx
免费
0下载
精品解析:2020-2021学年江苏省射阳县人民路小学苏教版三年级下册期中教学情况调研数学试卷(解析版).docx
精品解析:2020-2021学年江苏省射阳县人民路小学苏教版三年级下册期中教学情况调研数学试卷(解析版).docx
免费
25下载
三年级下册数学小学课时练1.4 练习一(1).doc
三年级下册数学小学课时练1.4 练习一(1).doc
免费
21下载
【分层训练】三年级上册数学单元测试-第六单元  平移、旋转和轴对称(基础卷)  苏教版(含答案).doc
【分层训练】三年级上册数学单元测试-第六单元 平移、旋转和轴对称(基础卷) 苏教版(含答案).doc
免费
0下载
三年级下学期期末检测卷3.docx
三年级下学期期末检测卷3.docx
免费
0下载
精品解析:2022-2023学年江苏省宿迁市宿城区屠园中心小学苏教版三年级上册期中教情调研数学试卷(解析版).docx
精品解析:2022-2023学年江苏省宿迁市宿城区屠园中心小学苏教版三年级上册期中教情调研数学试卷(解析版).docx
免费
8下载
小学三年级数学上册 期中检测卷1(人教版).docx
小学三年级数学上册 期中检测卷1(人教版).docx
免费
0下载
【拔高卷】四年级上册数学重点小学期中拔高卷   苏教版.doc
【拔高卷】四年级上册数学重点小学期中拔高卷 苏教版.doc
免费
1下载
【易错笔记】第七单元 分数的初步认识(二)-三年级数学下册易错点汇总及优选易错题B卷 苏教版(含答案).docx
【易错笔记】第七单元 分数的初步认识(二)-三年级数学下册易错点汇总及优选易错题B卷 苏教版(含答案).docx
免费
0下载
【详解】三年级数学(上)第03讲 移多补少与等量代换.docx
【详解】三年级数学(上)第03讲 移多补少与等量代换.docx
免费
0下载
三年级上册数学课内每日计算小纸条(1).pdf
三年级上册数学课内每日计算小纸条(1).pdf
免费
0下载
小学三年级数学下册第7单元测试卷2(顶呱呱教育).doc
小学三年级数学下册第7单元测试卷2(顶呱呱教育).doc
免费
0下载
2026  3年级数学寒假讲义(人教版)专题10:线和角(专项训练)三年级数学寒假专项提升(人教版·新教材)(解析版).docx
2026 3年级数学寒假讲义(人教版)专题10:线和角(专项训练)三年级数学寒假专项提升(人教版·新教材)(解析版).docx
免费
0下载
小学三年级数学下册第六单元检测卷1.doc
小学三年级数学下册第六单元检测卷1.doc
免费
0下载
一二三四五六年级上册数学北师期中押题卷汇总.pdf
一二三四五六年级上册数学北师期中押题卷汇总.pdf
免费
0下载
【中等卷】03《观察物体》四年级数学上册(原卷)苏教版.docx
【中等卷】03《观察物体》四年级数学上册(原卷)苏教版.docx
免费
0下载
我的小文库
实名认证
内容提供者

提供高质量免费文档试卷下载,如果满意请告诉您身边的人,如果不满意请告诉我们,您的意见对于我们很重要,是我们不断进步的动力

相关文档

阅读排行

确认删除?
回到顶部
客服号
  • 客服QQ点击这里给我发消息
QQ群
  • QQ群点击这里加入QQ群
提交所需资料详情,我们来帮找资料