人教版九年级物理《22.1能源》同步练习及答案3(1).doc本文件免费下载 【共5页】

人教版九年级物理《22.1能源》同步练习及答案3(1).doc
人教版九年级物理《22.1能源》同步练习及答案3(1).doc
人教版九年级物理《22.1能源》同步练习及答案3(1).doc
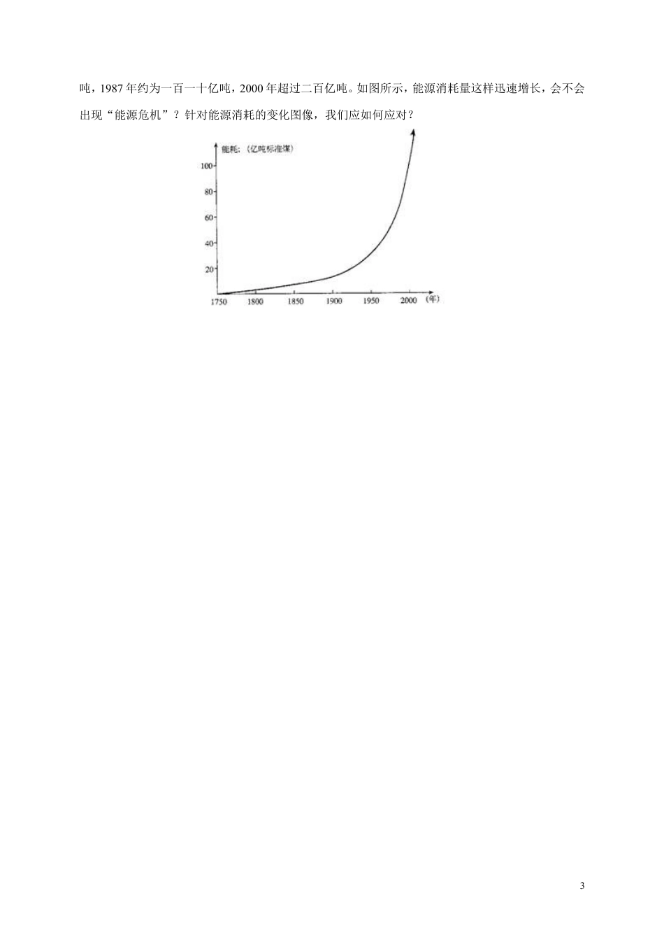
人教版九年级物理《22.1能源》同步练习及答案3一、选择题1.判断下列哪种说法正确()A.能量就是能源B.电能是一种二次能源C.风能是一种二次能源D.天然气不是化石能源2.下列各组能源中,都属于二次能源的是()A.蜡烛、石油B.煤、电能C.煤气、汽油D.风能、水能3.内燃机的发明,导致了汽车、飞机、轮船的广泛应用。内燃机的出现主要是由于下列哪一类能源的广泛使用?()21教育网A.电能B.核能C.火和利用D.化石能源4.小明学习了本节的知识后,做了如下总结,其中不正确的是()A.地热能是不可再生的能源B.煤、石油、天然气都属于常规能源C.汽油、酒精属于二次能源D.木材、草类、肉类等有生命的物质提供的能量称为生物质能5.下面关于能量转化的说法,正确的是()A.用砂轮磨刀时,将内能转化为动能B.陨石进入大气层成为流星时,是内能转化为机械能C.壶中的水沸腾,壶盖不断跳动,是水的势能转化为壶盖的动能D.用打气筒给轮胎打气时,打气筒发热,是机械能转化为内能二、填空题6.人类发明和制造的各种机械和机器,都可以看作是用来控制能量的转化形式、发生的地点或时间的能量转换器。按照这种观点,汽油机是把__________________能转化为_____________能的能量转化器;干电池是把____________能转化为_______________能的能量转化器;钻木取火是把_____________能转化为____________能。www.21-cn-jy.com7.电能是使用最方便的能源。火力发电是将煤燃烧的______________能转化为电能;水力发电是将水的______________能转化为电能,转化的机器统称为____________,是根据_________现象制成的。18.煤、石油等化石能源的使用,使人类发生了工业上的革命,火力发电机就是利用化石燃料的燃烧释放的能量来发电的。电能的出现,使人类进入电气化的时代。