高考化学复习 信息必刷卷02(浙江专用)(参考答案).docx本文件免费下载 【共3页】

高考化学复习  信息必刷卷02(浙江专用)(参考答案).docx
高考化学复习  信息必刷卷02(浙江专用)(参考答案).docx
高考化学复习  信息必刷卷02(浙江专用)(参考答案).docx
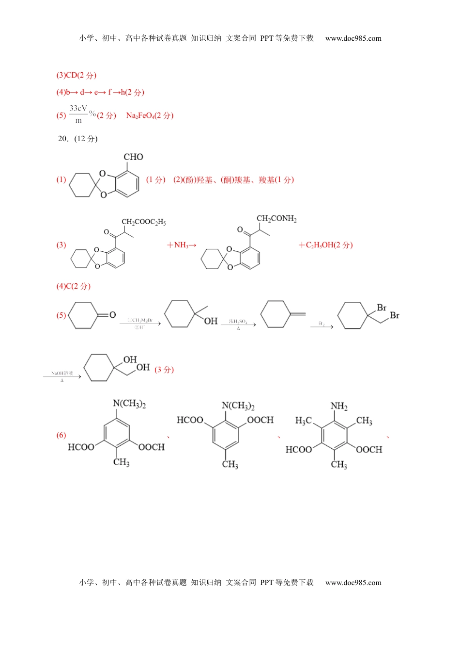
小学、初中、高中各种试卷真题知识归纳文案合同PPT等免费下载www.doc985.com小学、初中、高中各种试卷真题知识归纳文案合同PPT等免费下载www.doc985.com2025年高考考前信息必刷卷02(浙江专用)化学·参考答案一、选择题(本大题共16小题,每小题3分,共48分。每小题列出的四个备选项中只有一项是符合题目要求的,不选、多选、错选均不得分)12345678910111213141516CBCDABDACBCBCCAC二、非选择题(本部分共4题,共52分)17.(16分)(1)3d6(1分)9(1分)(2)BD(2分)(3)S2O82-中的O-O键与SO3-基团相连,S的电负性大于H2O2中的H,S=O有吸电子效应,所以S对O-O中电子对吸引力大于H,O更缺电子,氧化性更强。或S2O82-中的O-O键与SO3-基团相连,SO3-基团体积远大于H,O-O两端的SO3-基团排斥力大,O-O更易断裂,氧化性更强(2分)(4)4(2分)(5)①Mn2+、Cu2+、Fe3+、H+(2分)促进Fe3+水解生成Fe(OH)3或调节溶液的pH(2分)②ABD(2分)(6)3MnSO4Mn3O4+SO2↑+SO3↑(2分)18.(12分)(1)高温(2分)(2)AC(2分)(3)反应I、Ⅱ正反应方向均为吸热反应,升高温度均向正反应方向移动,H2产率上升,但在升温大于300℃后,温度对反应Ⅱ的影响大于对反应I的影响,所以H2产率逐渐减小(2分)(2分)(4)CH4O*+H2O(g)→CO2(g)+3H2(g)+(*)(2分)(5)C2H5OH+3H2O-12e-=12H++2CO2(2分)19.(12分)(1)三颈烧瓶(1分)NaCl(1分)(2)有利于增大Cl2的溶解度并防止高温下生成NaClO3(或防止NaClO分解)(2分)小学、初中、高中各种试卷真题知识归纳文案合同PPT等免费下载www.doc985.com小学、初中、高中各种试卷真题知识归纳文案合同PPT等免费下载www.doc985.com(3)CD(2分)(4)b→d→e→f→h(2分)(5)(2分)Na2FeO4(2分)20.(12分)(1)(1分)(2)(酚)羟基、(酮)羰基、羧基(1分)(3)+NH3→+C2H5OH(2分)(4)C(2分)(5)(3分)(6)、、、小学、初中、高中各种试卷真题知识归纳文案合同PPT等免费下载www.doc985.com小学、初中、高中各种试卷真题知识归纳文案合同PPT等免费下载www.doc985.com(3分)

1、当您付费下载文档后,您只拥有了使用权限,并不意味着购买了版权,文档只能用于自身使用,不得用于其他商业用途(如 [转卖]进行直接盈利或[编辑后售卖]进行间接盈利)。
2、本站所有内容均由合作方或网友上传,本站不对文档的完整性、权威性及其观点立场正确性做任何保证或承诺!文档内容仅供研究参考,付费前请自行鉴别。
3、如文档内容存在违规,或者侵犯商业秘密、侵犯著作权等,请点击“违规举报”。

