高考化学复习 信息必刷卷02(云南专用)(参考答案).docx本文件免费下载 【共2页】

高考化学复习  信息必刷卷02(云南专用)(参考答案).docx
高考化学复习  信息必刷卷02(云南专用)(参考答案).docx
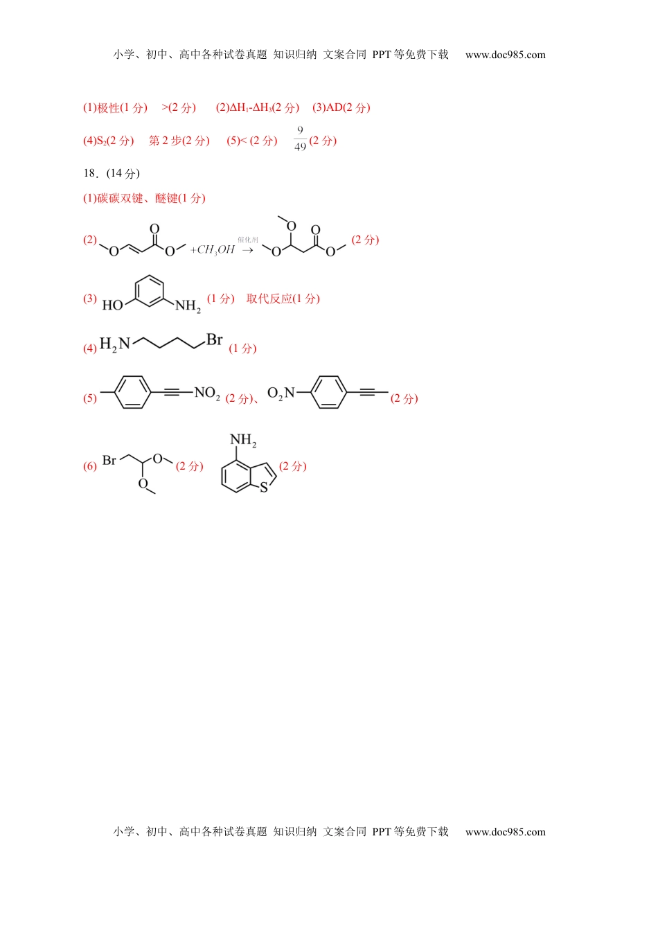
小学、初中、高中各种试卷真题知识归纳文案合同PPT等免费下载www.doc985.com小学、初中、高中各种试卷真题知识归纳文案合同PPT等免费下载www.doc985.com2025年高考考前信息必刷卷02(云南专用)化学·参考答案第一部分一、选择题(本部分共14题,每题3分,共42分。在每题列出的四个选项中,选出最符合题目要求的一项。)1234567891011121314CCDDCBCBDCADCA二、非选择题(本部分共5题,共58分。)15.(14分)(1)ⅦB(或Ⅶ副)(1分)SiO2(1分)Fe(OH)3(1分)CaF2(1分)(2)MnO4-+5Fe2++8H+=Mn2++5Fe3++4H2O(2分)(3)3×10-6(2分)(4)2(2分)(5)O2(2分)(6)(2分)八面体间隙(2分)16.(15分)(1)三颈烧瓶(1分)(2)D(2分)(3)Bi3++NO3-+H2OBiONO3+2H+(2分)将Bi(NO3)3或Bi(NO3)3·5H2O晶体溶于较浓的硝酸中,再加水稀释到所需浓度(2分)该离子方程式的平衡常数,由于水解较彻底,水解达平衡时,溶液中,所以,加入HNO3时,,,平衡逆移,HNO3可抑制Bi(NO3)3的水解(2分)(4)cabd(1分)abd(1分)(5)溶液由黄色变为无色,且半分钟内不变色(2分)89.0%(2分)17.(15分小学、初中、高中各种试卷真题知识归纳文案合同PPT等免费下载www.doc985.com小学、初中、高中各种试卷真题知识归纳文案合同PPT等免费下载www.doc985.com(1)极性(1分)>(2分)(2)ΔH1-ΔH3(2分)(3)AD(2分)(4)S2(2分)第2步(2分)(5)<(2分)(2分)18.(14分)(1)碳碳双键、醚键(1分)(2)(2分)(3)(1分)取代反应(1分)(4)(1分)(5)(2分)、(2分)(6)(2分)(2分)