现代生活中已经离不开电了,例如用电饭锅烧饭就是把电能转化为_______能;电风扇工作时把电能主要转化为_______能;给蓄电池充电时,把电能转化为_________能储存起来。2·1·c·n·j·y9.下列能源,(1)煤(2)天然气(3)水能(4)电能(5)地热能(6)核能(7)潮汐能(8)太阳能。其中属于一次能源的有_______________________;属于二次能源的有_________________;属于常规能源的有_________________;属于新能源的有________________。三、解答题10.各种形式的能在一定的条件下可以相互转化,转化中借助了一定的方式或器械,如可以利用电动机把电能转化为机械能。图中已给出了两个实例,请你补充其余两个。【来源:21·世纪·教育·网】11.下表列出了1973年和1995年世界能源生产和变化情况,根据表中所提供的信息回答下列问题。21世纪教育网21·世纪*教育网(1)如果按某种能源对世界能源总产量的贡献大小(所占百分比)排序,表格中所列出能源的次序有无变化?是怎样变化的?说说你根据此表可以获得的信息。21cnjy.com(2)1995年与1973年比,世界能源总产量是如何变化的?12.人类物质文明和精神文明不断增长,能源消耗量也越来越大。特别是近三四十年来,能耗增长趋势十分明显。如果把全世界的能源消耗量折合成热值为2.93×107J的标准煤来计算,1950年为二十亿2吨,1987年约为一百一十亿吨,2000年超过二百亿吨。如图所示,能源消耗量这样迅速增长,会不会出现“能源危机”?针对能源消耗的变化图像,我们应如何应对?www-2-1-cnjy-com[来源:21世纪教育网]3参考答案1.答案:B解析:能源是提供能量的物质资源,能源的利用过程,实质上是能量的转化和转移过程,但不能说能源就是能量,能源只有在使用时才能提供能量。一次能源和二次能源是按能源是否由自然界直接提供来分的。如煤、石油、风能等都是由自然界直接提供,不需要转化,它们属于一次能源;像电能是由其他形式能转化而来的,属于二次能源。天然气是千百万年前埋在地下的动植物,经过漫长的地质年代形成的,属于一次能源中的化石能源。2-1-c-n-j-y2.答案:C解析:根据能源的来源,可以把能源分为一次能源和二次能源。能从自然界直接获得的能源就是一次能源,如煤、石油等。二次能源是指利用一次能源转化而来的,无法直接从自然界获得,如电...