碎片内容

与本文档类似文档
2018年高考化学试卷(新课标Ⅲ)(空白卷).docx
2018年高考化学试卷(新课标Ⅲ)(空白卷).docx
免费
0下载
2023《大考卷》二轮专项分层特训卷•化学【新教材】不定项练 3.docx
2023《大考卷》二轮专项分层特训卷•化学【新教材】不定项练 3.docx
免费
6下载
2017年浙江省高考化学【4月】(含解析版).doc
2017年浙江省高考化学【4月】(含解析版).doc
免费
7下载
【高考化学】备战2024年易错类型17 物质的分离、提纯与鉴别(8大易错点)(原卷版).docx
【高考化学】备战2024年易错类型17 物质的分离、提纯与鉴别(8大易错点)(原卷版).docx
免费
0下载
高考化学复习  备战2025年高考二轮复习 化学(通用版)选择题标准练8 Word版含解析.docx
高考化学复习 备战2025年高考二轮复习 化学(通用版)选择题标准练8 Word版含解析.docx
免费
0下载
精品解析:2024届江苏省南通市如皋市高三上学期期初考试押题卷化学试题(原卷版).docx
精品解析:2024届江苏省南通市如皋市高三上学期期初考试押题卷化学试题(原卷版).docx
免费
0下载
2019年高考化学试卷(新课标Ⅲ)(空白卷) (3).docx
2019年高考化学试卷(新课标Ⅲ)(空白卷) (3).docx
免费
0下载
高考化学复习  知识清单19 电解池 金属的腐蚀与防护-【上好课】2025年高考化学一轮复习知识清单(新高考专用)(解析版).docx
高考化学复习 知识清单19 电解池 金属的腐蚀与防护-【上好课】2025年高考化学一轮复习知识清单(新高考专用)(解析版).docx
免费
0下载
专题05 常见无机物的性质、用途与转化-五年(2019-2023)高考化学真题分项汇编(全国通用)(原卷版).docx
专题05 常见无机物的性质、用途与转化-五年(2019-2023)高考化学真题分项汇编(全国通用)(原卷版).docx
免费
0下载
2024年高考化学一轮复习讲义(新人教版)第5章 第26练 氨和铵盐.docx
2024年高考化学一轮复习讲义(新人教版)第5章 第26练 氨和铵盐.docx
免费
1下载
高考化学复习  第五章 第24练 氮及其化合物的转化关系.docx
高考化学复习 第五章 第24练 氮及其化合物的转化关系.docx
免费
0下载
高考化学复习  题型13 化学反应速率与平衡(解析版).docx
高考化学复习 题型13 化学反应速率与平衡(解析版).docx
免费
0下载
高考化学复习  2025年高考复习化学课时检测五十五:强弱电解质的比较、电离平衡常数的应用及计算(含解析).doc
高考化学复习 2025年高考复习化学课时检测五十五:强弱电解质的比较、电离平衡常数的应用及计算(含解析).doc
免费
0下载
高考化学复习  第04讲 金属材料及金属矿物的开发利用(练习)(原卷版).docx
高考化学复习 第04讲 金属材料及金属矿物的开发利用(练习)(原卷版).docx
免费
0下载
高中化学·必修第一册(苏教版)课时作业(word)  课时作业17.docx
高中化学·必修第一册(苏教版)课时作业(word) 课时作业17.docx
免费
15下载
2018年高考化学试卷(新课标Ⅲ)(空白卷) (2).docx
2018年高考化学试卷(新课标Ⅲ)(空白卷) (2).docx
免费
0下载
2022年高考化学试卷(辽宁)(解析卷) (1).docx
2022年高考化学试卷(辽宁)(解析卷) (1).docx
免费
0下载
高考化学复习  第二章 化学计量及其应用(测试)(解析版).docx
高考化学复习 第二章 化学计量及其应用(测试)(解析版).docx
免费
0下载
高考化学复习  考点25 化学反应速率及其影响因素(核心考点精讲精练)-备战2025年高考化学一轮复习考点帮(新高考通用)(原卷版).docx
高考化学复习 考点25 化学反应速率及其影响因素(核心考点精讲精练)-备战2025年高考化学一轮复习考点帮(新高考通用)(原卷版).docx
免费
0下载
2016年北京市高考化学试卷(含解析版).pdf
2016年北京市高考化学试卷(含解析版).pdf
免费
9下载
我的小文库
实名认证
内容提供者

提供高质量免费文档试卷下载,如果满意请告诉您身边的人,如果不满意请告诉我们,您的意见对于我们很重要,是我们不断进步的动力

阅读排行

确认删除?
回到顶部
客服号
  • 客服QQ点击这里给我发消息
QQ群
  • QQ群点击这里加入QQ群
提交所需资料详情,我们来帮找资料