1、当您付费下载文档后,您只拥有了使用权限,并不意味着购买了版权,文档只能用于自身使用,不得用于其他商业用途(如 [转卖]进行直接盈利或[编辑后售卖]进行间接盈利)。
2、本站所有内容均由合作方或网友上传,本站不对文档的完整性、权威性及其观点立场正确性做任何保证或承诺!文档内容仅供研究参考,付费前请自行鉴别。
3、如文档内容存在违规,或者侵犯商业秘密、侵犯著作权等,请点击“违规举报”。

碎片内容

与本文档类似文档
高中2022·微专题·小练习·化学【统考版】专练2.docx
高中2022·微专题·小练习·化学【统考版】专练2.docx
免费
0下载
2025年新高考化学资料  专题10   化学工艺流程(题型突破)(练习)(原卷版).docx
2025年新高考化学资料 专题10 化学工艺流程(题型突破)(练习)(原卷版).docx
免费
0下载
2010年高考化学试卷(四川)(空白卷).doc
2010年高考化学试卷(四川)(空白卷).doc
免费
0下载
精品解析:江苏省南通市2024届高三上学期第一次调研测试(一模)化学试题(原卷版).docx
精品解析:江苏省南通市2024届高三上学期第一次调研测试(一模)化学试题(原卷版).docx
免费
0下载
精品解析:上海市普陀区2022-2023学年高三二模测试化学试题(原卷版).docx
精品解析:上海市普陀区2022-2023学年高三二模测试化学试题(原卷版).docx
免费
0下载
2023《微专题·小练习》·化学·L-6专练46.docx
2023《微专题·小练习》·化学·L-6专练46.docx
免费
18下载
2019年高考化学试卷(海南)(空白卷) (2).docx
2019年高考化学试卷(海南)(空白卷) (2).docx
免费
0下载
高中化学·选择性必修二(苏教版)课时作业(word)  课时作业13.docx
高中化学·选择性必修二(苏教版)课时作业(word) 课时作业13.docx
免费
19下载
高考化学复习  大单元二 第六章 热点强化11 绿色化学与环境保护.docx
高考化学复习 大单元二 第六章 热点强化11 绿色化学与环境保护.docx
免费
0下载
2025年新高考化学资料  专题06  化学反应与能量(讲义)(原卷版).docx
2025年新高考化学资料 专题06 化学反应与能量(讲义)(原卷版).docx
免费
0下载
上海市宝山区2020年高三第一学期期末(一模)化学答案(word版).docx
上海市宝山区2020年高三第一学期期末(一模)化学答案(word版).docx
免费
0下载
2003年广东高考理综真题及答案 (1).doc
2003年广东高考理综真题及答案 (1).doc
免费
0下载
2017年上海市高中毕业统一学业考试化学试卷(原卷版).doc
2017年上海市高中毕业统一学业考试化学试卷(原卷版).doc
免费
27下载
高考化学复习  大单元二 第五章 第25讲 碳、硅 无机非金属材料.docx
高考化学复习 大单元二 第五章 第25讲 碳、硅 无机非金属材料.docx
免费
0下载
高中2024版考评特训卷·化学【新教材】单元检测 9.docx
高中2024版考评特训卷·化学【新教材】单元检测 9.docx
免费
0下载
上海市崇明区2018年高三第一学期期末(一模)学科质量检测化学试题及答案(word解析版).doc
上海市崇明区2018年高三第一学期期末(一模)学科质量检测化学试题及答案(word解析版).doc
免费
0下载
2022年高考化学真题(山东自主命题)(原卷版).docx
2022年高考化学真题(山东自主命题)(原卷版).docx
免费
30下载
2024年高考化学一轮复习讲义(新人教版)第6章 第30讲 原子结构 核外电子排布规律.docx
2024年高考化学一轮复习讲义(新人教版)第6章 第30讲 原子结构 核外电子排布规律.docx
免费
27下载
2012年高考化学试卷(新课标)(空白卷).docx
2012年高考化学试卷(新课标)(空白卷).docx
免费
0下载
2015年高考化学试卷(福建)(解析卷).doc
2015年高考化学试卷(福建)(解析卷).doc
免费
0下载
我的小文库
实名认证
内容提供者

提供高质量免费文档试卷下载,如果满意请告诉您身边的人,如果不满意请告诉我们,您的意见对于我们很重要,是我们不断进步的动力

阅读排行

确认删除?
回到顶部
客服号
  • 客服QQ点击这里给我发消息
QQ群
  • QQ群点击这里加入QQ群
提交所需资料详情,我们来帮找资料