1、当您付费下载文档后,您只拥有了使用权限,并不意味着购买了版权,文档只能用于自身使用,不得用于其他商业用途(如 [转卖]进行直接盈利或[编辑后售卖]进行间接盈利)。
2、本站所有内容均由合作方或网友上传,本站不对文档的完整性、权威性及其观点立场正确性做任何保证或承诺!文档内容仅供研究参考,付费前请自行鉴别。
3、如文档内容存在违规,或者侵犯商业秘密、侵犯著作权等,请点击“违规举报”。

碎片内容

与本文档类似文档
江苏省扬州市2015年中考物理真题试题(含解析).doc
江苏省扬州市2015年中考物理真题试题(含解析).doc
免费
0下载
山东省聊城市2018年中考物理真题试题(含解析).doc
山东省聊城市2018年中考物理真题试题(含解析).doc
免费
0下载
初中九年级物理2012年湖南省中考物理试题及答案.doc
初中九年级物理2012年湖南省中考物理试题及答案.doc
免费
29下载
精品解析:2024年江苏省常州市中考物理试题(原卷版).docx
精品解析:2024年江苏省常州市中考物理试题(原卷版).docx
免费
0下载
初中九年级物理湖北省宜昌市2018年中考物理真题试题(含解析).doc
初中九年级物理湖北省宜昌市2018年中考物理真题试题(含解析).doc
免费
3下载
九年级物理全一册同步练习20.2 电生磁(教师版)-九年级物理全册同步精品讲义(人教版).docx
九年级物理全一册同步练习20.2 电生磁(教师版)-九年级物理全册同步精品讲义(人教版).docx
免费
12下载
初中九年级物理黑龙江省牡丹江、鸡西地区朝鲜族学校2021年中考物理试题(原卷版).doc
初中九年级物理黑龙江省牡丹江、鸡西地区朝鲜族学校2021年中考物理试题(原卷版).doc
免费
29下载
2018年吉林省中考物理试题(含答案).doc
2018年吉林省中考物理试题(含答案).doc
免费
0下载
【初中历年中考真题】2022连云港物理试卷+答案+解析(word整理版).docx
【初中历年中考真题】2022连云港物理试卷+答案+解析(word整理版).docx
免费
1下载
初中九年级物理精品解析:2020年贵州省黔西南州初中毕业与升学考试物理试题(原卷版).doc
初中九年级物理精品解析:2020年贵州省黔西南州初中毕业与升学考试物理试题(原卷版).doc
免费
3下载
2019-2020学年九年级上学期湖南长沙怡雅中学12月月考物理试题 (1).docx
2019-2020学年九年级上学期湖南长沙怡雅中学12月月考物理试题 (1).docx
免费
0下载
初中九年级物理贵州省毕节市2018年中考理综(物理部分)真题试题(含答案).doc
初中九年级物理贵州省毕节市2018年中考理综(物理部分)真题试题(含答案).doc
免费
14下载
2021武威物理试卷+答案+解析(word整理版)历年中考真题 电子版免费下载.docx
2021武威物理试卷+答案+解析(word整理版)历年中考真题 电子版免费下载.docx
免费
5下载
初中九年级物理精品解析:2022年湖南省邵阳市中考物理试题(解析版).docx
初中九年级物理精品解析:2022年湖南省邵阳市中考物理试题(解析版).docx
免费
2下载
初中九年级物理精品解析:2020年黑龙江省牡丹江、鸡西地区朝鲜族学校中考物理试题(解析版).doc
初中九年级物理精品解析:2020年黑龙江省牡丹江、鸡西地区朝鲜族学校中考物理试题(解析版).doc
免费
18下载
初中九年级物理17.1 电流与电压和电阻的关系(解析版) .docx
初中九年级物理17.1 电流与电压和电阻的关系(解析版) .docx
免费
0下载
初中九年级物理2011年天津市中考物理试题及答案.doc
初中九年级物理2011年天津市中考物理试题及答案.doc
免费
21下载
2015福州物理试卷+答案+解析(word整理版)历年中考真题 电子版免费下载.docx
2015福州物理试卷+答案+解析(word整理版)历年中考真题 电子版免费下载.docx
免费
10下载
初中九年级物理能源(基础练)(解析版).docx
初中九年级物理能源(基础练)(解析版).docx
免费
0下载
第13章 内能(A卷·夯实基础)(解析版)- 2022-2023学年九年级物理全一册名校单元双测AB卷(人教版).docx
第13章 内能(A卷·夯实基础)(解析版)- 2022-2023学年九年级物理全一册名校单元双测AB卷(人教版).docx
免费
0下载
我的小文库
实名认证
内容提供者

提供高质量免费文档试卷下载,如果满意请告诉您身边的人,如果不满意请告诉我们,您的意见对于我们很重要,是我们不断进步的动力

相关文档

阅读排行

确认删除?
回到顶部
客服号
  • 客服QQ点击这里给我发消息
QQ群
  • QQ群点击这里加入QQ群
提交所需资料详情,我们来帮找资料